Abstract
Purpose
Restoration of saline soil in coastal areas requires detailed understanding of spatial and temporal soil salt distribution and how the distribution is affected by different environmental factors (e.g., precipitation and evaporation), particularly under the influence of salt water intrusion. Because of the high accuracy of chloride measurement, and chloride as a common ion in soil salt, we used soil chloride as a proxy of soil salt in a coastal area of southeastern China.
Materials and methods
The study sites, without confounding influences from human activities and vegetation cover, provide a unique opportunity to estimate the influence of the ocean and climatic factors on soil chloride. Our study represents for the first time the use of daily measured precipitation and evaporation data to quantify these two climatic factors on soil chloride content. Our study includes three sites S1, S2, and S3 which have different distances to the ocean that can indicate the sea intrusion effect. Soil chloride was measured at six soil depths and three times a month from January 2013 to December 2014. We used a general linear model to describe the soil chloride content as a function of distance from the coast, precipitation, evaporation, and soil layer, and the interactions of these factors.
Results and discussion
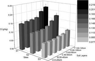
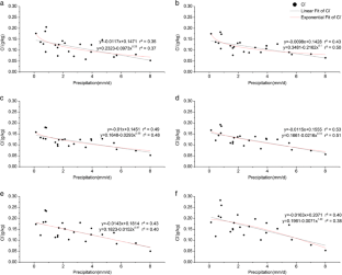
We detected significant main factors including distance to ocean, soil layer, precipitation, and evaporation. The closer site to the ocean and deeper soil layer have a higher chloride content. Precipitation has a strong negative effect, particularly in spring and summer, on the soil chloride content, because of its dilution effect. Evaporation has limited effect on the soil chloride content, because its uptaking effect may be offset by precipitation.
Conclusions
The sea intrusion influence can result in degraded soil quality, and this influence may be complicated by the combined effect of precipitation and evaporation. We found that soil chloride in a coastal ecosystem may be highly affected by the salt water intrusion according to the site and layer effects in the results. Chloride is highly mobile and soluble which makes soil chloride highly sensitive to the change of sea intrusion, precipitation, and evaporation.








Similar content being viewed by others
References
Alcalá FJ, Custodio E (2008) Atmospheric chloride deposition in continental Spain. Hydrol Process 22(18):3636–3650
Bresciani E, Ordens CM, Werner AD, Batelaan O, Guan H, Post V (2014) Spatial variability of chloride deposition in a vegetated coastal area: implications for groundwater recharge estimation. J Hydrol 519:1177–1191
Brock WA (2009) Early-warning signals for critical transitions. Nature 461(7260):53–59
Dang Y, Routley R, McDonald M, Dalal R, Singh D, Orange D, Mann M (2006) Subsoil constraints in Vertosols: crop water use, nutrient concentration, and grain yields of bread wheat, durum wheat, barley, chickpea, and canola. Crop Pasture Sci 57(9):983–998
Dang Y et al (2008) High subsoil chloride concentrations reduce soil water extraction and crop yield on Vertosols in north-eastern Australia. Crop Pasture Sci 59(4):321–330
Eriksson E, Khunakasem V (1969) Chloride concentration in groundwater, recharge rate and rate of deposition of chloride in the Israel Coastal Plain. J Hydrol 7(2):178–197
Ewe SML, Sternberg LDSL (2007) Water uptake patterns of an invasive exotic plant in coastal saline habitats. J Coast Res 23(1):255–264
Fayrap A, Koç C (2012) Comparison of drainage water quality and soil salinity in irrigated areas with surface and subsurface drainage systems. Agric Res 1(3):280–284
Field A (2009) Discovering statistics using SPSS. Sage publications, Los Angeles
Greaver TL, Sternberg LS (2010) Decreased precipitation exacerbates the effects of sea level on coastal dune ecosystems in open ocean islands. Glob Chang Biol 16(6):1860–1869
Guan H, Love AJ, Simmons CT, Kayaalp AS (2009) Factors influencing chloride deposition in a coastal hilly area and application to chloride deposition mapping. Hydrol Earth Syst Sci Discuss 6(5):5851–5880
Gustafsson ME, Larsson EH (2000) Spatial and temporal patterns of chloride deposition in Southern Sweden. Water Air Soil Pollut 124(3–4):345–369
Hay CC, Morrow E, Kopp RE, Mitrovica JX (2015) Probabilistic reanalysis of twentieth-century sea-level rise. Nature 517(7535):481–484
Hewitt EJ, Smith TA (1974) Plant mineral nutrition. English Universities Press Ltd., London
Huang YY, Jiang ZP, Liu B, Chen GF (2008) Effects of long-term application of chloride-bearing fertilizers on sugarcane and accumulated chlorine in soils. Guangxi Agric Sci 39(2):182–186
Johansson E, Ebenå G, Sandén P, Svensson T, Öberg G (2001) Organic and inorganic chlorine in Swedish spruce forest soil: influence of nitrogen. Geoderma 101(3):1–13
Johansson E, Sandén P, Öberg G (2003) Spatial patterns of organic chlorine and chloride in Swedish forest soil. Chemosphere 52(2):391–397
Junge CE, Gustafson P (1957) On the distribution of sea salt over the United States and its removal by precipitation. Tellus 9(2):164–173
Kapinus E, Revelsky I, Ulogov V, Lyalikov YA (2004) Simultaneous determination of fluoride, chloride, nitrite, bromide, nitrate, phosphate and sulfate in aqueous solutions at 10− 9 to 10− 8% level by ion chromatography. J Chromatogr B 800(1):321–323
Meng Q, Yang J, Yao R, Liu G (2013) Soil quality in east coastal region of China as related to different land use types. J Soils Sediments 13(4):664–676
Millero FJ, Feistel R, Wright DG, Mcdougall TJ (2008) The composition of standard seawater and the definition of the reference-composition salinity scale. Deep-Sea Res 55(1):50–72
Neter J, Kutner MH, Nachtsheim CJ, Wasserman W (1996) Applied linear statistical models, vol 4. McGraw-Hill/Irwin, Chicago
Nicholls RJ, Cazenave A (2010) Sea-level rise and its impact on coastal zones. Science 328(5985):1517–1520
Öberg G (1998) Chloride and organic chlorine in soil. Acta Hydrochim Hydrobiol 26(3):137–144
Ott RL, Longnecker MT (2008) An introduction to statistical methods and data analysis. Cengage Learning, New York
Pan F, Ma J, Zhou X, Edmunds WM, Gates GB (2013) Geostatistical characterization of soil moisture and chloride distribution in deep vadose profiles of the Badain Jaran Desert, Northwestern China. Environ Earth Sci 70(3):977–991
Richards LA (1954) Diagnosis and improvement of saline and alkali soils. AIBS Bull 120(3):290
Ritzema HP, Satyanarayana TV, Raman S, Boonstra J (2008) Subsurface drainage to combat waterlogging and salinity in irrigated lands in India: lessons learned in farmers’ fields. Agric Water Manag 95(3):179–189
Sall J, Lehman A, Stephens ML, Creighton L (2012) JMP start statistics: a guide to statistics and data analysis using JMP. SAS Institute, North Carolina
Sharma ML, Hughes MW (1985) Groundwater recharge estimation using chloride, deuterium and oxygen-18 profiles in the deep coastal sands of Western Australia. J Hydrol 81(1):93–109
Staudhammer CL, Jokela EJ, Martin TA (2009) Competition dynamics in pure- versus mixed-family stands of loblolly and slash pine in the southeastern United States. Can J For Res 39(2):396–409
Stumm W, Morgan JJ (2012) Aquatic chemistry: chemical equilibria and rates in natural waters, vol 126. Wiley, Hoboken
Taylor RG et al (2013) Ground water and climate change. Nat Clim Chang 3(4):322–329
Tisdale SL, Nelson WL, Beaton JD (1985) Soil fertility and fertilizers. Collier Macmillan Publishers, New York
Ulrich B (1983) Interaction of forest canopies with atmospheric constituents: so 2, alkali and earth alkali cations and chloride. In. Springer Netherlands, Berlin, pp 33–45
Wang J, Li R, Guo Y, Qin P, Sun S (2006) The flux of methyl chloride along an elevational gradient of a coastal salt marsh, eastern China. Atmos Environ 40(34):6592–6605
Wang S, Song X, Wang Q, Xiao G, Wang Z, Liu X, Wang P (2012) Shallow groundwater dynamics and origin of salinity at two sites in salinated and water-deficient region of North China Plain, China. Environ Earth Sci 66(3):729–739
Werner AD et al (2013) Seawater intrusion processes, investigation and management: recent advances and future challenges. Adv Water Resour 51(1):3–26
White PJ, Broadley MR (2001) Chloride in soils and its uptake and movement within the plant: a review. Ann Bot-London 88(6):967–988
Yan S-F, Yu S-E, Wu Y-B, Pan D-F, She D-L, Ji J (2015) Seasonal variations in groundwater level and salinity in coastal plain of eastern China influenced by climate. J Chem 2015:1–8
Yao R, Yang J, Gao P, Zhang J, Jin W (2013) Determining minimum data set for soil quality assessment of typical salt-affected farmland in the coastal reclamation area. Soil Tillage Res 128:137–148
Yazdanpanah N, Pazira E, Neshat A, Mahmoodabadi M, Sinobas LR (2013) Reclamation of calcareous saline sodic soil with different amendments (II): impact on nitrogen, phosphorous and potassium redistribution and on microbial respiration. Agric Water Manag 120(1):39–45
Yu J et al (2014) The spatial distribution characteristics of soil salinity in coastal zone of the Yellow River Delta. Environ Earth Sci 72(2):589–599
Zhai L, Jokela EJ, Gezan SA, Vogel JG (2015) Family, environment and silviculture effects in pure- and mixed-family stands of loblolly ( Pinus taeda L.) and slash ( P. elliottii Engelm. var. elliotttii ) pine. For Ecol Manag 337:28–40
Zhai L, Jiang J, DeAngelis D, Sternberg LSL (2016) Prediction of plant vulnerability to salinity increase in a coastal ecosystem by stable isotope composition (δ18O) of plant stem water: a model study. Ecosystems 19(1):32–49
Zhang T, Wang T, Liu KS, Wang L, Wang K, Zhou Y (2015) Effects of different amendments for the reclamation of coastal saline soil on soil nutrient dynamics and electrical conductivity responses. Agric Water Manag 159(s 1–3):115–122
Acknowledgements
This work was supported by a Key Program granted by the National Natural Science Foundation of China (no. 51479063). We thank Jiangsu Province Hydrology and Water Resources Investigation Bureau for providing climate data.
Author information
Authors and Affiliations
Corresponding author
Additional information
Responsible editor: Renduo Zhang
Rights and permissions
About this article
Cite this article
Yan, S., Zhai, L., Deng, Q. et al. Spatial-temporal dynamics of soil chloride distribution in a coastal saline plain: implication for ocean and climate influences. J Soils Sediments 18, 586–598 (2018). https://doi.org/10.1007/s11368-017-1764-7
Received:
Accepted:
Published:
Issue Date:
DOI: https://doi.org/10.1007/s11368-017-1764-7


