Skip to main content

Exploring Lifetime Accumulation of Criminal Justice Involvement and Associated Health and Social Outcomes in a Community-Based Sample of Women who Use Drugs

Abstract

Among people who use illegal drugs, engagement with the criminal justice (CJ) system often involves an ongoing, intermittent series of arrests, incarcerations, and periods of community supervision. The potential associations between the lifetime accumulation of CJ involvement and social and health outcomes is largely unexplored. In a cross-sectional sample of women who use crack, heroin, and/ or methamphetamine recruited from communities in Oakland, CA (N = 624), we developed an approach to characterize CJ accumulation. We used latent class analysis (LCA), a multivariate person-centered method that assumes an unobserved categorical variable that divides a population into a small number of mutually exclusive and exhaustive classes. Using observed measures of incarceration and community supervision as indicator variables, we developed a model of CJ accumulation that elucidates patterns of involvement as lived by the women in the sample. Based on model fit statistics, we selected a three-class model and labeled the classes “low,” “medium,” and “high.” We then explored associations between the classes of CJ accumulation and health and health-related outcomes using logistic regression. The odds of homelessness (p for trend = 0.004), transience (p for trend = 0.017), and recent victimization (p for trend = 0.023) were higher among women in higher accumulation classes. Higher class of CJ accumulation was associated with higher odds of reporting unmet need for physical health care (p for trend < 0.001) and mental health care (p for trend = 0.002). The odds of physical health conditions, such as hepatitis C infection (p for trend < 0.001) and mental health conditions, such as depression (p for trend = 0.003), also increased with higher class of accumulation. While the findings described here are limited by the cross-sectional nature of the study, they suggest that CJ accumulation is a potentially meaningful concept for assessing associations between the CJ system and health-related issues.

This is a preview of subscription content, access via your institution.

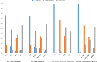
Fig. 1

References

  1. Kaeble D, Glaze L, Tsoutis A, Minton T. Correctional populations in the United States, 2014. Washington DC: U.S. Department of Justice; 2016.

    Google Scholar 

  2. The Sentencing Project. Trends in U.S. Corrections.Washington DC: The Sentencing Project 2015.

  3. Pfaft J. Locked in: the true causes of mass incarceration and how to achieve real reform. New York: Basic Books; 2017.

    Google Scholar 

  4. Moore LD, Elkavich A. Who’s using and who’s doing time: incarceration, the war on drugs, and public health. Am J Public Health. 2008;98(9 Suppl):S176–80.

  5. Tonry M. Malign neglect: race, crime, and punishment in America. New York, NY: Oxford University Press; 1996.

    Google Scholar 

  6. Snyder H. Arrest in the United States, 1990–2010. Washington DC: Department of Justice; 2012.

    Google Scholar 

  7. Jones C, Campopiano M, Baldwin G, McCance-Katz E. National and state treatment need and capacity for opioid agonist medication-assisted treatment. Am J Public Health. 2015;105(8):e55–63.

  8. The Sentencing Project. Factsheet: incarcerated women. The Sentencing Project; December 2012 2012.

  9. Kaeble D, Maruschak L, Bonczar T. Probation and parole in the United States, 2014. Department of Justice: Washington DC U.S; 2015.

    Google Scholar 

  10. Maruschak L. HIV in prisons, 2001–2010. Washington DC: Department of Justice; 2015.

    Google Scholar 

  11. Zampino R, Coppola N, Sagnelli C, Di Caprio G, Sagnelli E. Hepatitis C virus infection and prisoners: epidemiology, outcome and treatment. World J Hepatol. 2015;7(21):2323–30.

  12. Fox RK, Currie SL, Evans J, et al. Hepatitis C virus infection among prisoners in the California state correctional system. Clinical infectious diseases : an official publication of the Infectious Diseases Society of America. 2005;41(2):177–86.

  13. Nijhawan AE, Chapin KC, Salloway R, et al. Prevalence and predictors of trichomonas infection in newly incarcerated women. Sex Transm Dis. 2012;39(12):973–8.

  14. Binswanger IA, Merrill JO, Krueger PM, White MC, Booth RE, Elmore JG. Gender differences in chronic medical, psychiatric, and substance-dependence disorders among jail inmates. Am J Public Health. 2010;100(3):476–82.

  15. Fazel S, Baillargeon J. The health of prisoners. Lancet. 2011;377(9769):956–65.

  16. El-Bassel N, Marotta PL, Shaw SA, et al. Women in community corrections in New York City: HIV infection and risks. Int J STD AIDS. 2016;

  17. Lorvick J, Comfort M, Kreb C, Kral A. Heath service use and social vulnerability in a community-based sample of women on probation and parole, 2011–2013. Health and Justice. 2015;3(13).

  18. Lynch M. Theorizing the role of the ‘war on drugs’ in U.S. punishment. Theor Criminol. 2012;16(2):175–99.

  19. Durose M, Cooper A, Snyder H. Recidivism of prisoners released in 30 states in 2005: patterns from 2005 to 2010. Washington DC: Department of Justice; 2014.

    Google Scholar 

  20. Phelps M. The paradox of probation: community supervision in the age of mass incarceration. Law Policy. 2013;351((1–2)):51–80.

  21. Taxman FS, Byrne JM, Pattavina A. Racial disparity and the legitimacy of the criminal justice system: exploring consequences for deterrence. Journal of health care for the poor and underserved. 2005;16(4 Suppl B):57–77.

  22. Geronimus AT. Understanding and eliminating racial inequalities in women’s health in the United States: the role of the weathering conceptual framework. J Am Med Womens Assoc. 2001;56(4):133–6. 149-150

  23. Geronimus AT, Hicken M, Keene D, Bound J. “Weathering” and age patterns of allostatic load scores among blacks and whites in the United States. Am J Public Health. 2006;96(5):826–33.

  24. Surtees PG, Wainwright NW. The shackles of misfortune: social adversity assessment and representation in a chronic-disease epidemiological setting. Soc Sci Med. 2007;64(1):95–111.

  25. Geronimus AT, Hicken MT, Pearson JA, Seashols SJ, Brown KL, Cruz TD. Do US Black women experience stress-related accelerated biological aging?: a novel theory and first population-based test of black-white differences in telomere length. Hum Nat. 2010;21(1):19–38.

  26. Geronimus AT, Pearson JA, Linnenbringer E, et al. Race-ethnicity, poverty, urban stressors, and telomere length in a Detroit community-based sample. J Health Soc Behav. 2015;56(2):199–224.

  27. German D, Latkin CA. Social stability and health: exploring multidimensional social disadvantage. Journal of urban health : bulletin of the New York Academy of Medicine. 2012;89(1):19–35.

  28. Massoglia M. Incarceration as exposure: the prison, infectious disease, and other stress-related illnesses. J Health Soc Behav. 2008;49(1):56–71.

  29. Wang EA, Pletcher M, Lin F, et al. Incarceration, incident hypertension, and access to health care: findings from the coronary artery risk development in young adults (CARDIA) study. Arch Intern Med. 2009;169(7):687–93.

  30. Anderson RE, Geier TJ, Cahill SP. Epidemiological associations between posttraumatic stress disorder and incarceration in the National Survey of American Life. Criminal behaviour and mental health : CBMH. 2016;26(2):110–23.

  31. Howell BA, Long JB, Edelman EJ, et al. Incarceration history and uncontrolled blood pressure in a multi-site cohort. J Gen Intern Med. 2016;31(12):1496–502.

  32. Milloy MJ, Kerr T, Buxton J, et al. Dose-response effect of incarceration events on nonadherence to HIV antiretroviral therapy among injection drug users. J Infect Dis. 2011;203(9):1215–21.

  33. Lim S, Nash D, Hollod L, Harris TG, Lennon MC, Thorpe LE. Influence of jail incarceration and homelessness patterns on engagement in HIV care and HIV viral suppression among New York City adults living with HIV/AIDS. PLoS One. 2015;10(11):e0141912.

  34. Lim S, Harris TG, Nash D, Lennon MC, Thorpe LE. All-cause, drug-related, and HIV-related mortality risk by trajectories of jail incarceration and homelessness among adults in New York City. Am J Epidemiol. 2015;181(4):261–70.

  35. Patterson E. The dose–response of time served in prison on mortality: New York state, 1989–2003. Am J Public Health. 2013;103(3):523–8.

  36. Freudenberg N, Daniels J, Crum M, Perkins T, Richie BE. Coming home from jail: the social and health consequences of community reentry for women, male adolescents, and their families and communities. Am J Public Health. 2005;95(10):1725–36.

  37. Dumont DM, Allen SA, Brockmann BW, Alexander NE, Rich JD. Incarceration, community health, and racial disparities. J Health Care Poor Underserved. 2013;24(1):78–88.

  38. Alameda County Health Department. How place, racism and poverty matter for health in Alameda County. Oakland, CA: Alameda County Public Health Department; 2013.

    Google Scholar 

  39. Kral AH, Malekinejad M, Vaudrey J, et al. Comparing respondent-driven sampling and targeted sampling methods of recruiting injection drug users in San Francisco. Journal of urban health : bulletin of the New York Academy of Medicine. 2010;87(5):839–50.

  40. Watters J, Biernacki P. Targeted sampling: options for the study of hidden populations. Soc Probl. 1989;36:416–30.

  41. Lambdin B, Kral A, Comfort M, Lopez A, Lorvick J. Associations of criminal justice and substance use treatment involvement with HIV/HCV testing and the HIV treatment cascade among people who use drugs in Oakland. California Addiction Science and Clinical Practice. (in press)

  42. Logan TK, Cole J, Leukefeld C. Women, sex, and HIV: social and contextual factors, meta-analysis of published interventions, and implications for practice and research. Psychol Bull. 2002;128(6):851–85.

  43. Braithwaite RL, Treadwell HM, Arriola KR. Health disparities and incarcerated women: a population ignored. Am J Public Health. 2008;98(9 Suppl):S173–5.

  44. Lynch SM, Dehart DD, Belknap JE, et al. A multisite study of the prevalence of serious mental illness, PTSD, and substance use disorders of women in jail. Psychiatric services (Washington, D.C.). 2014;65(5):670–674.

  45. Lanza ST, Rhoades BL. Latent class analysis: an alternative perspective on subgroup analysis in prevention and treatment. Prev Sci. 2013;14(2):157–68.

  46. Collins LM, ST L. Latent class and latent transition analysis. Hoboken: John Wiley & sons; 2013.

  47. LCA Stata Plugin [computer program]. University Park2015.

  48. Nylund K, Asparouhov T, Muthen B. Deciding on the number of classes in latent class analysis and growth mixture modeling: a Monte Carlo simulation study. Struct Equ Model. 2007;14(4):535–69.

  49. Celeux G, Soromenho G. An entropy criterion for assessing the number of clusters in a mixture model. J Classif. 1996;13:195–212.

  50. German D, Latkin CA. Social stability and HIV risk behavior: evaluating the role of accumulated vulnerability. AIDS Behav. 2012;16(1):168–78.

  51. Pager D. The mark of a criminal record. Am J Sociol. 2003;108(5):937–75.

  52. Mele C. The civil threat of eviction and the regulation and control of U.S. public housing communities. In: Miller CMT, ed. Civil penalties, social consequences New York: Routledge; 2005:121–138.

  53. Nyamathi AM, Leake B, Gelberg L. Sheltered versus nonsheltered homeless women differences in health, behavior, victimization, and utilization of care. J Gen Intern Med. 2000;15(8):565–72.

  54. Teruya C, Longshore D, Andersen RM, et al. Health and health care disparities among homeless women. Women & health. 2010;50(8):719–36.

  55. Fuentes C. Nobody’s child: the role of trauma and interpersonal violence in women's pathways to incarceration and resultant service needs. Med Anthropol Q. 2014;38(1):138–51.

  56. Akiyama MJ, Kaba F, Rosner Z, et al. Correlates of hepatitis C virus infection in the targeted testing program of the New York City jail system. Public health reports (Washington, D.C. : 1974). 2017;132(1):41–47.

  57. Herbst JH, Branscomb-Burgess O, Gelaude DJ, Seth P, Parker S, Fogel CI. Risk profiles of women experiencing initial and repeat incarcerations: implications for prevention programs. AIDS education and prevention : official publication of the International Society for AIDS Education. 2016;28(4):299–311.

  58. Health Policy Alternatives Inc. Review of the evidence on the use of the emergency department by Medicaid patients and the evolving role of emergency medicine physicians. Emergency Medicine Action Fund;2015.

  59. Comfort M. Punishment beyond the legal offender. Annual Review of Law and Social Science. 2007;3:271–96.

  60. Mauer M, Chesney-Lind ME. Invisible punishment: the collateral consequences of mass imprisonment. New York: new press. New York: New Press; 2002.

    Google Scholar 

Download references

Acknowledgements

This research was funded by the National Institute on Minority Health and Health Disparities (grant #R01MD007679).

Author information

Affiliations

Authors

Corresponding author

Correspondence to Jennifer Lorvick.

Ethics declarations

All procedures were reviewed and approved by the institutional review board (IRB) at RTI International.

Rights and permissions

Reprints and Permissions

About this article

Verify currency and authenticity via CrossMark

Cite this article

Lorvick, J., Comfort, M., Kral, A.H. et al. Exploring Lifetime Accumulation of Criminal Justice Involvement and Associated Health and Social Outcomes in a Community-Based Sample of Women who Use Drugs. J Urban Health 95, 584–593 (2018). https://doi.org/10.1007/s11524-017-0204-8

Download citation

  • Published:

  • Issue Date:

  • DOI: https://doi.org/10.1007/s11524-017-0204-8

Keywords

  • Incarceration
  • Community supervision
  • Drug use
  • Latent class analysis
  • Women