Abstract
Purpose
The relative sensitivity of two freshwater invertebrate organisms to the organophosphorus insecticide fenitrothion was assessed by measuring cholinesterase (ChE) activity, a well-known biomarker of both exposure and effect to organophosphorus pesticides. The influence of different concentrations of humic acids (HAs) and particulate matter on fenitrothion bioavailability was assessed in the more sensitive species.
Materials and methods
The selected invertebrates were the dwelling feeding oligochaete Lumbriculus variegatus and the pulmonate gastropod Biomphalaria glabrata. Acute 48-h bioassays were performed exposing organisms to different fenitrothion concentrations. The concentrations that induced 50 % inhibition of enzyme activity (EC50) were calculated. Fenitrothion bioavailability was investigated using different concentrations of commercial HA or particulate matter. Sand and a diverse selection of chromatographic resins that have been proposed as analogues of natural sediments were selected. For these experiments, animals were exposed to a fenitrothion value similar to the EC50.
Results and discussion
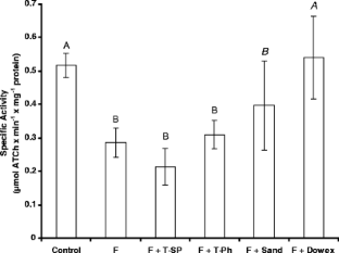
The 48-h EC50 values were 12 ± 2 and 23 ± 3 μg l−1 for L. variegatus and B. glabrata, respectively. Depending on HA concentration and the characteristics of particles, ChE activity was similar or higher than the value recorded for animals exposed only to the pesticide in aqueous solution.
Conclusion
The results indicated that L. variegatus was the more sensitive species of the two. In this species, fenitrothion bioavailability did not increase due to the presence of either different HA concentrations or particulate matter. The experimental approach may constitute a useful tool to predict the influence of dissolved organic matter and sediment particles on fenitrothion bioavailability and toxicity to non-target aquatic invertebrates.



References
Alves Costa JRM, Mela M, Silva de Assis HC, D’Pelletier E, Randi MAF, Oliveira Ribeiro CA (2007) Enzymatic inhibition and morphological changes in Hoplias malabaricus from dietary exposure to lead (II) or methylmercury. Ecotoxicol Environ Saf 67:82–88
APHA-AWWA-WPCF (2005) Standards methods for the examination of water and wastewater, 21th Edition; American Public Health Associations. American Water Works Associations and Water Pollution Control Federation (APHA-AWWA-WPCF), USA
ASTM (2010) Standard test methods for measuring the toxicity of sediment-associated contaminants with fresh water invertebrates (ASTM E1706-00). American Society for Testing and Materials (ASTM), Annual Book of ASTM Standards Volume 11.05, West Conshohocken, PA, USA
Chambers JE, Carr RL (1995) Biochemical mechanisms contributing to species differences in insecticide toxicity. Toxicology 105:291–304
Conrad AU, Comber SD, Simkiss K (2000) New method for the assessment of contaminant uptake in the oligochaete Lumbriculus variegatus. Bull Environ Contam Toxicol 65:16–21
Davies NA, Edwards PA, Lawrence MAM, Simkiss K, Taylor MG (1999) Biocide testing using particles with controlled surface properties (artificial sediments). Environ Toxicol Chem 18:2337–2342
Devi M, Fingerman M (1995) Inhibition of acethylcholinesterase activity in the central nervous system of the red swamp crayfish, Procambarus clarkii, by mercury, cadmium, and lead. Bull Environ Contam Toxicol 55:746–750
Di Rienzo JA, Casanoves F, Balzarini MG, Gonzalez L, Tablada M, Robledo CW (2008) InfoStat, versión 2008, grupo infostat, FCA. Universidad Nacional de Córdoba, Argentina
Eidt DC, Sosiak AJ, Mallet VN (1984) Partitioning and short-term persistence of fenitrothion in New Brunswick (Canada) headwater streams. Arch Environ Contam Toxicol 13:43–52
Ellman GL, Courtney KD, Jr AV, Featherstone RM (1961) A new and rapid colorimetric determination of acetylcholinesterase activity. Biochem Pharmacol 7:88–95
Ferrari A, Venturino A, Pechen de D’Angelo AM (2004) Time course of brain cholinesterase inhibition and recovery following acute and subacute azinphosmethyl, parathion and carbaryl exposure in the goldfish (Carassius auratus). Ecotoxicol Environ Saf 57:420–425
Fried B, Sundar Rao K, Sherma J (1992) Fatty acid composition of Biomphalaria glabrata (Gastropoda: Planorbidae) fed hens egg yolk versus leaf lettuce. Comp Biochem Physiol A 101:351–352
Fulton MH, Key PB (2001) Acetylcholinesterase inhibition in estuarine fish and invertebrates as indicator of organophosphorus insecticide exposure and effects. Environ Toxicol Chem 20:37–45
Giovanelli A, Vieira MV, da Silva CLPAC (2005) Interaction between the intermediate host of Schistosomiasis in Brazil, Biomphalaria Glabrata (Say, 1818) and a possible competitor, Melanoides Tuberculata (Müller, 1774): a field study. J Mollus Stud 71:7–13
Gruber SI, Munn MD (1998) Organophosphate and carbamate insecticides in agricultural waters and cholinesterase (ChE) inhibition in Common carp (Cyprinus carpio). Arch Environ Contam Toxicol 35:391–396
Guilhermino L, Lacerda MN, Nogueira AJA, Soares AMVM (2000) In vitro and in vivo inhibition of Daphnia magna acetylcholinesterase by surfactant agents: possible implications for contamination biomonitoring. Sci Total Environ 247:137–141
Haitzer M, Höss S, Traunspurger W, Steinberg C (1998) Effects of dissolved organic matter (DOM) on the bioconcentration of organic chemicals in aquatic organisms—a review. Chemosphere 37:1335–1362
Koopal LK, van Riemsdijk WH, Kinniburgh DG (2001) Humic matter and contaminants. General aspects and modeling metal ion binding. Pure Appl Chem 73:2005–2016
Kristoff G, Verrengia Guerrero NR, Pechén de D’Angelo AM, Cochón AC (2006) Inhibition of cholinesterase activity by azinphos-methyl in two freshwater invertebrates: Biomphalaria glabrata and Lumbriculus variegatus. Toxicology 222:185–194
Kristoff G, Verrengia Guerrero NR, Cochón AC (2010) Inhibition of cholinesterases and carboxylesterases of two invertebrate species, Biomphalaria glabrata and Lumbriculus variegatus, by the carbamate pesticide carbaryl. Aquat Toxicol 96:115–123
Láng G, Kufcsák O, Szegletes T, Nemcsók J (1997) Quantitive distributions of different cholinesterases and inhibition of acetylcholinesterase by metidathion and paraquat in alimentary canal of common carp. Gen Pharmac 29:55–59
Lowry OH, Rosebrough A, Farr L, Randall RJ (1951) Protein measurement with the folin phenol reagent. J Biol Chem 193:265–275
Martinez-Tabche L, Grajeday Ortega MA, Ramirez Mora B, German Faz C, Lopez Lopez E, Galar Martinez M (2001) Hemoglobin concentration and acetylcholinesterase activity of oligochaetes in relation to lead concentration in spiked sediments from Ignacio Ramirez Reservoir. Ecotoxicol Environ Saf 49:76–83
Mount DR, Highland TL, Mattson VR, Dawson YD, Lott KG, Ingersoll CG (2006) Use of the oligochaete, Lumbriculus variegatus, as a prey organism for toxicant exposure of fish through the diet. Environ Toxicol Chem 25:2760–2767
OECD (2007) Sediment-water Lumbriculus toxicity test using spiked sediment, Guidelines for the testing of chemicals, no. 225. Organization of Economic Cooperation and Development (OECD), Paris, France
Payne JF, Mathieu A, Melvin W, Francey LL (1996) Acetylcholinesterase, an old biomarker with a new future? Field trials in association with two urban rivers and a paper mill in Newfoundland. Mar Pollut Bull 32:225–231
Pointier JP, David P, Jarne P (2005) Biological invasions: the case of planorbid snails. J Helminthol 79:249–256
Rand GM, Wells PG, McCarty LS (1995) Introduction to aquatic toxicology. In: Rand GM (ed) Fundamentals of aquatic toxicology. Francis & Taylor, London, pp 3–67
Sánchez-Hernández JC (2007) Ecotoxicological perspectives of β-esterases in the assessment of pesticide contamination. In: Plattenberg RH (ed) Environmental pollution: new research. Nova Science Publishers, New York, pp 1–45
Sancho E, Ferrando MD, Andreu E (1998) In vivo inhibition of AChE activity in the European eel Anguilla anguilla exposed to technical grade fenitrothion. Comp Biochem Physiol C 120:389–395
Schmidt GH, Ibrahim NHM (1994) Heavy metal content (Hg2+, Cd2+, Pb2+) in various body parts: its impact on cholinesterase activity and binding glycoproteins in the grasshopper Aiolopus thalassimus adults. Ecotoxicol Environ Saf 29:148–164
SEPA (2010) Control of priority and dangerous substances and specific pollutants in the water environment. EP061. Scottish Environmental Protection Agency (SEPA), Stirling
Simkiss K, Edwards PA, Lawrence MAM, Davies NA, Taylor MG (2000) The use of hydrophobic resins as analogues for sediment testing. Environ Sci Technol 34:2388–2392
Simkiss K, Davies NA, Edwards PA, Lawrence MAM, Taylor MG (2001) The use of sediment analogues to study the uptake of pollutants by chironomid larvae. Environ Pollut 115:89–96
Szabó A, Nemcsók J, Asztalos B, Rakonczay Z, Kása P, Huu Hieu L (1992) The effect of pesticides on carp (Cyprinus carpio L.). Acetylcholinesterase and its biochemical characterization. Ecotoxicol Environ Saf 23:39–45
USEPA ( (2000) Methods for measuring the toxicity and bioaccumulation of sediment-associated contaminants with freshwater invertebrates. United States Environmental Protection Agency (USEPA), Washington DC, USA
Verrengia Guerrero NR (2007) Predicting the uptake and bioaccumulation of organic pollutants from natural sediments. In: Plattenberg RH (ed) Environmental pollution: new research. Nova Science Publishers, New York, USA, pp 141–184
Whitehead A, Anderson SL, Ramirez A, Wilson BW (2005) Cholinesterases in aquatic biomonitoring: assay optimization and species-specific characterization for a California native fish. Ecotoxicology 14:597–606
WHO (1991) Fenitrothion: health and safety guide, no. 65. World Health Organization (WHO), Geneva, Switzerland
Acknowledgements
This work was supported by grants from the University of Buenos Aires (UBACyT). We thank Whirpool S.A. and Valot for providing some materials. Dr. N.B. Casabé is member of the Scientific Research Career, Argentine National Council of Scientific and Technical Research (CONICET).
Author information
Authors and Affiliations
Corresponding author
Additional information
Responsible editor: Klara Hilscherova
Rights and permissions
About this article
Cite this article
Cánepa, A., Basack, S.B., Casabé, N.B. et al. Combined effects of technical grade fenitrothion, humic acids and particulate matter on cholinesterase activity in freshwater invertebrates. J Soils Sediments 13, 775–782 (2013). https://doi.org/10.1007/s11368-012-0644-4
Received:
Accepted:
Published:
Issue Date:
DOI: https://doi.org/10.1007/s11368-012-0644-4