Skip to main content

The effect of microvascular pattern alterations on network resistance in spontaneously hypertensive rats

Abstract

Structural microvascular rarefaction, defined by a loss of vessels, is a common characteristic of hypertension and has been associated with elevated microvascular resistance. However, determining the causal relationship between microvascular network structure and resistance requires a consideration of all pattern changes throughout a network. The objectives of this study were to determine whether microvascular rarefaction is associated with other network pattern alterations and to evaluate whether pattern alterations in hypertension necessarily contribute to increased microvascular resistance. Mesenteric tissues from age-matched (15–16 weeks) male spontaneously hypertensive rats (SHR) and normotensive Wistar-Kyoto (WKY) rats were harvested and immunolabeled for PECAM. SHR networks displayed a decreased microvascular area, arteriolar-venular (AV) length, number of AV branches, and number of capillary segments. In addition, SHR networks displayed increased AV connections per network compared to WKY networks. Based on network geometries, resistance per network was calculated using a computational model. For simulations with equal vessel diameter and with relative diameters based on reported intravital measurements, SHR microvascular network resistance was not elevated compared to the WKY level. Our results suggest that microvascular pattern alterations associated with hypertension are more complex than vessel loss, and that these combined alterations do not necessarily lead to elevated resistance.

This is a preview of subscription content, access via your institution.

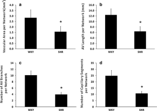
Fig. 1
Fig. 2
Fig. 3
Fig. 4
Fig. 5

References

  1. Antonios TF, Singer DR et al (1999) Rarefaction of skin capillaries in borderline essential hypertension suggests an early structural abnormality. Hypertension 34:655–658

    PubMed  CAS  Google Scholar 

  2. Antonios TF, Singer DR et al (1999) Structural skin capillary rarefaction in essential hypertension. Hypertension 33:998–1001

    PubMed  CAS  Google Scholar 

  3. Bhutto IA, Amemiya T (1997) Vascular changes in retinas of spontaneously hypertensive rats demonstrated by corrosion casts. Ophthalmic Res 29:12–23

    PubMed  Article  CAS  Google Scholar 

  4. Binder KW, Murfee WL et al (2007) Computational network model prediction of hemodynamic alterations due to arteriolar remodeling in interval sprint trained skeletal muscle. Microcirculation 14:181–192

    PubMed  Article  Google Scholar 

  5. Bobik A (2005) The structural basis of hypertension: vascular remodeling, rarefaction and angiogenesis/arteriogenesis. J Hypertens 23:1473–1475

    PubMed  Article  CAS  Google Scholar 

  6. Bohlen HG (1983) Intestinal microvascular adaptation during maturation of spontaneously hypertensive rats. Hypertension 5:739–745

    PubMed  CAS  Google Scholar 

  7. Bohlen HG, Gore RW et al (1977) Comparison of microvascular pressures in normal and spontaneously hypertensive rats. Microvasc Res 13:125–130

    PubMed  Article  CAS  Google Scholar 

  8. Borders JL, Granger HJ (1986) Power dissipation as a measure of peripheral resistance in vascular networks. Hypertension 8:184–191

    PubMed  CAS  Google Scholar 

  9. Boudier HA (1999) Arteriolar and capillary remodelling in hypertension. Drugs 58(Spec No 1):37–40

    Google Scholar 

  10. Chen II, Prewitt RL et al (1981) Microvascular rarefaction in spontaneously hypertensive rat cremaster muscle. Am J Physiol 241:H306–H310

    PubMed  CAS  Google Scholar 

  11. Christensen KL, Mulvany MJ (1994) Perindopril changes the mesenteric pressure profile of conscious hypertensive and normotensive rats. Hypertension 23:325–328

    PubMed  CAS  Google Scholar 

  12. DeLano FA, Schmid-Schonbein GW et al (1991) Penetration of the systemic blood pressure into the microvasculature of rat skeletal muscle. Microvasc Res 41:92–110

    PubMed  Article  CAS  Google Scholar 

  13. Devereux RB, Case DB et al (2000) Possible role of increased blood viscosity in the hemodynamics of systemic hypertension. Am J Cardiol 85:1265–1268

    PubMed  Article  CAS  Google Scholar 

  14. Engelson ET, Schmid-Schonbein GW et al (1986) The microvasculature in skeletal muscle. II. Arteriolar network anatomy in normotensive and spontaneously hypertensive rats. Microvasc Res 31:356–374

    PubMed  Article  CAS  Google Scholar 

  15. Fenger-Gron J, Mulvany MJ et al (1995) Mesenteric blood pressure profile of conscious, freely moving rats. J Physiol 488(Pt 3):753–760

    PubMed  CAS  Google Scholar 

  16. Folkow B (2004) Pathogenesis of structural vascular changes in hypertension. J Hypertens 22:1231–1233; author reply 1234

    Google Scholar 

  17. Fukuda S, Yasu T et al (2004) Contribution of fluid shear response in leukocytes to hemodynamic resistance in the spontaneously hypertensive rat. Circ Res 95:100–108

    PubMed  Article  CAS  Google Scholar 

  18. Greene AS, Tonellato PJ et al (1989) Microvascular rarefaction and tissue vascular resistance in hypertension. Am J Physiol 256:H126–H131

    PubMed  CAS  Google Scholar 

  19. Harper RN, Moore MA et al (1978) Arteriolar rarefaction in the conjunctiva of human essential hypertensives. Microvasc Res 16:369–372

    PubMed  Article  CAS  Google Scholar 

  20. Henrich H, Hertel R et al (1978) Structural differences in the mesentery microcirculation between normotensive and spontaneously hypertensive rats. Pflugers Arch 375:153–159

    PubMed  Article  CAS  Google Scholar 

  21. Henrich HA, Romen W et al (1988) Capillary rarefaction characteristic of the skeletal muscle of hypertensive patients. Klin Wochenschr 66:54–60

    PubMed  Article  CAS  Google Scholar 

  22. Hertel R, Henrich H, Assmann R (1978) Intravital measurement of arteriolar pressure and tangential wall stress in normotensive and spontaneously hypertensive rats. Experientia 34(7):865–867

    PubMed  Article  CAS  Google Scholar 

  23. Hutchins PM, Darnell AE et al (1974) Observation of a decreased number of small arterioles in spontaneously hypertensive rats. Circ Res 34:161–165

    Google Scholar 

  24. Inoue M (1996) Role of oxidative stress in health and disease]. Rinsho Byori 44:911–914

    PubMed  CAS  Google Scholar 

  25. Kobayashi N, DeLano FA et al (2005) Oxidative stress promotes endothelial cell apoptosis and loss of microvessels in the spontaneously hypertensive rats. Arterioscler Thromb Vasc Biol 25:2114–2121

    PubMed  Article  CAS  Google Scholar 

  26. Larouche I, Schiffrin EL (1999) Cardiac microvasculature in DOCA-salt hypertensive rats: effect of endothelin ET(A) receptor antagonism. Hypertension 34:795–801

    PubMed  CAS  Google Scholar 

  27. le Noble FA, Stassen FR et al (1998) Angiogenesis and hypertension. J Hypertens 16:1563–1572

    PubMed  Article  Google Scholar 

  28. Letcher RL, Chien S et al (1981) Direct relationship between blood pressure and blood viscosity in normal and hypertensive subjects. Role of fibrinogen and concentration. Am J Med 70:1195–1202

    PubMed  Article  CAS  Google Scholar 

  29. Levy BI, Ambrosio G et al (2001) Microcirculation in hypertension: a new target for treatment? Circulation 104:735–740

    PubMed  Article  CAS  Google Scholar 

  30. Lombard JH, Hess ME et al (1984) Neural and local control of arterioles in SHR. Hypertension 6:530–535

    PubMed  CAS  Google Scholar 

  31. Lominadze D, Joshua IG et al (1998) Increased erythrocyte aggregation in spontaneously hypertensive rats. Am J Hypertens 11:784–789

    PubMed  Article  CAS  Google Scholar 

  32. Melo RM, Martinho E Jr et al (2003) Training-induced, pressure-lowering effect in SHR: wide effects on circulatory profile of exercised and nonexercised muscles. Hypertension 42:851–857

    PubMed  Article  CAS  Google Scholar 

  33. Murfee WL, Rehorn MR et al (2006) Perivascular cells along venules upregulate NG2 expression during microvascular remodeling. Microcirculation 13:261–273

    PubMed  Article  CAS  Google Scholar 

  34. Murfee WL, Schmid-Schonbein GW (2008) Chapter 12. Structure of microvascular networks in genetic hypertension. Methods Enzymol 444:271–284

    PubMed  Article  CAS  Google Scholar 

  35. Noon JP, Walker BR et al (1997) Impaired microvascular dilatation and capillary rarefaction in young adults with a predisposition to high blood pressure. J Clin Invest 99:1873–1879

    PubMed  Article  CAS  Google Scholar 

  36. Okamoto KAK (2009) Development of a strain of spontaneously hypertensive rats. Jpn Circ J 27:282–293

    Article  Google Scholar 

  37. Paiardi S, Rodella LF et al (2009) Immunohistochemical evaluation of microvascular rarefaction in hypertensive humans and in spontaneously hypertensive rats. Clin Hemorheol Microcirc 42:259–268

    PubMed  CAS  Google Scholar 

  38. Prewitt RL, Chen II et al (1982) Development of microvascular rarefaction in the spontaneously hypertensive rat. Am J Physiol 243:H243–H251

    PubMed  CAS  Google Scholar 

  39. Price RJ, Skalak TC (1995) A circumferential stress-growth rule predicts arcade arteriole formation in a network model. Microcirculation 2:41–51

    PubMed  Article  CAS  Google Scholar 

  40. Pries AR, Reglin B et al (2005) Remodeling of blood vessels: responses of diameter and wall thickness to hemodynamic and metabolic stimuli. Hypertension 46:725–731

    PubMed  Article  CAS  Google Scholar 

  41. Pries AR, Secomb TW et al (1998) Structural adaptation and stability of microvascular networks: theory and simulations. Am J Physiol 275:H349–H360

    PubMed  CAS  Google Scholar 

  42. Pries AR, Secomb TW et al (1990) Blood flow in microvascular networks. Experiments and simulation. Circ Res 67:826–834

    PubMed  CAS  Google Scholar 

  43. Pries AR, Secomb TW et al (1994) Resistance to blood flow in microvessels in vivo. Circ Res 75:904–915

    PubMed  CAS  Google Scholar 

  44. Schmid-Schonbein GW, Zweifach BW et al (1987) Microvascular tone in a skeletal muscle of spontaneously hypertensive rats. Hypertension 9:164–171

    PubMed  CAS  Google Scholar 

  45. Schulte KL, Braun J et al (1988) Functional versus structural changes of forearm vascular resistance in hypertension. Hypertension 11:320–325

    PubMed  CAS  Google Scholar 

  46. Secomb TW, Pries AR, Gaehtgens P, Gross JF (1989) Theoretical and experimental analysis of hematocrit distribution in microcirculatory networks. In Lee JS, Skalak TC (eds) Microvascular mechanics: hemodynamics of systemic and pulmonary microcirculation.Springer, New York, pp 39–49

  47. Stapor CP, Murfee LW (2012) Identification of class III β-tubulin as a marker of angiogenic perivascular cells. Microvasc Res 83(2):257–262

    PubMed  Article  CAS  Google Scholar 

  48. Steeghs N, Gelderblom H et al (2008) Hypertension and rarefaction during treatment with telatinib, a small molecule angiogenesis inhibitor. Clin Cancer Res 14:3470–3476

    PubMed  Article  CAS  Google Scholar 

  49. Suematsu M, Suzuki H et al (2002) The inflammatory aspect of the microcirculation in hypertension: oxidative stress, leukocytes/endothelial interaction, apoptosis. Microcirculation 9:259–276

    PubMed  CAS  Google Scholar 

  50. Suzuki H, Schmid-Schonbein GW et al (1994) Impaired leukocyte-endothelial cell interaction in spontaneously hypertensive rats. Hypertension 24:719–727

    PubMed  CAS  Google Scholar 

  51. Suzuki H, Zweifach BW et al (1995) Dependence of elevated mesenteric arteriolar tone on glucocorticoids in spontaneously hypertensive rats. Int J Microcirc Clin Exp 15:309–315

    PubMed  Article  CAS  Google Scholar 

  52. Suzuki H, Zweifach BW et al (1996) Glucocorticoid modulates vasodilator response of mesenteric arterioles in spontaneously hypertensive rats. Hypertension 27:114–118

    PubMed  CAS  Google Scholar 

  53. Tomassoni D, Mancinelli G et al (2002) Quantitative image analysis of choroid and retinal vasculature in SHR: a model of cerebrovascular hypertensive changes? Clin Exp Hypertens 24:741–752

    PubMed  Article  Google Scholar 

  54. Tran ED, Yang M et al (2011) Matrix metalloproteinase activity causes VEGFR-2 cleavage and microvascular rarefaction in rat mesentery. Microcirculation 18:228–237

    Google Scholar 

  55. Williams SA, Boolell M et al (1990) Capillary hypertension and abnormal pressure dynamics in patients with essential hypertension. Clin Sci (Lond) 79:5–8

    CAS  Google Scholar 

  56. Yang M, Aragon M et al (2011) Angiogenesis in mesenteric microvascular networks from spontaneously hypertensive versus normotensive rats. Microcirculation 18:574–582

    PubMed  Article  Google Scholar 

  57. Zweifach BW, Kovalcheck S et al (1981) Micropressure-flow relationships in a skeletal muscle of spontaneously hypertensive rats. Hypertension 3:601–614

    PubMed  CAS  Google Scholar 

Download references

Acknowledgments

This work was supported by the Tulane Hypertension and Renal Center of Excellence funded by NIH grant P20RR017659-08 (PI: L. Gabriel Navar).

Author information

Affiliations

Authors

Corresponding author

Correspondence to Walter L. Murfee.

Rights and permissions

Reprints and Permissions

About this article

Cite this article

Yang, M., Murfee, W.L. The effect of microvascular pattern alterations on network resistance in spontaneously hypertensive rats. Med Biol Eng Comput 50, 585–593 (2012). https://doi.org/10.1007/s11517-012-0912-x

Download citation

  • Received:

  • Accepted:

  • Published:

  • Issue Date:

  • DOI: https://doi.org/10.1007/s11517-012-0912-x

Keywords

  • Microcirculation
  • Rarefaction
  • Hypertension
  • Mesentery
  • Resistance
  • SHR