Skip to main content

Perilla frutescens var. frutescens in northern Laos

Abstract

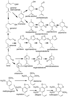
Twenty-eight samples of mericarps of Perilla frutescens var. frutescens were collected through fieldwork performed in Phongsali and Xieng Khouang provinces in northern Laos. No perilla samples were collected from Savannakhet province in the south although more than 20 sites were investigated. Perilla plants are mostly grown mixed with dry-paddy rice by slash-and-burn cultivation in Laos. The most popular local name for perilla mericarps in the area was “Ma Nga Chan”. Weight of 1,000 grains and hardness of the mericarps were measured, and all mericarps were found to be large (weight of 1,000 grains around 2 g) and soft (limit load weight under 300 g), which were preferred for culinary use in Laos. The composition of the essential oils obtained from the herbaceous plants raised from the mericarps was divided into five types, perillaketone, elemicine plus myristicine, shisofuran, piperitenon, and myristicine, and GC–MS analysis of these Laotian perilla samples showed that they were similar to those of corresponding types of known Japanese perilla strains. One of the shisofuran-type perilla contained large amounts of putative α-naginatene, which is likely to be an intermediate of the biosynthesis of naginataketone. The farmers' indifference to the oil type of the leaf seems to leave Laotian perilla as a good genetic resource for studies of the biosynthesis of oil compounds.

This is a preview of subscription content, access via your institution.

Fig. 1
Fig. 2
Fig. 3
Fig. 4

References

  1. Ito M, Honda G (1996) A taxonomic study of Japanese wild Perilla (Labiatae). J Phytogeogr Taxon 44:43–52

    Google Scholar 

  2. Honda G (1996) Genetic control of the essential oil components in Perilla. FFI J 169:9–15

    CAS  Google Scholar 

  3. Honda G, Koezuka Y, Tabata M (1990) Genetic studies of fruits color and hardness in Perilla frutescens. Jap J Breed 40:469–474

    Google Scholar 

  4. Ito M, Toyoda M, Honda G (1999) Chemical composition of the essential oil of Perilla frutescens. Nat Med 53:32–36

    CAS  Google Scholar 

  5. Ito M (1997) A basic research on diversity of medicinal plants and their sustainable use in northern Thailand. Annual report of research project of Japan Bioindustry Association

  6. Koezuka Y, Honda G, Sakamoto Y, Tabata M (1985) Genetic control of anthocyanin production in Perilla frutescens. Shoyakugaku Zasshi 39:228–231

    CAS  Google Scholar 

  7. Koezuka Y, Honda G, Tabata M (1986) Genetic control of the chemical composition of volatile oils in Perilla frutescens. Phytochemistry 25:859–863

    Article  CAS  Google Scholar 

  8. Ito M, Toyoda M, Nakano Y, Kiuchi F, Honda G (1999) Chemical composition of essential oils from Perilla setoyensis, a new species of wild Perilla in Japan. J Essent Oil Res 11:669–672

    CAS  Google Scholar 

  9. Ito M, Toyoda M, Kamakura S, Honda G (2002) A new type of essential oil from Perilla frutescens from Thailand. J Essent Oil Res 14:416–419

    CAS  Google Scholar 

  10. Tsukasa H (1989) A new synthesis of rosefuran. Agric Biol Chem 53:3091–3092

    CAS  Google Scholar 

  11. Misra LN, Husain A (1987) The essential oil of Perilla ocimoides: a rich source of rosefuran. Planta Med 53:379–380

    PubMed  Article  CAS  Google Scholar 

  12. Ito M (1999) Phylogenetic relationship between Japanese Perilla species and their chemotaxonomical studies. PhD thesis, Kyoto University

Download references

Acknowledgment

This work was supported by a Grant-in-Aid for Scientific Research (No. 17406003) provided by the Japan Society for the Promotion of Sciences.

Author information

Affiliations

Authors

Corresponding author

Correspondence to Michiho Ito.

Rights and permissions

Reprints and Permissions

About this article

Cite this article

Ito, M., Honda, G. & Sydara, K. Perilla frutescens var. frutescens in northern Laos. J Nat Med 62, 251–258 (2008). https://doi.org/10.1007/s11418-007-0213-0

Download citation

  • Received:

  • Accepted:

  • Published:

  • Issue Date:

  • DOI: https://doi.org/10.1007/s11418-007-0213-0

Keywords

  • Perilla frutescens var. frutescens
  • Fieldwork
  • Northern Laos
  • Essential oil
  • Mericarps