Skip to main content

Bioactive metabolites of Diaporthe sp. P133, an endophytic fungus isolated from Pandanus amaryllifolius

Abstract

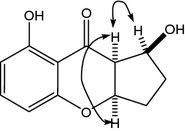
Two new benzopyranones, diaportheone A (1) and B (2), were obtained via bioassay-guided isolation of the secondary metabolites from the endophytic fungus Diaporthe sp. P133 isolated from Pandanus amaryllifolius leaves. Their structures were determined from spectral analysis including mass spectrometry, 1D and 2D nuclear magnetic resonance. Both 1 and 2 inhibited the growth of the virulent strain of Mycobacterium tuberculosis H37Rv with minimum inhibitory concentrations of 100.9 and 3.5 μM, respectively.

This is a preview of subscription content, access via your institution.

Fig. 1
Fig. 2
Fig. 3

References

  1. De La Fuente R, Sonawane ND, Arumainayagam N, Verkman AS (2006) Small molecules with antimicrobial activity against E. coli and P. aeruginosa identified by high-throughput screening. Braz J Pharmacol 149:551

    Article  Google Scholar 

  2. Foster KR, Grundmann H (2006) The potential for tragedy in antimicrobial resistance. PLoS Med 3:29

    Article  Google Scholar 

  3. Overbye KM, Barrett JF (2005) Antibiotics: where did we go wrong? Drug Discov Today 10:45

    PubMed  Article  Google Scholar 

  4. Puri S, Nazir A, Chawla R, Arora R, Riyaz-ul-Hazan S, Amna T, Ahmed B, Verma V, Singh S, Saga R, Sharma A, Kumar R, Sharma RK, Qazi GN (2006) The endophytic fungus Trametes hirsute as a novel alternative source of phodophyllotoxin and related aryl tetralin lignans. J Biotechnol 122:494

    PubMed  Article  CAS  Google Scholar 

  5. Strobel G (2006) Harnessing endophytes for industrial microbiology. Curr Opin Microbiol 9:240

    PubMed  Article  CAS  Google Scholar 

  6. Selosse MA, Baudoin E, Vandenkoornhuyse P (2004) Symbiotic microorganisms, a key for ecological success and protection of plants. C R Biol 327:639

    PubMed  Article  Google Scholar 

  7. Strobel G, Daisy B (2003) Bioprospecting for microbial endophytes and their natural products. Microbiol Mol Biol Rev 67:491

    PubMed  Article  CAS  Google Scholar 

  8. Richardson MS (2000) Alkaloids of endophyte-infected grasses: defense chemicals or biological anomalies? In: Bacon CW and White Jr JF (eds.) Microbial Endophytes. Marcel Dekker Inc., USA

    Google Scholar 

  9. Thines E, Anke H, Weber RWS (2004) Fungal secondary metabolites as inhibitors of infection-related morphogenesis in phytopathogenic fungi. Mycol Res 108:14

    PubMed  Article  CAS  Google Scholar 

  10. Hussain H, Krohn K, Ullah Z, Draeger S, Barbara S (2007) Bioactive chemical constituents of two endophytic fungi. Biochem Syst Ecol 35:898

    Article  CAS  Google Scholar 

  11. Lane G, Christensen M (2000) Coevolution of fungal endophytes with grasses: the significance of secondary metabolites. In: Bacon CW and White Jr JF (eds.) Microbial Endophytes. Marcel Dekker Inc., USA

    Google Scholar 

  12. Schulz B, Boyle C, Draeger S, Rommer A, Krohn K (2002) Endophytic fungi: a source of novel biologically active secondary metabolites. Mycol Res 106:996

    Article  CAS  Google Scholar 

  13. Strobel G, Daisy B, Castillo U, Harper J (2004) Natural products from endophytic microorganisms. J Nat Prod 67:257

    PubMed  Article  CAS  Google Scholar 

  14. Ichihara A, Murakami K, Sakamura S (1987) Synthesis of Pyrenocines A, B, and Pyrenochaetic acid A. Tetrahedron 43:5245–5250

    Article  CAS  Google Scholar 

  15. Wang H, Gloer JB, Scott JA, Malloch D (1995) Coniochaetones A and B: new antifungal benzopyranones from the coprophilous fungus Coniochaeta saccardoi. Tetrahedron Lett 36:5847–5850

    Article  CAS  Google Scholar 

  16. Petrini O, Sieber TN, Toti L, Viret O (1992) Ecology, metabolite production and substrate utilization in endophytic fungi. Nat Toxins 1:185–196

    PubMed  Article  CAS  Google Scholar 

  17. Collins LA, Franzblau SG (1997) Microplate Alamar blue assay versus BACTEC 460 system for high-throughput screening of compounds against Mycobacterium tuberculosis and Mycobacterium avium. Antimicrob Agents Chemother 41:1004–1009

    PubMed  CAS  Google Scholar 

Download references

Acknowledgments

Financial support for one of the authors (MEB) from the Higher Education Development Program – Faculty Development Program under the Commission on Higher Education and the CHED Sandwich Program for a research visit to Chiba University, Japan, is gratefully acknowledged.

Author information

Affiliations

Authors

Corresponding authors

Correspondence to Mario A. Tan or Maribel G. Nonato.

Rights and permissions

Reprints and Permissions

About this article

Cite this article

Bungihan, M.E., Tan, M.A., Kitajima, M. et al. Bioactive metabolites of Diaporthe sp. P133, an endophytic fungus isolated from Pandanus amaryllifolius . J Nat Med 65, 606–609 (2011). https://doi.org/10.1007/s11418-011-0518-x

Download citation

  • Received:

  • Accepted:

  • Published:

  • Issue Date:

  • DOI: https://doi.org/10.1007/s11418-011-0518-x

Keywords

  • Endophytic fungi
  • Pandanus
  • Antitubercular
  • Structure elucidation