Abstract
Purpose
The aim of this study was to evaluate the removal of total petroleum hydrocarbons (TPH), alkanes and polycyclic aromatic hydrocarbons (PAH).
Materials and methods
Using phytoremediation (Panicum maximum) (G), vermiremediation (Pontoscolex corethrurus) (E), and bioaugmentation (encapsulated bacterial consortium) (B), individually and in combination, in contaminated soil by oil (PS) with sterilized (St) and non-sterilized treatments. Grass and earthworm biomass and the number of cocoons were determined after 112 days.
Results and discussion
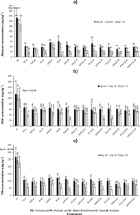
The biomass of the P. maximum increased significantly from 1.7 to 2.6-folds overtime when it was cultivated in contaminated soil, either alone, in combination with earthworms, or with the bacterial consortium. After 112 days, the earthworm biomass significantly increased 2.0–2.6-folds with the highest increase in combination with the bacterial (PS+E+B), and its population increased from 4.9 to 8.5 times. P. corethrurus was not affected by the contamination so that deposition and hatch of cocoons (12–20) were observed. In sterilized treatments, no earthworms were detected after 112 days, which indicated that soil microorganisms are necessary for the earthworm’s survival and colonization. Most alkane and PAH removal occurred within 28 days; at 112 days, the alkane was 78.5–94.5% and the PAH 54.5–77.2% in non-sterilized soil. Panicum maximum treatment (SP+G) removed 74–99% of alkanes from C10 to C38 and also removed PAHs in 43–50% (2–3 rings), 46–90% (4 rings), 73% (5 rings), and 59% (6 rings) after 112 days. The combination of the grass with P. corethrurus and the bacterial increased the PAHs removal of 2 and 3 rings (54–62%), 4 rings (56–92%), 5 rings (80%), and 6 rings (70%) after 112 days. In non-sterilized treatments, the highest TPH removal was with earthworms plus bacterial (E+B) (86.4%), followed by E+G+B (82.7%) and B (82.6%).
Conclusions
The use of endogeic earthworms and plants species from the same contaminated field can be an efficient alternative for increasing hydrocarbon removal.




Similar content being viewed by others
Explore related subjects
Discover the latest articles and news from researchers in related subjects, suggested using machine learning.References
Adams GO, Fufeyin PT, Okoro SE, Ehinomen I (2015) Bioremediation, biostimulation, and bioaugmention: a review. Int J Environ Bioremediation Biodegrad 3:28–39
Aguilera C (1980) Algunos datos sobre el chapopote en las fuentes documentales del siglo. Estud Cult Náhuatl Mex 4:335–343
Ben Salem F, Ben Said O, Duran R, Monperrus M (2016) Validation of an adapted QuEChERS method for the simultaneous analysis of polycyclic aromatic hydrocarbons, polychlorinated biphenyls and organochlorine pesticides in sediment by gas chromatography–mass spectrometry. Bull Environ Contam Toxicol 96:678–684
Berns AE, Philipp H, Narres H-D et al (2008) Effect of gamma-sterilization and autoclaving on soil organic matter structure as studied by solid state NMR, UV and fluorescence spectroscopy. Eur J Soil Sci 59:540–550
Buch AC, Brown GG, Niva CC et al (2011) Life cycle of Pontoscolex corethrurus (Müller, 1857) in tropical artificial soil. Pedobiologia (Jena) 54:S19–S25
CCME (2008) Canadian soil quality guidelines carcinogenic and other polycyclic aromatic hydrocarbons (PAHs) - scientific supporting document. Canadian Council of Ministers of the Environment
Cébron A, Faure P, Lorgeoux C et al (2013) Experimental increase in availability of a PAH complex organic contamination from an aged contaminated soil: consequences on biodegradation. Environ Pollut 177:98–105
Chachina SB, Voronkova NA, Baklanova ON (2015) Biological remediation of the engine lubricant oil-contaminated soil with three kinds of earthworms, Eisenia fetida, Eisenia andrei Dendrobena veneta, and a mixture of microorganisms. In: Procedia Engineering. pp 113–123
Chaudhuri PS, Pal TK, Nath S, Dey SK (2012) Effects of five earthworm species on some physicochemical properties of soil. J Environ Biol 33:713–716
Chen F, Tan M, Ma J et al (2016) Efficient remediation of PAH-metal co-contaminated soil using microbial-plant combination: a greenhouse study. J Hazard Mater 302:250–261
Cofield N, Banks MK, Schwab AP (2008) Liability of polycyclic aromatic hydrocarbons in the rhizosphere. Chemosphere 70:1644–1652
Couto MNPFS, Monteiro E, Vasconcelos MTSD (2010) Mesocosm trials of bioremediation of contaminated soil of a petroleum refinery: comparison of natural attenuation, biostimulation and bioaugmentation. Environ Sci Pollut Res 17:1339–1346
Couto MNPFS, Pinto D, Basto MCP, Vasconcelos TSD (2012) Role of natural attenuation, phytoremediation and hybrid technologies in the remediation of a refinery soil with old/recent petroleum hydrocarbons contamination. Environ Technol 33:2097–2104
Cuevas-Díaz M d C, Vázquez-Luna D, Martínez-Hernández S et al (2017) Sensitivity of the eEndogeic tropical earthworm Pontoscolex corethrurus to the presence of heavy crude oil. Bull Environ Contam Toxicol 99:154–160
Cvetkovic JS, Mitic VD, Stankov Jovanovic VP et al (2016) Optimization of the QuEChERS extraction procedure for the determination of polycyclic aromatic hydrocarbons in soil by gas chromatography-mass spectrometry. Anal Methods 8:1711–1720. https://doi.org/10.1039/C5AY03248B
Dzionek A, Wojcieszyńska D, Guzik U (2016) Natural carriers in bioremediation: a review. Electron J Biotechnol 23:28–36
Eilen AV, Gijsbert B, Terje F (1999) Guidelines for the risk assessment of contaminated sites. Norwegian Pollution Control Authority
Ekperusi OA, Aigbodion FI (2015a) Bioremediation of petroleum hydrocarbons from crude oil-contaminated soil with the earthworm: Hyperiodrilus africanus. 3 Biotech 5:957–965
Ekperusi OA, Aigbodion IF (2015b) Bioremediation of heavy metals and petroleum hydrocarbons in diesel contaminated soil with the earthworm: Eudrilus eugeniae. Springerplus 4:540. https://doi.org/10.1186/s40064-015-1328-5
Gan S, Lau EV, Ng HK (2009) Remediation of soils contaminated with polycyclic aromatic hydrocarbons (PAHs). J Hazard Mater 172:532–549
García-Sánchez M, Košnář Z, Mercl F et al (2018) A comparative study to evaluate natural attenuation, mycoaugmentation, phytoremediation, and microbial-assisted phytoremediation strategies for the bioremediation of an aged PAH-polluted soil. Ecotoxicol Environ Saf 147:165–174
García-Segura D, Castillo-Murrieta IM, Martínez-Rabelo F et al (2018) Macrofauna and mesofauna from soil contaminated by oil extraction. Geoderma 332:180–189
Gardi C, Angelini M, S. Barceló et al (2014) Atlas de suelos de América Latina y el Caribe. Comisión Europea. - Oficina de Publicaciones de la Unión Europea, L-2995, Luxembourg
Gkorezis P, Daghio M, Franzetti A et al (2016) The interaction between plants and bacteria in the remediation of petroleum hydrocarbons: an environmental perspective. Front Microbiol 7:1836
Guarino C, Spada V, Sciarrillo R (2017) Assessment of three approaches of bioremediation (natural attenuation, landfarming and bioagumentation – assistited landfarming) for a petroleum hydrocarbons contaminated soil. Chemosphere 170:10–16
Hernández-Castellanos B, Zavala-Cruz J, Martínez-Hernández S et al (2013) Earthworm populations in an aged hydrocarbon contaminated soil. Res J Environ Sci 7:27–37
INEGI (2017) Guía para la Interpretación de Cartografía Edafología. http://www.inegi.org.mx. Accessed 20 Jul 2010
Kelsey JW, Slizovskiy IB, Peters RD, Melnick AM (2010) Sterilization affects soil organic matter chemistry and bioaccumulation of spiked p,p′-DDE and anthracene by earthworms. Environ Pollut 158:2251–2257
Khorshid M, Souaya ER, Hamzawy AH, Mohammed MN (2015) QuEChERS method followed by solid phase extraction method for gas chromatographic-mass spectrometric determination of polycyclic aromatic hydrocarbons in fish. Int J Anal Chem 2015:352610
Kumar A (2005) Vermis & Vermitechnology. S.B. Nangia & A. P. H. Publishing Corporation, New Delhi
Kuppusamy S, Thavamani P, Venkateswarlu K et al (2017) Remediation approaches for polycyclic aromatic hydrocarbons (PAHs) contaminated soils: technological constraints, emerging trends and future directions. Chemosphere 168:944–968
Larsen T, Pollierer MM, Holmstrup M et al (2016) Substantial nutritional contribution of bacterial amino acids to earthworms and enchytraeids: a case study from organic grasslands. Soil Biol Biochem 99:21–27
Lavelle P, Barois I, Cruz I et al (1987) Adaptive strategies of Pontoscolex corethrurus (Glossoscolecidae, Oligochaeta), a peregrine geophagous earthworm of the humid tropics. Biol Fertil Soils 5:188–194
Lavelle P, Spain A, Blouin M et al (2016) Ecosystem engineers in a self-organized soil: a review of concepts and future research questions. Soil Sci 181:91–109
Lee S-H, Lee W-S, Lee C-H, Kim J-G (2008) Degradation of phenanthrene and pyrene in rhizosphere of grasses and legumes. J Hazard Mater 153:892–898
Lopes LD, Pereira E Silva M d C, Andreote FD (2016) Bacterial abilities and adaptation toward the rhizosphere colonization. Front Microbiol 7:1341
Martinkosky L, Barkley J, Sabadell G et al (2016) Earthworms (Eisenia fetida) demonstrate potential for use in soil bioremediation by increasing the degradation rates of heavy crude oil hydrocarbons. Sci Total Environ 580:734–743
Moreno B, Cañizares R, Macci C et al (2015) Molecular tools to understand the bioremediation effect of plants and earthworms on contaminated marine sediments. J Hazard Mater 300:398–405
NOM-021-RECNAT (2000) Que establece las especificaciones de fertilidad, salinidad y clasificación de suelos. Estudios, muestreo y análisis. Secr. Medio Ambient. y Recur. Nat. 021
NOM-138-SEMARNAT/SSA1-2012 (2012) Límites máximos permisibles de hidrocarburos en suelos y lineamientos para el muestreo en la caracterización y especificaciones para la remediación. D Of la Fed 16
OPEC (2017) Online annual statistical bulletin. Organ Pet Export Ctries. ISSN 0475-0608
Ortegon GP, Arboleda FM, Candela L et al (2016) Vinasse application to sugar cane fields. Effect on the unsaturated zone and groundwater at Valle del Cauca (Colombia). Sci Total Environ 539:410–419
Pižl V, Nováková A (2003) Interactions between microfungi and Eisenia andrei (Oligochaeta) during cattle manure vermicomposting: the 7th International Symposium on Earthworm Ecology. Pedobiologia (Jena) 47:895–899
Potashev K, Sharonova N, Breus I (2014) The use of cluster analysis for plant grouping by their tolerance to soil contamination with hydrocarbons at the germination stage. Sci Total Environ 485–486:71–82
Ramadass K, Palanisami T, Smith E et al (2016) Earthworm comet assay for assessing the risk of weathered petroleum hydrocarbon contaminated soils: need to look further than target contaminants. Arch Environ Contam Toxicol 71:561–571
Reinecke AJ, Van Wyk M, Reinecke SA, (2016) The Influence of Soil Characteristics on the Toxicity of Oil Refinery Waste for the Springtail Folsomia candida (Collembola). Environ Contam Tox 96:804–809
Rinaudi LV, Giordano W (2010) An integrated view of biofilm formation in rhizobia. FEMS Microbiol Lett 304:1–11
Rodriguez-Campos J, Dendooven L, Alvarez-Bernal D, Contreras-Ramos SM (2014) Potential of earthworms to accelerate removal of organic contaminants from soil: a review. Appl Soil Ecol 79:10–25
Rorat A, Wloka D, Grobelak A et al (2017) Vermiremediation of polycyclic aromatic hydrocarbons and heavy metals in sewage sludge composting process. J Environ Manag 187:347–353
Rubio-Clemente A, Torres-Palma RA, Peñuela GA (2014) Removal of polycyclic aromatic hydrocarbons in aqueous environment by chemical treatments: a review. Sci Total Environ 478:201–225
Sakkos JK, Kieffer DP, Mutlu BR et al (2016) Engineering of a silica encapsulation platform for hydrocarbon degradation using Pseudomonas sp. NCIB 9816-4. Biotechnol Bioeng 113:513–521
Šmídová K, Kim S, Hofman J (2017) Bioavailability of five hydrophobic organic compounds to earthworms from sterile and non-sterile artificial soils. Chemosphere 179:222–231
Sparks DL, Page AL, Helmke PA, Loeppert RH (1996) Chemical methods part 3. Soil Science Society of America, Madison
Sundara-Rao WVB, Sinha MK (1963) Phosphate dissolving microorganisms in the soil and rhizosphere. Indian J Agric Sci 33:272–278
Taheri S, Pelosi C, Dupont L (2018) Harmful or useful? A case study of the exotic peregrine earthworm morphospecies Pontoscolex corethrurus. Soil Biol Biochem 116:277–289
Tyagi M, da Fonseca MMR, de Carvalho CCCR (2011) Bioaugmentation and biostimulation strategies to improve the effectiveness of bioremediation processes. Biodegradation 22:231–241
Urban M, Lesueur C (2017) Comparing d-SPE sorbents of the QuEChERS extraction method and EMR-lipid for the determination of polycyclic aromatic hydrocarbons (PAH4) in food of animal and plant origin. Food Anal Methods 10:2111–2124
USEPA (1986) Test method for evaluating solid waste, SW-846, third. U.S. EPA, Washington, DC
Vallejo AA, Fernández MS (2008) FRET between non-substrate probes detects lateral lipid domain formation during phospholipase A2 interfacial catalysis. Arch Biochem Biophys 480:1–10
Varjani SJ (2017) Microbial degradation of petroleum hydrocarbons. Bioresour Technol 223:277–286
Wolf DC, Skipper H (1996) Methods of soil analysis. Microbiological and biochemical properties. Part 2. Soil Science Society of America, Wisconsin, pp 1085–1122
Wu M, Dick WA, Li W et al (2016) Bioaugmentation and biostimulation of hydrocarbon degradation and the microbial community in a petroleum-contaminated soil. Int Biodeterior Biodegrad 107:158–164
Wu M, Li W, Dick WA et al (2017) Bioremediation of hydrocarbon degradation in a petroleum-contaminated soil and microbial population and activity determination. Chemosphere 169:124–130. https://doi.org/10.1016/j.chemosphere.2016.11.059
Yan Y, Kuramae EE, de Hollander M et al (2017) Functional traits dominate the diversity-related selection of bacterial communities in the rhizosphere. ISME J 11:56–66
Yavari S, Malakahmad A, Sapari NB (2015) A review on phytoremediation of crude oil spills. Water Air Soil Pollut 226:279
Zirbes L, Thonart P, Haubruge E (2012) Microscale interactions between earthworms and microorganisms: a review. Biotechnol Agron Soc Environ 16:125–131
Acknowledgments
Authors thank Teresa Mejía-Saulés and Miguel Jesús Cházaro-Basáñez for the grass taxonomic identification.
Funding
This research had financial support from “Consejo Nacional de Ciencia y Tecnología” (CONACYT) Mexico through project 247619. The author F. Martínez-Rabelo received a grant from CONACYT (611559) to complete this research.
Author information
Authors and Affiliations
Corresponding authors
Ethics declarations
Conflict of Interest
The authors declare that they have no conflict of interest.
Additional information
Responsible editor: Claudio Bini
Publisher’s note
Springer Nature remains neutral with regard to jurisdictional claims in published maps and institutional affiliations.
Rights and permissions
About this article
Cite this article
Rodriguez-Campos, J., Perales-Garcia, A., Hernandez-Carballo, J. et al. Bioremediation of soil contaminated by hydrocarbons with the combination of three technologies: bioaugmentation, phytoremediation, and vermiremediation. J Soils Sediments 19, 1981–1994 (2019). https://doi.org/10.1007/s11368-018-2213-y
Received:
Accepted:
Published:
Issue Date:
DOI: https://doi.org/10.1007/s11368-018-2213-y


