Abstract
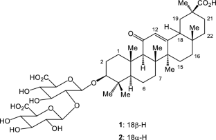
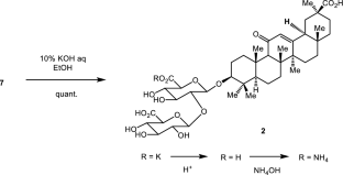
18α-Glycyrrhizin is an epimer of 18β-glycyrrhizin, a major component of licorice (Glycyrrhiza sp.), which is widely used as a traditional medicine. Whether 18α-glycyrrhizin is a real natural product has been debated in the long history of glycyrrhizin chemistry because 18β-glycyrrhizin is epimerizable to a more thermodynamically stable 18α-glycyrrhizin under aqueous alkali conditions. We improved the preparation of 18α-glycyrrhizin from 18β-glycyrrhizin by successive epimerization reactions of 18β-glycyrrhizin, trimethyl esterification of the resulting epimerized mixture, and alkaline hydrolysis of a purified 18α-glycyrrhizin trimethyl ester. Approaches to the possible presence of 18α-glycyrrhizin in licorice extracts by HPLC using synthetic 18α-glycyrrhizin as a positive standard strongly suggested that 18α-glycyrrhizin could naturally exist as a minor congener of glycyrrhizin derivatives in Glycyrrhiza species.
Graphical abstract












Similar content being viewed by others
References
Kitagawa I (2002) Licorice root. A natural sweetener and an important ingredient in Chinese medicine. Pure Appl Chem 74:1189–1198
Hosseinzadeh H, Nassiri-Asl M (2015) Pharmacological effects of Glycyrrhiza spp. and its bioactive constituents: update and review. Phytother Res 29:1868–1886
Kao T-C, Wu C-H, Yen G-C (2014) Bioactivity and potential health benefits of licorice. J Agric Food Chem 62:542–553
Makino T (2021) Exploration for the real causative agents of licorice-induced pseudoaldosteronism. J Nat Med 75:275–283
Tolstikov GA, Baltina LA, Shul’ts EE, Pokrovsky AG (1997) Glycyrrhizic acid. Russ J Bioorg Chem 23:625–642
Ito Y, Ishizaki K, Sugimoto N, Tada A, Akiyama T, Sato K, Akiyama H, Goda Y (2015) Confirmation of the configuration of two glucuronic acid units in glycyrrhizic acid. Jpn J Food Chem Safety 22:32–37
Miyashita A, Kuramoto T, Okada K (1981) 18α-Glycyrrhizinic acid. UK Patent GB 2071665 A
Kondo M, Minamino H, Okuyama G, Honda K, Nagasawa H, Otani Y (1986) Physicochemical properties and applications of α- and ®-glycyrrhizins, natural surface active agents in licorice root extract. J Soc Cosmet Chem 37:177–189
Baltina LA, Serdyuk NG, Flekhter OB, Krasnova LV, Davydova VA, Ismagilova AF, Zarudii FS, Tolstikov GA (1996) Isomerization of glycyrrhizic acid. Antiulcer activity. Pharm Chem J 30:613–615
Baltina LA Jr, Stolyarova OV, Baltina LA, Kondratenko RM, Plyasunova OA, Pokrovskii AG (2010) Synthesis and antiviral activity of 18α-glycyrrhizic acid and its esters. Pharm Chem J 44:299–302
Yang Y-A, Tang W-J, Zhang X, Yuan J-W, Liu X-H, Zhu H-L (2014) Synthesis, molecular docking and biological evaluation of glycyrrhizin analogs as anticancer agents targeting EGFR. Molecules 19:6368–6381
Vora PS (1982) High pressure liquid chromatographic determination of glycyrrhizic acid or glycyrrhizic acid salts in various licorice products: collaborative study. J Assoc 65:572–574
Spinks EA, Fenwick GR (1990) The determination of glycyrrhizin in selected UK liquorice products. Food Add Contaminants 7:769–778
Kitagawa I, Chen W-Z, Taniyama T, Harada E, Hori K, Kobayashi M, Ren J (1998) Quantitative determination of constituents in various licorice roots by means of high performance liquid chromatography. Yakugaku Zasshi 118:519–528
Kuwajima H, Taneda Y, Chen W-Z, Kawanishi T, Hori K, Taniyama T, Kobayashi M, Ren J, Kitagawa I (1999) Variation of chemical constituents in processed licorice roots: quantitative determination of saponin and flavonoid constituents in bark removed and roasted licorice roots. Yakugaku Zasshi 119:945–955
“Ammonium Glycyrrhizate” in European Pharmacopoeia-10th ed (2019) Monographs A 01/2017:1772 pp 1833–1834
“Ammonium Glycyrrhizate,” in United States Pharmacopoeia-US42/NF37 (2019), NF Monographs pp 5573–5574
Tsubone K, Ohnishi S, Yoneya T (1982) Separation of glycyrrhizinic acid isomers by high-performance liquid chromatography. J Chromatogr 248:469–471
Koga K, Ohmachi K, Kawashima S, Takeda K, Murakami M (2000) Determination of 18α-glycyrrhizin and 18β-glycyrrhizin in dog plasma by high-performance liquid chromatography. J Chromatogr B 738:165–168
Baltina LA, Serdyuk NG, Krasnova LV, Kondratenko RM, Tolstikov GA (1994) Preparation of glycyrrhizic acid from licorice extracts. Pharm Chem J 28:674–678
Amagaya S, Sugishita E, Ogihara Y, Ogawa S, Okada K, Aizawa T (1995) Separation and quantitative analysis of 18α-glycyrrhetinic acid and 18β-glycyrrhetinic acid in Glycyrrhizae radix by gas-liquid chromatography. J Chromatogr 320:430–434
Zheng Y-F, Wei J-H, Fang S-Q, Tang Y-P, Cheng H-B, Wang T-L, Li C-Y, Peng G-P (2015) Hepatoprotective triterpene saponins from the roots of Glycyrrhiza inflata. Molecules 20:6273–6283
Beaton JM, Spring FS (1956) Triterpenoids. Part XLII. The configuration of the carboxyl group in glycyrrhetic acid. J Chem Soc 2417–2419
Farag MA, Porzel A, Wessjohann LA (2015) Unequivocal glycyrrhizin isomer determination and comparative in vitro bioactivities of root extracts in four Glycyrrhiza species. J Adv Res 6:99–104
Brieskorn CH, Sax H (1970) Synthese von glycyrrhizinsäure- und glycyrrhetinsäurederivaten. Arch Pharm Ber Deutsch Pharm Gesell 303:905–912
Saito S, Furumoto T, Ochiai M, Hosono A, Haraguchi U, Ikeda R, Shimada N (1996) Synthetic studies on the relationship between anti-HIV activities and micelle forming abilities of various alkylated glycyrrhetinates diglycoside sodium sulfates and related compounds. Eur J Med Chem 31:365–381
Kitagawa I, Zhou L, Sakagomi M, Taniyama T, Yoshikawa M (1988) Licorice-saponins A3, B2, C2, D3. and E2, five new oleanane-type triterpene oligoglycosides from Chinese Glycyrrhizae radix. Chem Pharm Bull 36:3710–3713
Kitagawa I, Hori K, Sakagomi M, Hashiuchi F, Yoshikawa M, Ren J (1993) Saponin and sapogenol. XLIX. On the constituents of the roots of Glycyrrhiza inflata Batalin from Xinjiang, China. Characterization of two sweet oleanane-type triterpene oligoglycosides, apioglycyrrhizin and arabinoglycyrrhizin. Chem Pharm Bull 41:1350–1357
Baltina LA, Kunert O, Fatykhov AA, Kondratenko RM, Spirikhin LU, Baltina LA Jr, Galin FZ, Tolstikov GA, Haslinger E (2005) High-resolution 1H and 13C NMR of glycyrrhizic acid and its esters. Chem Nat Compd 41:432–435
Tatsuzaki J, Ohwada T, Otani Y, Inagi R, Ishikawa T (2018) A simple and effective preparation of quercetin pentamethyl ether from quercetin. Beilstein J Org Chem 146:3112–3121
In Y, Uchida M, Watanabe M, Aimi N, Ishida T (2009) Unique coordination mode of potassium ions to glycyrrhizin: X-ray crystal structure od glycyrrhizin dipotassium salt. Chem Lett 38:1024–1025
Tykarska E, Sobiak S, Gdaniec M (2012) Supramolecular organization of neutral and ionic forms of pharmaceutically relevant gylcyrrhizic acid-amphiphile self-assembly and inclusion of small drug molecules. Cryst Growth Des 12:2133–2137
Tykarska E, Gdaniec M (2013) Toward better understanding of isomorphism of glycyrrhizic acid and its mono- and dibasic salts. Cryst Growth Des 13:1301–1308
Tykarska E, Dutkiewics Z, Baranowski D, Gdaniec Z, Gdaniec M (2014) Effect of neighbors on the conformational preferences of glycosidic linkages in glycyrrhizic acid and its mono- and dideprotonated forms: X-ray, NMR, and computational studies. Cryst Growth Des 14:5871–5880
The Japanese Pharmacopoeia 17th edn (JP XVII) (2018) pp 1862–1865
Okada S, Kitajima A, Tanimoto T, Suzuki H, Satake M (1995) Glycyrrhitinic acid reference standard (control 941) of the National Institute of Health Sciences. Bull Natl Inst Health Sci 113:114–120
Goda Y (2017) Studies for quality control of pharmaceuticals focusing on revision of monographs, The Japanese Pharmacopoeia. Research on Regulatory Science of Pharmaceuticals and Medical Devices
Kanai K, Hori C, Daikonya A, Harai K, Ou B, Okonogi A, Yokoya Y (2018) Study on shortening of analysis time in high performance liquid chromatography. X. -Study on quantification of glycyrrhizic acid in JP17 Glycyrrhiza and Powdered Glycyrrhiza. Res Home Med No 37:33–41
Acknowledgements
We thank Ms Sayaka Kado, Center for Analytical Instrumentation, Chiba University, for recording HRESI-MS spectra.
Author information
Authors and Affiliations
Corresponding author
Additional information
Publisher's Note
Springer Nature remains neutral with regard to jurisdictional claims in published maps and institutional affiliations.
Supplementary Information
Below is the link to the electronic supplementary material.
Rights and permissions
About this article
Cite this article
Jitrangsri, K., Kamata, K., Akiba, M. et al. Is 18α-Glycyrrhizin a real natural product? Improved preparation of 18α-Glycyrrhizin from 18β-Glycyrrhizin as a positive standard for HPLC analysis of licorice extracts. J Nat Med 76, 367–378 (2022). https://doi.org/10.1007/s11418-021-01589-9
Received:
Accepted:
Published:
Issue Date:
DOI: https://doi.org/10.1007/s11418-021-01589-9


