Abstract
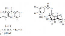
This study evaluated methanol extracts from the leaves and branches of the Thai medicinal plant Diospyros mollis (Ebenaceae). Seven triterpenes and 22 aromatic compounds, including five new compounds, were isolated, and their structures were determined. The new compounds had the following structures: diospyrol glycoside (makluoside A, 1), 8,8′-di-O-6-β-d-apiofuranosyl-β-d-glucopyranosyl-6,6′-dimethyl-2,3′-binaphthalene-1-ol-1′,4′- dione (makluoside B, 2), and 3-methyl-1,8- naphthalenediol glycosides (makluosides C-E, 3–5). Makluoside B is the first example of a naphthoquinone glycoside that has both a 3-methyl-1,8-naphthalenediol unit and a 5-hydroxy-7-methyl-1,4-naphthoquinone unit. The hyaluronidase inhibitory activity of the isolates was evaluated, revealing that one of the triterpene derivatives possessed moderate inhibitory activity.


Similar content being viewed by others
Explore related subjects
Discover the latest articles and news from researchers in related subjects, suggested using machine learning.References
Mallavadhani UV, Panda AK, Rao YR (1998) Pharmacology and chemotaxonomy of Diospyros. Phytochemistry 49:901–951
Molander M, Nielsen L, Sogaard S, Staerk D, Ronsted N, Diallo D, Chifundera KZ, Staden J, Jager AK (2014) Hyaluronidase, phospholipase A2 and protease inhibitory activity of plants used in traditional treatment of snakebite-induced tissue necrosis in Mali, DR Congo and South Africa. J Ethnopharmacol 157:171–180
Salguero CP (2003) A Thai Herbal. Findhorn Press, Forres, p 98
Sadun EH, Vajrasthira S (1954) The effect of Ma-Klua (Diospyros mollis) in the treatment of human hookworm. J Parasit 40:49–53
Bechtold T, Mussak R (2009) Handbook of Natural Colorants. Wiley, Hoboken, p 68
Atjanasuppat K, Wongkham W, Meepowan P, Kittakoop P, Sobhon P, Bartlett A, Whitefield PJ (2009) In vitro screening for anthelmintic and antitumor activity of ethnomedicinal plants from Thailand. J Ethnopharmacol 123:475–482
Yoshihira K, Tezuka M, Kanchanapee P, Natori S (1971) Naphthoquinone derivatives from the Ebenaceae. I. Diospyrol and the related naphthoquinones from Diospyros mollis Griff. Chem Pharm Bull 19:2271–2277
Paphassarang S, Becchi M, Raynaud B (1984) A new diospyrol glycoside from Diospyros mollis Griff. Tetrahedron Lett 25:523–526
Tanaka T, Furusawa M, Ito T, Iliya I, Oyama M, Iinuma M, Tanaka N, Murata J (2006) Phenolic constituents of leaves of Diospyros montana. Nat Prod Commun 2:55–59
Mongkolsuk S, Starwonvivat C (1965) 3-Methylanaphyhalene-1,8-diol from Diospyros mollis. J Chem Soc, p 1533
Loder JW, Mongkolsuk S, Robertson A, Whalley WB (1957) Diospyrol, a constituent of Diospyros mollis. J Chem Soc. doi:10.1039/JR9570002233
Frost G, Csoka T, Stern R (1996) The hyalurinidases: a chemical, biological and clinical overview. Trends Glycosci Glycotecnol 8:419–434
Warrel DA (2010) Snake bite. Lancet 375:77–88
Tanaka T, Nakashima T, Ueda T, Tomii K, Kouno I (2007) Facile discrimination of aldose enantiomers by reversed-phase HPLC. Chem Pharm Bull 55:899–901
Kakegawa H, Matsumoto H, Satou T (1985) Activation of hyaluronidase by metallic salts and compound 48/80, and inhibitory effect of anti-allergic agents on hyaluronidase. Chem Pharm Bull 33:642–646
Haque MdE, Shekhar HU, Mohamad AU, Rahman H, Islam AKMM, Hossain MS (2006) Triterpeneoids from the stem bark of Avicennia officinalis. Dhaka Univ J Pharm Sci 5:53–57
Yonemoto R, Shimada M, Maria DPT, Gunawan-Puteri MDPT, Kato E, Kawabara J (2014) α-Amylase inhibitory triterpene from Abrus precatorius leaves. J Agric Food Chem 62:8411–8414
Tijjiani A, Ndukwe IG, Ayo RG (2012) Isolation and characterization of lup-20(29)-ene-3,28-diol (betulin) from the stem-bark of Adenium obesum (Apocynaceae). Trop J Pharm Res 11:259–262
Khaliq S, Volk FJ, Frahm AW (2007) Phytochemical investigation of Perovskia abrotanoides. Planta Med 73:77–83
Kamboj A, Saluja AK (2011) Isolation of stigmasterol and β-sitosterol from petroleum ether extract of aerial parts of Ageratum conyzoides (Asteraceae). Int J Pharm Sci 3:94–96
Fuchino H, Satoh T, Tanaka N (1995) Chemical evaluation of Betula species in Japan. I. Constituents of Betula ermanii. Chem Pharm Bull 43:1937–1942
Rudiyansyah Garson MJ (2006) Secondary metabolites from the wood bark of Durio zibethinus and Durio kutejensis. J Nat Prod 69:1218–1221
Rahman MDA, Katayama T, Suzuki T, Nakagawa T (2007) Stereochemistry and biosynthesis of (+)-lyoniresinol, a syringyl tetrahydronaphtalene lignin in Lyonia ovalifolia var. elliptica I: isolation and stereochemistry of syringyl lignans and predicted precursors to (+)-lyoniresinol from wood. J Wood Sci 53:161–167
Wikul A, Dasmud T, Kataoka K, Phuwapraisirian P (2012) (+)-Pinoresinol is a putative hypoglycemic agent in defatted sesame (Sesamum indicum) seeds though inhibiting α-glucosidase. Bioorg Med Chem Lett 22:5215–5217
Yang XW, Zhao PJ, Ma YL, Xiao HT, Zuo YQ, He HP, Li L, Hao XJ (2007) Mixed lignin-neolignans from Tarenna attenuate. J Nat Prod 70:521–525
Matsuda S, Kadota S, Tai T, Kikuchi T (1984) Isolation and structures of hedyotisol-A, -B, and -C novel diignans from Hedyotis lawsoniae. Chem Pharm Bull 32:5066–5069
Yan X, Suzuki M, Ohnishi-Kameyama M, Sada Y, Nakanishi T, Nagata T (1999) Extraction and identification of antioxidants in the roots of yakon (Smallanthus sonchifolius). J Agric Food Chem 47:4711–4713
Luecha P, Umehara K, Miyase T, Noguchi H (2009) Antiestrogenic constituents of the Thai medicinal plants Capparis flavicans and Vitex glabrata. J Nat Prod 72:1954–1959
Kanchanapoom T, Kasai R, Yamasaki K (2002) Iridoid and phenolic diglycosides from Canthium berberidifolium. Phytochemistry 61:461–464
Kitajima J, Kamoshita A, Ishikawa T, Takano A, Fukuda T, Isoda S, Ida Y (2003) glycosides of Atractylodes japonica. Chem Pharm Bull 51:152–157
Sugiyama M, Kikuchi M (1991) Phenolic glycosides from Osmanthus asiaticus. Phytochemistry 30:3147–3149
Zhong XN, Otsuka H, Ide T, Hirata E, Takeda Y (1999) Hydroquinone diglycoside acylestrers from the leaves of Myrsine seguinii. Phytochemistry 52:923–927
Luo Q, Wang SM, Lu Q, Luo J, Cheng YX (2012) Identification of compounds from the water soluble extract of Cinnamomum cassia barks and their inhibitory effects against high-glucose-induced mesangial cells. Molecules 18:10930–10943
Warashina T, Nagatani Y, Noro T (2005) Further constituents from the bark of Tabebuia impetiginosa. Phytochemistry 66:589–597
Comte G, Vercauteren J, Chulia AJ, Allais DP, Delage C (1997) Phenylpropanoids from leaves of Juniperus phoenicea. Phytochemistry 45:1679–1682
Tohda C, Nakamura N, Komatsu K, Hattori M (1999) Trigonelline-induced neurite outgrowth in human neuroblastoma SK-N-SH cells. Biol Pharm Bull 22:679–682
Borsub L, Thebtaranonth Y, Ruchirwat S, Sadavongvivad C (1976) A new diglucoside from the anthelmintic berries of Diospyros mollis. Tetrahedron Lett 17:105–108
Miyase T, Ueno A, Takizawa N, Kobayashi H, Oguchi H (1989) Ionone and lignin glycosides from Epimedium diphyllum. Phytochemistry 28:3483–3485
Sankaram AVB, Reedy VVN (1984) Structure of ebenone, a possible biogenetic precursor of elliptinone, from Diospyros ebenum. Phytochemistry 23:2039–2042
Ippoushi K, Yamaguchi Y, Itou H, Azuma K, Higashino H (2000) Evaluation of Inhibitory Effects of Vegetables and Herbs on hyaluronidase and identification of rosmarinic acid as a hyaluronidase inhibitor in lemon balm (Melissa officinalis L.). Food Sci Technol Res 6:74–77
Acknowledgements
This work was partially supported by the Japan Society for the Promotion of Science (JSPS) KAKENHI Grant Number 25460126 to K.U. We thank Philip Hawke of the University of Shizuoka Scientific English Program for proofreading the English in the manuscript.
Author information
Authors and Affiliations
Corresponding author
Ethics declarations
Conflict of interest
The authors declare that they have no conflict of interest.
Electronic supplementary material
Below is the link to the electronic supplementary material.
Rights and permissions
About this article
Cite this article
Suwama, T., Watanabe, K., Monthakantirat, O. et al. Naphthalene glycosides in the Thai medicinal plant Diospyros mollis . J Nat Med 72, 220–229 (2018). https://doi.org/10.1007/s11418-017-1134-1
Received:
Accepted:
Published:
Issue Date:
DOI: https://doi.org/10.1007/s11418-017-1134-1


