Skip to main content

Multiple Equilibria in a Non-smooth Epidemic Model with Medical-Resource Constraints

Abstract

The issue of medical-resource constraints has the potential to dramatically affect disease management, especially in developing countries. We analyze a non-smooth epidemic model with nonlinear incidence rate and resource constraints, which defines a vaccination program with vaccination rate proportional to the number of susceptible individuals when this number is below the threshold level and constant otherwise. To better understand the impact of this non-smooth vaccination policy, we provide a comprehensive qualitative analysis of global dynamics for the whole parameter space. As the threshold value varies, the target model admits multistability of three regular equilibria, bistability of two regular equilibria, that of one disease-free equilibrium and one generalized endemic equilibria, and that of one disease-free equilibrium and one crossing cycle. The steady-state regimes include healthy, low epidemic and high epidemic. This suggests the key role of the threshold value, as well as the initial infection condition in disease control. Our findings demonstrate that the case number can be contained at a satisfactorily controllable level or range if eradicating it proves to be impossible.

This is a preview of subscription content, access via your institution.

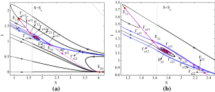
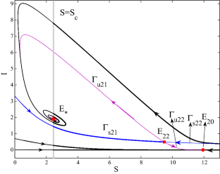
Fig. 1
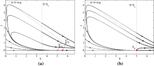
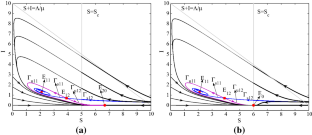
Fig. 2
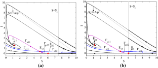
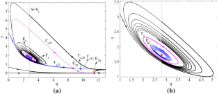
Fig. 3
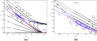
Fig. 4
Fig. 5
Fig. 6
Fig. 7
Fig. 8

References

  • Abdelrazec A, Bélair J, Shan C et al (2016) Modeling the spread and control of dengue with limited public health resources. Math Biosci 271:136–145

    MathSciNet  Article  MATH  Google Scholar 

  • Böttcher L, Woolley-Meza O, Araújo NAM et al (2015) Disease-induced resource constraints can trigger explosive epidemics. Sci Rep 5:16571

    Article  Google Scholar 

  • Brauer F, Chavez CC (2001) Mathematical models in population biology and epidemiology. Springer, New York

    Book  MATH  Google Scholar 

  • Brockmann D, Helbing D (2013) The hidden geometry of complex, network-driven contagion phenomena. Science 342(6164):1337–42

    Article  Google Scholar 

  • Capasso V, Serio G (1978) A generalization of the Kermack–Mckendric deterministic epidemic model. Math Biosci 42:43–61

    MathSciNet  Article  MATH  Google Scholar 

  • Clarke F, Ledyaev Y, Stern R, Wolenski P (1998) Nonsmooth analysis and control theory. Springer, New York

    MATH  Google Scholar 

  • Claudio AB, Paulo PdS, Marco AT (2006) A singular approach to discontinuous vector fields on the plane. J Differ Equ 231:633–655

    MathSciNet  Article  MATH  Google Scholar 

  • Coll B, Gasull A, Prohens R (2001) Degenerate Hopf bifurcations in discontinuous planar system. J Math Anal Appl 253:671–690

    MathSciNet  Article  MATH  Google Scholar 

  • Coll B, Gasull A, Prohens R (2001) Degenerate Hopf bifurcations in discontinuous planar system. J Math Anal Appl 253:671–690

    MathSciNet  Article  MATH  Google Scholar 

  • Han M, Zhang W (2010) On Hopf bifurcation in non-smooth planar systems. J Differ Equ 248:2399–2416

    MathSciNet  Article  MATH  Google Scholar 

  • Hansen E, Day T (2011) Optimal control of epidemics with limited resources. J Math Biol 62(3):423–51

    MathSciNet  Article  MATH  Google Scholar 

  • Heesterbeek H, Anderson RM, Andreasen V et al (2015) Modeling infectious disease dynamics in the complex landscape of global health. Science 347(6227):aaa4339

    Article  Google Scholar 

  • Hethcote HW (2000) The mathematics of infectious diseases. SIAM Rev 42:599–653

    MathSciNet  Article  MATH  Google Scholar 

  • Leine RI (2006) Bifurcations of equilibria in non-smooth continuous systems. Phys D 223:121–137

    MathSciNet  Article  MATH  Google Scholar 

  • Li G, Zhang Y (2017) Dynamic behaviors of a modified SIR model in epidemic diseases using nonlinear incidence and recovery rates. PloS ONE 12(4):e0175789

    Article  Google Scholar 

  • Li D, Cui J, Liu M, Liu S (2015) The evolutionary dynamics of stochastic epidemic model with nonlinear incidence rate. Bull Math Biol 77(9):1705–43

    MathSciNet  Article  MATH  Google Scholar 

  • Liu W, Levin SA, Iwasa Y (1986) Influence of nonlinear incidence rates upon the behavior of SIRS epidemiological models. J Math Biol 23(2):187–204

    MathSciNet  Article  MATH  Google Scholar 

  • Liu W, Hethcote HT, Levin SA (1987) Dynamical behavior of epidemiological models with nonlinear incidence rates. J Math Biol 25(4):359–380

    MathSciNet  Article  MATH  Google Scholar 

  • Qin W, Tang S, Xiang C, Yang Y (2016) Effects of limited medical resource on a Filippov infectious disease model induced by selection pressure. Appl Math Comput 283:339–54

    MathSciNet  Google Scholar 

  • Rodrigues HS, Monteiro MT, Torres DF (2014) Vaccination models and optimal control strategies to dengue. Math Biosci 247:1–2

    MathSciNet  Article  MATH  Google Scholar 

  • Samsuzzoha M, Singh M, Lucy D (2013) Uncertainty and sensitivity analysis of the basic reproduction number of a vaccinated epidemic model of influenza. Appl Math Model 37(3):903–15

    MathSciNet  Article  MATH  Google Scholar 

  • Shan C, Zhu H (2014) Bifurcations and complex dynamics of an SIR model with the impact of the number of hospital beds. J Differ Equ 257(5):1662–1688

    MathSciNet  Article  MATH  Google Scholar 

  • Shan C, Yi Y, Zhu H (2016) Nilpotent singularities and dynamics in an SIR type of compartmental model with hospital resources. J Differ Equ 260(5):4339–4365

    MathSciNet  Article  MATH  Google Scholar 

  • Tripathi JP, Abbas S (2016) Global dynamics of autonomous and nonautonomous SI epidemic models with nonlinear incidence rate and feedback controls. Nonlinear Dyn 86(1):337–51

    MathSciNet  Article  MATH  Google Scholar 

  • Wang W (2006) Backward bifurcation of an epidemic model with treatment. Math Biosci 201(1):58–71

    MathSciNet  Article  MATH  Google Scholar 

  • Wang W, Ruan S (2004) Bifurcation in an epidemic model with constant removal rate of the infectives. J Math Anal Appl 291:775–793

    MathSciNet  Article  MATH  Google Scholar 

  • Wang A, Xiao Y (2014) A Filippov system describing media effects on the spread of infectious diseases. Nonlinear Anal Hybrid Syst 11(1):84–97

    MathSciNet  Article  MATH  Google Scholar 

  • Wang A, Xiao Y, Cheke RA (2014) Global dynamics of a piece-wise epidemic model with switching vaccination strategy. Discrete Contin Dyn Syst Ser B 19(9):2915–40

    MathSciNet  Article  MATH  Google Scholar 

  • Wang A, Xiao Y, Zhu H (2018) Dynamics of a Filippov epidemic model with limited hospital beds. Math Biosci Eng 15(3):739–764

    MathSciNet  Article  Google Scholar 

  • Xiao D, Ruan S (2007) Global analysis of an epidemic model with nonmonotone incidence rate. Math Biosci 208(2):419–29

    MathSciNet  Article  MATH  Google Scholar 

  • Xiao Y, Tang S (2010) Dynamics of infection with nonlinear incidence in a simple vaccination model. Nonlinear Anal Real World Appl 11(5):4154–4163

    MathSciNet  Article  MATH  Google Scholar 

  • Zhang X, Liu X (2008) Backward bifurcation of an epidemic model with saturated treatment function. J Math Anal Appl 348(1):433–43

    MathSciNet  Article  MATH  Google Scholar 

  • Zhang T, Wang W (2012) Hopf bifurcation and bistability of a nutrient-phytoplankton-zooplankton model. Appl Math Model 36:6225–6235

    MathSciNet  Article  MATH  Google Scholar 

  • Zhou L, Fan M (2012) Dynamics of an SIR epidemic model with limited medical resources revisited. Nonlinear Anal Real World Appl 13(1):312–24

    MathSciNet  Article  MATH  Google Scholar 

Download references

Acknowledgements

The authors are grateful to an anonymous reviewer, whose comments greatly improved the manuscript. AW was supported by the National Natural Science Foundation of China (NSFC, 11801013), Scientific research plan projects of Shaanxi Education Department (16JK1047) and the funding from Baoji University of Arts and Sciences (ZK1048). YX was supported by the National Natural Science Foundation of China (NSFC, 11571273 and 11631012) and Fundamental Research Funds for the Central Universities (GK 08143042). RS? was supported by an NSERC Discovery Grant. For citation purposes, note that the question mark in “Smith?” is part of his name.

Author information

Affiliations

Authors

Corresponding author

Correspondence to Robert Smith.

Rights and permissions

Reprints and Permissions

About this article

Verify currency and authenticity via CrossMark

Cite this article

Wang, A., Xiao, Y. & Smith, R. Multiple Equilibria in a Non-smooth Epidemic Model with Medical-Resource Constraints. Bull Math Biol 81, 963–994 (2019). https://doi.org/10.1007/s11538-018-00544-2

Download citation

  • Received:

  • Accepted:

  • Published:

  • Issue Date:

  • DOI: https://doi.org/10.1007/s11538-018-00544-2

Keywords

  • Non-smooth epidemic model
  • Resources constraints
  • Nonlinear incidence
  • Generalized equilibrium
  • Crossing cycle
  • Multistability