Abstract
Purpose
Knowledge of the temporal stability of soil water storage (SWS) at landscape scale is scarce. The recognition of landscape-scale temporal evolution of soil water profiles is critical for soil water management and vegetational restoration in semiarid watersheds.
Materials and methods
Soil moisture was measured with neutron probes to a depth of 3.0 m on 18 sampling dates at 135 locations along a landscape transect from August 2012 to October 2013. Temporal stability of SWS at a landscape scale and a point scale was examined using Spearman’s rank correlation analysis and indices of standard deviation of relative difference and mean absolute bias error, respectively.
Results and discussion
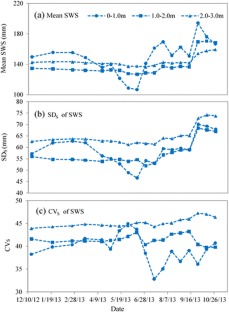
The mean spatial SWS in the shallow soil layer (0–1.0 m) was relatively more variable temporally than in the deeper soil layers (1.0–3.0 m), and the mean SWS in the deep soil layer (2.0–3.0 m) was more variable spatially. The mean Spearman’s rank correlation coefficient increased with increasing soil depth and decreased with increasing time lags between measurements for the deeper soil layers (1.0–3.0 m). The number of temporally stable locations and the accuracy of prediction for predicting the mean SWS increased with increasing soil depth. The temporal stability of the SWS patterns was controlled by soil texture, organic carbon content, bulk density, and saturated soil hydraulic conductivity. Aboveground biomass and site elevation (except for the 2.0–3.0-m layer), however, affected the temporal persistence of SWS relatively weakly.
Conclusions
This study provides useful information for estimating mean SWS at the landscape scale and may improve the management of soil water on the semiarid Loess Plateau of China.






Similar content being viewed by others
Explore related subjects
Discover the latest articles and news from researchers in related subjects, suggested using machine learning.References
Biswas A, Si BC (2011a) Depth persistence of the spatial pattern of soil water storage in a hummocky landscape. Soil Sci Soc Am J 75:1099–1109
Biswas A, Si BC (2011b) Identifying scale specific controls of soil water storage in a hummocky landscape using wavelet coherency. Geoderma 165:50–59
Brocca L, Melone F, Moramarco T, Morbidelli R (2009) Soil moisture temporal stability over experimental areas in Central Italy. Geoderma 148:364–374
Brocca L, Tullo T, Melone F, Moramarco T, Morbdelli R (2012) Catchment scale soil moisture spatial–temporal variability. J Hydrol 422:63–75
Cantón Y, Solé-Benet A, Domingo F (2004) Temporal and spatial patterns of soil moisture in semiarid badlands of SE Spain. J Hydrol 285:199–214
Cheng XR, Huang MB, Si BC, Yu MK, Shao MA (2013) The differences of water balance components of Caragana korshinkii grown in homogeneous and layered soils in the desert-Loess Plateau transition zone. J Arid Environ 98:10–19
Choi M, Jacobs JM (2007) Soil moisture variability of root zone profiles within SMEX02 remote sensing footprints. Adv Water Resour 30:883–896
Cosh MH, Jackson TJ, Moran S, Bindlish R (2008) Temporal persistence and stability of surface soil moisture in a semi-arid watershed. Remote Sens Environ 112:304–313
da Silva AP, Nadler A, Kay BD (2001) Factors contributing to temporal stability in spatial patterns of water content in the tillage zone. Soil Tillage Res 58:207–218
Dumedah G, Coulibaly P (2011) Evaluation of statistical methods for infilling missing values in high-resolution soil moisture data. J Hydrol 400:95–102
Famiglietti JS, Rudnicki JW, Rodell M (1998) Variability in surface moisture content along a hillslope transect: rattlesnake hill, Texas. J Hydrol 210:259–281
Feddes RA, Kowalik PJ, Zaradny H (1978) Simulation of field water use and crop yield. Halsted, New York
Gao L, Shao MA (2012a) Temporal stability of shallow soil water content for three adjacent transects on a hillslope. Agric Water Manag 110:41–54
Gao L, Shao MA (2012b) Temporal stability of soil water storage in diverse soil layers. Catena 95:24–32
Gao XD, Wu PT, Zhao XN, Shi YG, Wang JW (2011) Estimating spatial mean soil water contents of sloping jujube orchards using temporal stability. Agric Water Manag 102:66–73
Gómez-Plaza A, Alvarez-Rogel J, Albaladejo J, Castillo VM (2000) Spatial patterns and temporal stability of soil moisture across a range of scales in a semi-arid environment. Hydrol Process 14:1261–1277
Gómez-Plaza A, Martínez-Mena M, Albaladejo J, Castillo VM (2001) Factors regulating spatial distribution of soil water content in small semiarid catchments. J Hydrol 253:211–226
Grayson RB, Blöschl G, Western AW, McMahon TA (2002) Advances in the use of observed spatial patterns of catchment hydrological response. Adv Water Resour 25:1313–1334
Grayson RB, Western AW (1998) Towards areal estimation of soil water content from point measurements: time and space stability of mean response. J Hydrol 207:68–82
Guber AK, Gish TJ, Pachepsky YA, van Genuchten MT, Daughtry CST, Nicholson TJ, Cady RE (2008) Temporal stability in soil water content patterns across agricultural fields. Catena 73:125–133
Heathman GC, Cosh MH, Merwade V, Han E (2012) Multi-scale temporal stability analysis of surface and subsurface soil moisture within the Upper Cedar Creek Watershed, Indiana. Catena 95:91–103
Heathman GC, Larose M, Cosh MH, Bindlish R (2009) Surface and profile soil moisture spatio-temporal analysis during an excessive rainfall period in the Southern Great Plains, USA. Catena 78:159–169
Hu W, Biswas A, Si BC (2014) Application of multivariate empirical mode decomposition for revealing scale-and season-specific time stability of soil water storage. Catena 113:377–385
Hu W, Shao MA, Reichardt K (2010a) Using a new criterion to identify sites for mean soil water storage evaluation. Soil Sci Soc Am J 74:762–773
Hu W, Shao MA, Wang QJ, Reichardt K, Tan J (2010b) Watershed scale temporal stability of soil water content. Geoderma 158:181–198
Hu W, Si BC (2014) Can measurements of a certain depth be used to upscale soil water content of a soil profile at point or slope scale? J Hydrol 516:67–75
Hu W, Tallon LK, Si BC (2012) Evaluation of time stability indices for soil water storage upscaling. J Hydrol 475:2229–2241
Hupet F, Vanclooster M (2002) Intraseasonal dynamics of soil moisture variability within a small agricultural maize cropped field. J Hydrol 261:86–101
Jacobs JM, Mohanty BP, Hsu EC, Miller D (2004) SME02: field scale variability, time stability and similarity of soil moisture. Remote Sens Environ 92:436–446
Jia XX, Shao MA, Wei XR, Horton R, Li XZ (2011) Estimating total not primary productivity of managed grasslands by a state-space modeling approach in a small catchment on the Loess Plateau, China. Geoderma 160:281–291
Jia XX, Shao MA, Wei XR, Wang YQ (2013a) Hillslope scale temporal stability of soil water storage in diverse soil layers. J Hydrol 498:254–264
Jia YH, Shao MA (2013) Temporal stability of soil water storage under four types of revegetation on the northern Loess Plateau of China. Agric Water Manag 117:33–42
Jia YH, Shao MA, Jia XX (2013b) Spatial pattern of soil moisture and its temporal stability within profiles on a loessial slope in northwestern China. J Hydrol 495:150–161
Kachanoski RG, de Jong E (1988) Scale dependence and the temporal stability of spatial patterns of soil water storage. Water Resour Res 24:85–91
Klute A, Dirksen C (1986) Hydraulic conductivity of saturated soils. In: Klute A (ed) Methods of Soil Analysis. ASA and SSSA, Madison, pp 694–700
Lin H (2006) Temporal stability of soil moisture spatial pattern and subsurface preferential flow pathways in the shale hills catchment. Vadose Zone J 5:317–340
Martínez-Fernández J, Ceballos A (2003) Temporal stability of soil moisture in a large-field experiment in Spain. Soil Sci Soc Am J 67:1647–1656
Maule CP, Chanasyk DS, Muehlenbachs K (1994) Isotopic determination of snow-water contribution to snow water and groundwater. J Hydrol 155:73–91
Mohanty BP, Skaggs TH (2001) Spatio-temporal evolution and time-stable characteristics of soil moisture within remote sensing footprints with varying soil, slope, and vegetation. Adv Water Resour 24:1051–1067
Morris M (2006) Soil moisture monitoring: low cost tools and methods. Publication number IP277. Available online at http://attra.ncat.org/attra-pub/soil_moisture.html (verified 13 Apr. 2011). ATTRA-National Sustainable Agriculture Information Service, Butte, MT
Nelson DW, Sommers LE (1982) Total carbon, organic carbon and organic matter. In: Page AL, Miller RH, Keeney DR (eds) Methods of Soil Analysis. Part 2. Agronomy Monograph, second ed. ASA and SSSA, Madison, pp 534–580
Pachepsky YA, Guber A, Jacques D (2005) Temporal persistence in vertical distribution of soil moisture contents. Soil Sci Soc Am J 69:347–352
Penna D, Brocca L, Borga M, Dalla Fontana G (2013) Soil moisture temporal stability at different depths on two alpine hillslopes during wet and dry periods. J Hydrol 477:55–71
Schneider K, Huisman JA, Breuer L, Zhao Y, Frede HG (2008) Temporal stability of soil moisture in various semi-arid steppe ecosystems and its application in remote sensing. J Hydrol 359:16–29
She DL, Liu DD, Liu YY, Liu Y, Xu CL, Qu X, Chen F (2014) Profile characteristics of temporal stability of soil water storage in two land uses. Arab J Geosci 7:21–34
Starks PJ, Heathman GC, Jackson TJ, Cosh MH (2006) Temporal stability of soil moisture profile. J Hydrol 324:400–411
Vachaud G, Passerat de Silans A, Balabanis P, Vauclin M (1985) Temporal stability of spatially measured soil water probability density function. Soil Sci Soc Am J 49:822–828
Vanderlinden K, Vereecken H, Hardelauf H, Herbst M, Martínez G, Cosh MH, Pachepsky YA (2012) Temporal stability of soil water contents: a review of data and analyses. Vadose Zone J 11(4):1–19
Vivoni ER, Gebremichael M, Watts CJ, Bindlish R, Jackson TJ (2008) Comparison of ground-based and remotely-sensed surface soil moisture estimates over complex terrain during SMEX04. Remote Sens Environ 112:314–325
Wang XP, Pan YX, Zhang YF, Dou DQ, Hu R, Zhang H (2013) Temporal stability analysis of surface and subsurface soil moisture for a transect in artificial revegetation desert area, China. J Hydrol 507:100–109
Zhang PP, Shao MA (2013) Temporal stability of surface soil moisture in a desert area of northwestern China. J Hydrol 505:91–101
Zhao Y, Peth S, Wang XY, Lin H, Horn R (2010) Controls of surface soil moisture spatial patterns and their temporal stability in a semi-arid steppe. Hydrol Process 24:2507–2519
Zhou X, Lin H, Zhu Q (2007) Temporal stability of soil moisture spatial variability at two scales and its implication for optimal field monitoring. Hydrol Earth Syst Sci Discuss 4:1185–1214
Acknowledgments
This study was financially supported by the National Natural Science Foundation of China (No. 51179180 and 41390463). Dr. Zhao CL is acknowledged for his zealous help in the field data collection.
Author information
Authors and Affiliations
Corresponding author
Additional information
Responsible editor: Fanghua Hao
Rights and permissions
About this article
Cite this article
Li, X., Shao, M., Jia, X. et al. Landscape-scale temporal stability of soil water storage within profiles on the semiarid Loess Plateau of China. J Soils Sediments 15, 949–961 (2015). https://doi.org/10.1007/s11368-015-1059-9
Received:
Accepted:
Published:
Issue Date:
DOI: https://doi.org/10.1007/s11368-015-1059-9


