Skip to main content

Laevigatbenzoate from Croton laevigatus Vahl.

Abstract

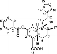
A new trans-clerodane diterpenoid, laevigatbenzoate (1), was isolated from the leaves of Croton laevigatus Vahl. Its structure was established on the basis of spectroscopic analysis, and the absolute configuration was determined by application of the CD excitation chirality method. This compound showed weak cytotoxicity against HeLa cells, with an IC50 value of 45.4 μM.

This is a preview of subscription content, access via your institution.

Fig. 1
Fig. 2

References

  1. Jiangsu New Medical College (1975) Dictionary of Chinese materia medica. Shanghai Science & Technology, Shanghai, p 881

    Google Scholar 

  2. Zou GA, Ding G, Su ZH, Yang JS, Zhang HW, Peng CZ, Aisa HA, Zou ZM (2010) Lactonecembranoids from Croton laevigatus. J Nat Prod 73:792–795

    PubMed  Article  CAS  Google Scholar 

  3. Zou GA, Su ZH, Zhang HW, Wang Y, Yang JS, Zou ZM (2010) Flavonoids from the stems of Croton caudatus Geisel. var. tomentosus Hook. Molecules 15:1097–1102

    PubMed  Article  CAS  Google Scholar 

  4. Spanevello RA, Vila AJ (1994) 7-α-Acetoxyhardwickiic acid: a furanoid clerodane. Phytochemistry 35:537–538

    Article  CAS  Google Scholar 

  5. Heymann H, Tezuka Y, Kikuchi T, Supriyatna S (1994) Constituents of Sindora sumatrana MIQ. III. New trans-clerodane diterpenoids from the dried pods. Chem Pharm Bull 42:1202–1207

    CAS  Google Scholar 

  6. Anis I, Anis E, Ahmed S, Mustafa G, Malik A, Amtul Z, Atta-ur-Rahman (2001) Thrombin inhibitory constituents from Duranta repens. Helv Chim Acta 84:649–655

    Google Scholar 

  7. Harada N, Iwabuchi J, Yokota Y, Uda H, Nakanishi K (1981) A chiroptical method for determining the absolute configuration of allylic alcohols. J Am Chem Soc 103:5590–5591

    Article  CAS  Google Scholar 

  8. Morita H, Nakayama M, Kojima H, Takeya K, Itokawa H, Schenkel EP, Motidome M (1991) Structures and cytotoxic activity relationship of casearins, new clerodane diterpenes from Casearia sylvestris Sw. Chem Pharm Bull 39:693–697

    PubMed  CAS  Google Scholar 

  9. Shen YC, Wang CH, Cheng YB, Wang LT, Guh JH, Chien CT, Khalil AT (2004) New cytotoxic clerodane diterpenoids from the leaves and twigs of Casearia membranacea. J Nat Prod 67:316–321

    PubMed  Article  CAS  Google Scholar 

  10. Xie HG, Chen H, Cao B, Zhang HW, Zou ZM (2007) Cytotoxic germacranolide sesquiterpene from Inula cappa. Chem Pharm Bull 55:1258–1260

    PubMed  Article  CAS  Google Scholar 

  11. Dewick PM (2002) The biosynthesis of C-5–C-25 terpenoid compounds. Nat Prod Rep 19:181–222

    PubMed  Article  CAS  Google Scholar 

  12. Merritt AT, Ley SV (1992) Clerodane diterpenoids. Nat Prod Rep 9:243–287

    PubMed  Article  CAS  Google Scholar 

  13. Rodriguez AD, Li YX, Dhasmana H (1993) New marine cembrane diterpenoids isolated from the Caribbean gorgonian Eunicea mammosa. J Nat Prod 56:1101–1113

    Article  CAS  Google Scholar 

  14. Shigemori H, Shimamoto S, Sekiguchi M, Ohsaki A, Kobayashi J (2002) Echinodolides A and B, new cembrane diterpenoids with an eight-membered lactone ring from the leaves of Echinodorus macrophyllus. J Nat Prod 65:82–84

    PubMed  Article  CAS  Google Scholar 

  15. Kobayashi J, Sekiguchi M, Shimamoto S, Shigemori H, Ohsaki A (2000) Echinophyllins C–F, new nitrogen-containing clerodane diterpenoids from Echinodorus macrophyllus. J Nat Prod 63:1576–1579

    PubMed  Article  CAS  Google Scholar 

  16. Garcez FR, Garcez WS, da Silva AFG, Bazzo RD, Resende UM (2004) Terpenoid constituents from leaves of Guarea kunthiana. J Braz Chem Soc 15:767–772

    Article  CAS  Google Scholar 

  17. Pudhom K, Vilaivan T, Ngamrojanavanich N, Dechangvipart S, Sommit D, Petsom A, Roengsumran S (2007) Furanocembranoids from the stem bark of Croton oblongifolius. J Nat Prod 70:659–661

    PubMed  Article  CAS  Google Scholar 

  18. Youngsa-ad W, Ngamrojanavanich N, Mahidol C, Ruchirawat S, Prawat H, Kittakoop P (2007) Diterpenoids from the roots of Croton oblongifolius. Planta Med 73:1491–1494

    PubMed  Article  CAS  Google Scholar 

Download references

Acknowledgments

We gratefully acknowledge financial support from the Major Project of Chinese National Programs for Severe Infectious Diseases (2008ZX10003-006), National Natural Science Foundation of China (Grant No. 30900124), and the National S&T Major Special Project on Major New Drug Innovation (2009ZX09301-003). We also thank the staff of the Analytical Center, Beijing Institute of Microchemistry, China, for the measurements of NMR and mass spectra.

Author information

Affiliations

Authors

Corresponding author

Correspondence to Zhong-Mei Zou.

Rights and permissions

Reprints and Permissions

About this article

Cite this article

Zou, GA., Zhang, HW., Aisa, H.A. et al. Laevigatbenzoate from Croton laevigatus Vahl.. J Nat Med 65, 391–394 (2011). https://doi.org/10.1007/s11418-010-0503-9

Download citation

  • Received:

  • Accepted:

  • Published:

  • Issue Date:

  • DOI: https://doi.org/10.1007/s11418-010-0503-9

Keywords

  • Croton laevigatus Vahl.
  • Euphorbiaceae
  • Diterpenoid
  • Laevigatbenzoate
  • Cytotoxicity