Skip to main content

Plasma NT-proBNP as predictor of change in functional status, cardiovascular morbidity and mortality in the oldest old: the Leiden 85-plus study

Abstract

In the aging society, it is important to identify very old persons at high risk of functional decline, cardiovascular disease and mortality. However, traditional risk markers lose their predictive value with age. We investigated whether plasma N-terminal pro-B-type natriuretic peptide (NT-proBNP) levels predict change in functional status, cardiovascular morbidity and mortality in very old age. Here we present an observational prospective cohort study (Leiden 85-plus Study, 1997–2004) in a population-based sample of 560 individuals aged 85 years with a 5-year complete follow-up for functional status, cardiovascular morbidity and cause-specific mortality. Median NT-proBNP for men was 351 pg/ml (cutoff values for low-medium tertiles 201 pg/ml and medium-high tertiles 649 pg/ml) and, for women, 297 pg/ml (cutoffs 204 and 519 pg/ml, respectively). During the 5-year follow-up, participants with high NT-proBNP had an accelerated cognitive decline and increase of activities of daily living (ADL) disability over time (all at p < 0.01) and an increased risk of incident heart failure [hazard ratio (HR) 3.3 (95 % confidence interval (CI) 1.8–6.1)], atrial fibrillation [HR 4.1 (2.0–8.7)], myocardial infarction [HR 2.1 (1.2–3.7)], stroke [HR 3.4 (1.9–6.3)], cardiovascular mortality [HR 5.5 (3.1–10)], non-cardiovascular mortality [HR 2.0 (1.4–3.0)] and all-cause mortality [HR 2.9 (2.1–4.0)], independent of other known risk markers. All results remained similar after exclusion of participants with heart failure at baseline. In very old age, high-NT-proBNP levels predict accelerated cognitive and functional decline, as well as cardiovascular morbidity and mortality. Results suggest that NT-proBNP can help clinicians to identify very old people at high risk of functional impairment and incident cardiovascular morbidity.

This is a preview of subscription content, access via your institution.

Fig. 1
Fig. 2
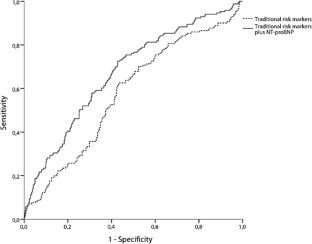
Fig. 3

Abbreviations

ADL:

Activities of daily living

AF:

Atrial fibrillation

AUC:

Area under the curve

BNP:

B-type natriuretic peptide

CI:

Confidence interval

CRP:

C-reactive protein

CVD:

Cardiovascular disease

GDS:

Geriatric Depression Scale

HCY:

Homocysteine

HF:

Heart failure

HR:

Hazard ratio

ICD:

International Classification of Diseases

MDRD:

Estimated GFR (eGFR) using the Modification of Diet in Renal Disease formula

MI:

Myocardial infarction

MMSE:

Mini-Mental State Examination

NRI:

Net reclassification improvement

NT-proBNP:

N-terminal pro-B-type natriuretic peptide

SE:

Standard error

TIA:

Transient ischemic attack

References

  • Alehagen U, Goetze JP, Dahlstrő¦m U (2007) Reference intervals and decision limits for B-type natriuretic peptide (BNP) and its precursor (NT-proBNP) in the elderly. Clinica Chimica Acta 382:8–14

    CAS  Article  Google Scholar 

  • Beleigoli AM, Ribeiro AL, Diniz MdF, Lima-Costa MF, Boersma E (2013a) Comparing the value of BNP in predicting mortality among community-dwelling elderly with and without overweight/obesity: the Bambuï (Brazil) Cohort Study of Aging. Int J Cardiol 168(4):4364-4366

  • Beleigoli AM, Boersma E, Diniz MF, Vidigal PG, Lima-Costa MF, Ribeiro AL (2013b) C-reactive protein and B-type natriuretic peptide yield either a non-significant or a modest incremental value to traditional risk factors in predicting long-term overall mortality in older adults. PLoSOne 8:e75809

    CAS  PubMed Central  PubMed  Article  Google Scholar 

  • Campbell DJ (2008) Can measurement of B-type natriuretic peptide levels improve cardiovascular disease prevention? Clin Exp Pharmacol Physiol 35:442–446

    CAS  PubMed  Article  Google Scholar 

  • Cantril H (1965) The pattern of human concerns. Rutgers University Press, New Brunswick (NJ)

    Google Scholar 

  • Daniels LB, Laughlin GA, Kritz-Silverstein D, Clopton P, Chen WC, Maisel AS, Barrett-Connor E (2011) Elevated natriuretic peptide levels and cognitive function in community-dwelling older adults. AmJ Med 124:670–678

    CAS  PubMed Central  PubMed  Article  Google Scholar 

  • de Craen AJ, Heeren TJ, Gussekloo J (2003) Accuracy of the 15-item geriatric depression scale (GDS-15) in a community sample of the oldest old. Int J Geriatr Psychiatry 18:63–66

    PubMed  Article  Google Scholar 

  • de Ruijter W, Westendorp RG, Assendelft WJ, den Elzen WP, de Craen AJ, le Cessie S, Gussekloo J (2009) Use of Framingham risk score and new biomarkers to predict cardiovascular mortality in older people: population based observational cohort study. BMJ 338:a3083

    PubMed Central  PubMed  Article  Google Scholar 

  • DeFilippi C, van Kimmenade RR, Pinto YM (2008) Amino-terminal pro-B-type natriuretic peptide testing in renal disease. Am J Cardiol 101:82–88

    PubMed  Article  Google Scholar 

  • Di Angelantonio E, Chowdhury R, Sarwar N, Ray KK, Gobin R, Saleheen D, Thompson A, Gudnason V, Sattar N, Danesh J (2009) B-type natriuretic peptides and cardiovascular risk: systematic review and meta-analysis of 40 prospective studies. Circulation 120:2177–2187

    PubMed  Article  Google Scholar 

  • Eggers KM, Venge P, Lind L (2013) Prognostic usefulness of the change in N-terminal pro B-type natriuretic peptide levels to predict mortality in a single community cohort aged >/=70 years. Am J Cardiol 111:131–136

    CAS  PubMed  Article  Google Scholar 

  • Feinkohl I, Sattar N, Welsh P, Reynolds RM, Deary IJ, Strachan MW, Price JF (2012) Association of N-terminal pro-brain natriuretic peptide with cognitive function and depression in elderly people with type 2 diabetes. PLoSOne 7:e44569

    CAS  PubMed Central  PubMed  Article  Google Scholar 

  • Garcia BH, Smabrekke L, Trovik T, Giverhaug T (2013) Application of the MAT-CHDSP to assess guideline adherence and therapy goal achievement in secondary prevention of coronary heart disease after percutaneous coronary intervention. EurJ ClinPharmacol 69:703–709

    PubMed  Article  Google Scholar 

  • Groenning BA, Raymond I, Hildebrandt PR, Nilsson JC, Baumann M, Pedersen F (2004) Diagnostic and prognostic evaluation of left ventricular systolic heart failure by plasma N-terminal pro-brain natriuretic peptide concentrations in a large sample of the general population. Heart 90:297–303

    CAS  PubMed Central  PubMed  Article  Google Scholar 

  • Hiltunen M, Kerola T, Kettunen R, Hartikainen S, Sulkava R, Vuolteenaho O, Nieminen T (2013) The prognostic capacity of B-type natriuretic peptide on cognitive disorder varies by age. Ann Med 45:74–78

    CAS  PubMed  Article  Google Scholar 

  • Kalantarian S, Stern TA, Mansour M, Ruskin JN (2013) Cognitive impairment associated with atrial fibrillation: a meta-analysis. Ann Intern Med 158:338–346

    PubMed  Article  Google Scholar 

  • Kavousi M, Elias-Smale S, Rutten JH, Leening MJ, Vliegenthart R, Verwoert GC, Krestin GP, Oudkerk M, de Maat MP, Leebeek FW, Mattace-Raso FU, Lindemans J, Hofman A, Steyerberg EW, van der Lugt A, van den Meiracker AH, Witteman JC (2012) Evaluation of newer risk markers for coronary heart disease risk classification: a cohort study. Ann Intern Med 156:438–444

    PubMed  Article  Google Scholar 

  • Kerola T, Nieminen T, Hartikainen S, Sulkava R, Vuolteenaho O, Kettunen R (2010) B-type natriuretic peptide as a predictor of declining cognitive function and dementia–a cohort study of an elderly general population with a 5-year follow-up. Ann Med 42:207–215

    CAS  PubMed  Article  Google Scholar 

  • Kistorp C, Raymond I, Pedersen F, Gustafsson F, Faber J, Hildebrandt P (2005) N-terminal pro-brain natriuretic peptide, C-reactive protein, and urinary albumin levels as predictors of mortality and cardiovascular events in older adults. JAMA: J Am Med Assoc 293:1609–1616

    CAS  Article  Google Scholar 

  • Koopman C, Vaartjes I, Heintjes EM, Spiering W, van Dis I, Herings RM, Bots ML (2013) Persisting gender differences and attenuating age differences in cardiovascular drug use for prevention and treatment of coronary heart disease, 1998–2010. Eur.Heart J

  • Kumbhani DJ, Steg PG, Cannon CP, Eagle KA, Smith SC Jr, Hoffman E, Goto S, Ohman EM, Bhatt DL (2013) Adherence to secondary prevention medications and four-year outcomes in outpatients with atherosclerosis. AmJ Med 126:693–700

    PubMed  Article  Google Scholar 

  • Laslett LJ, Alagona P Jr, Clark BA III, Drozda JP Jr, Saldivar F, Wilson SR, Poe C, Hart M (2012) The worldwide environment of cardiovascular disease: prevalence, diagnosis, therapy, and policy issues: a report from the American College of Cardiology. J Am Coll Cardiol 60:S1–S49

    PubMed  Article  Google Scholar 

  • Linssen GC, Bakker SJ, Voors AA, Gansevoort RT, Hillege HL, de Jong PE, van Veldhuisen DJ, Gans RO, de Zeeuw D (2010) N-terminal pro-B-type natriuretic peptide is an independent predictor of cardiovascular morbidity and mortality in the general population. EurHeart J 31:120–127

    CAS  PubMed  Article  Google Scholar 

  • Longstreth WT Jr, Kronmal RA, Thompson JL, Christenson RH, Levine SR, Gross R, Brey RL, Buchsbaum R, Elkind MS, Tirschwell DL, Seliger SL, Mohr JP, deFilippi CR (2013) Amino terminal pro-B-type natriuretic peptide, secondary stroke prevention, and choice of antithrombotic therapy. Stroke

  • Macfarlane PW, Latif S (1996) Automated serial ECG comparison based on the Minnesota code. J Electrocardiol 29(Suppl):29–34

    PubMed  Article  Google Scholar 

  • Maisel AS, Daniels LB (2012) Breathing not properly 10 years later: what we have learned and what we still need to Learn. J Am Coll Cardiol 60:277–282

    PubMed  Article  Google Scholar 

  • Marz W, Tiran B, Seelhorst U, Wellnitz B, Bauersachs J, Winkelmann BR, Boehm BO (2007) N-terminal pro-B-type natriuretic peptide predicts total and cardiovascular mortality in individuals with or without stable coronary artery disease: the Ludwigshafen Risk and Cardiovascular Health Study. Clin Chem 53:1075–1083

    PubMed  Article  Google Scholar 

  • Melander O, Newton-Cheh C, Almgren P, Hedblad B, Berglund G, Engstrom G, Persson M, Smith JG, Magnusson M, Christensson A, Struck J, Morgenthaler NG, Bergmann A, Pencina MJ, Wang TJ (2009) Novel and conventional biomarkers for prediction of incident cardiovascular events in the community. JAMA: J Am Med Assoc 302:49–57

    CAS  Article  Google Scholar 

  • Murray CJ, Vos T, Lozano R, Naghavi M, Flaxman AD et al (2012) Disability-adjusted life years (DALYs) for 291 diseases and injuries in 21 regions, 1990–2010: a systematic analysis for the Global Burden of Disease Study 2010. Lancet 380:2197–2223

    PubMed  Article  Google Scholar 

  • Nadir MA, Rekhraj S, Wei L, Lim TK, Davidson J, MacDonald TM, Lang CC, Dow E, Struthers AD (2012) Improving the primary prevention of cardiovascular events by using biomarkers to identify individuals with silent heart disease. J Am Coll Cardiol 60:960–968

    PubMed  Article  Google Scholar 

  • Olsen MH, Hansen TW, Christensen MK, Gustafsson F, Rasmussen S, Wachtell K, Ibsen H, Torp-Pedersen C, Hildebrandt PR (2007) N-terminal pro-brain natriuretic peptide, but not high sensitivity C-reactive protein, improves cardiovascular risk prediction in the general population. Eur Heart J 28:1374–1381

    CAS  PubMed  Article  Google Scholar 

  • Patton KK, Ellinor PT, Heckbert SR, Christenson RH, DeFilippi C, Gottdiener JS, Kronmal RA (2009) N-terminal pro-B-type natriuretic peptide is a major predictor of the development of atrial fibrillation: the Cardiovascular Health Study. Circulation 120:1768–1774

    CAS  PubMed  Article  Google Scholar 

  • Pencina MJ, d’Agostino RB, Vasan RS (2010) Statistical methods for assessment of added usefulness of new biomarkers. Clin Chem Lab Med 48:1703–1711

    CAS  PubMed Central  PubMed  Article  Google Scholar 

  • Pencina MJ, D’Agostino RB Sr, Steyerberg EW (2011) Extensions of net reclassification improvement calculations to measure usefulness of new biomarkers. Stat Med 30:11–21

    PubMed Central  PubMed  Article  Google Scholar 

  • Perreault S, Yu AY, Cote R, Dragomir A, White-Guay B, Dumas S (2012) Adherence to antihypertensive agents after ischemic stroke and risk of cardiovascular outcomes. Neurology 79:2037–2043

    CAS  PubMed Central  PubMed  Article  Google Scholar 

  • Pikula A, Beiser AS, Decarli C, Himali JJ, Debette S, Au R, Selhub J, Toffler GH, Wang TJ, Meigs JB, Kelly-Hayes M, Kase CS, Wolf PA, Vasan RS, Seshadri S (2012) Multiple biomarkers and risk of clinical and subclinical vascular brain injury: the framingham offspring study. Circulation 125:2100–2107

    CAS  PubMed Central  PubMed  Article  Google Scholar 

  • Rienstra M, McManus DD, Benjamin EJ (2012) Novel risk factors for atrial fibrillation: useful for risk prediction and clinical decision making? Circulation 125:e941–e946

    PubMed Central  PubMed  Article  Google Scholar 

  • Rutten FH, Hoes AW (2008) B-type natriuretic peptide assays for detecting heart failure in the elderly: same value as those in the younger? Int J Cardiol 125:161–165

    PubMed  Article  Google Scholar 

  • Satagopan JM, Ben-Porat L, Berwick M, Robson M, Kutlerand D, Auerbach AD (2004) A note on competing risks in survival data analysis. Br J Cancer 91(7):1229–1235

    CAS  PubMed Central  PubMed  Article  Google Scholar 

  • Schnabel RB, Aspelund T, Li G, Sullivan LM, Suchy-Dicey A, Harris TB, Pencina MJ, D’Agostino RB Sr, Levy D, Kannel WB, Wang TJ, Kronmal RA, Wolf PA, Burke GL, Launer LJ, Vasan RS, Psaty BM, Benjamin EJ, Gudnason V, Heckbert SR (2010) Validation of an atrial fibrillation risk algorithm in whites and African Americans. Arch Intern Med 170:1909–1917

    PubMed Central  PubMed  Article  Google Scholar 

  • Suwa M, Ito T (2009) Correlation between cognitive impairment and left ventricular diastolic dysfunction in patients with cardiovascular diseases. Int J Cardiol 136:351–354

    PubMed  Article  Google Scholar 

  • Tombaugh TN, McIntyre NJ (1992) The mini-mental state examination: a comprehensive review. J Am Geriatr Soc 40:922–935

    CAS  PubMed  Google Scholar 

  • Ueda R, Yokouchi M, Suzuki T, Otomo E, Katagiri T (2003) Prognostic value of high plasma brain natriuretic peptide concentrations in very elderly persons. Am J Med 114:266–270

    CAS  PubMed  Article  Google Scholar 

  • Uthoff H, Staub D, Socrates T, Meyerhans A, Bundi B, Schmid HP, Frauchiger B (2010) PROCAM-, FRAMINGHAM-, S. Vasa 39:325–333

    CAS  PubMed  Article  Google Scholar 

  • Vaes B, de Ruijter W, Degryse J, Westendorp RG, Gussekloo J (2009a) Clinical relevance of a raised plasma N-terminal pro-brain natriuretic peptide level in a population-based cohort of nonagenarians. J Am Geriatr Soc 57:823–829

    PubMed  Article  Google Scholar 

  • Vaes B, de Ruijter W, Gussekloo J, Degryse J (2009b) The accuracy of plasma natriuretic peptide levels for diagnosis of cardiac dysfunction and chronic heart failure in community-dwelling elderly: a systematic review. Age Ageing 38:655–662

    PubMed  Article  Google Scholar 

  • Valle R, Aspromonte N, Barro S, Canali C, Carbonieri E, Ceci V, Chinellato M, Gallo G, Giovinazzo P, Ricci R, Milani L (2005) The NT-proBNP assay identifies very elderly nursing home residents suffering from pre-clinical heart failure. Eur J Heart Fail 7:542–551

    CAS  PubMed  Article  Google Scholar 

  • van Peet PG, Drewes YM, de Craen AJ, Gussekloo J, de Ruijter W (2013a) NT-proBNP best predictor of cardiovascular events and cardiovascular mortality in secondary prevention in very old age: the Leiden 85-plus Study. PLoSOne 8:e81400

    PubMed Central  PubMed  Article  Google Scholar 

  • van Peet PG, Drewes YM, de Craen AJ, Westendorp RG, Gussekloo J, de Ruijter W (2013b) Prognostic value of cardiovascular disease status: the Leiden 85-plus study. Age (Dordr) 35:1433–1444

    CAS  Article  Google Scholar 

  • Verduijn M, Grootendorst DC, Dekker FW, Jager KJ, le Cessie S (2011) The analysis of competing events like cause-specific mortality–beware of the Kaplan-Meier method. Nephrol Dial Transplant 26:56–61

    PubMed  Article  Google Scholar 

  • Wallen T, Landahl S, Hedner T, Nakao K, Saito Y (1997) Brain natriuretic peptide predicts mortality in the elderly. Heart 77:264–267

    CAS  PubMed Central  PubMed  Article  Google Scholar 

  • Wang TJ, Larson MG, Levy D, Benjamin EJ, Leip EP, Omland T, Wolf PA, Vasan RS (2004) Plasma natriuretic peptide levels and the risk of cardiovascular events and death. NEnglJMed 350:655–663

    CAS  PubMed  Article  Google Scholar 

  • Wang TJ, Gona P, Larson MG, Tofler GH, Levy D, Newton-Cheh C, Jacques PF, Rifai N, Selhub J, Robins SJ, Benjamin EJ, d’Agostino B, Vasan RS (2006) Multiple biomarkers for the prediction of first major cardiovascular events and death. NEnglJMed 355:2631–2639

    CAS  PubMed  Article  Google Scholar 

  • Wannamethee SG, Welsh P, Lowe GD, Gudnason V, Di AE, Lennon L, Rumley A, Whincup PH, Sattar N (2011) N-terminal pro-brain natriuretic Peptide is a more useful predictor of cardiovascular disease risk than C-reactive protein in older men with and without pre-existing cardiovascular disease. J Am Coll Cardiol 58:56–64

    CAS  PubMed  Article  Google Scholar 

  • Weber M, Hamm C (2006) Role of B-type natriuretic peptide (BNP) and NT-proBNP in clinical routine. Heart 92:843–849

    CAS  PubMed Central  PubMed  Article  Google Scholar 

  • Welsh P, Doolin O, Willeit P, Packard C, Macfarlane P, Cobbe S, Gudnason V, Di Angelantonio E, Ford I, Sattar N (2013) N-terminal pro-B-type natriuretic peptide and the prediction of primary cardiovascular events: results from 15-year follow-up of WOSCOPS. Eur. Heart J 34:443–450

    CAS  Article  Google Scholar 

  • Zethelius B, Berglund L, Sundstrom J, Ingelsson E, Basu S, Larsson A, Venge P, Arnlov J (2008) Use of multiple biomarkers to improve the prediction of death from cardiovascular causes. NEnglJMed 358:2107–2116

    CAS  PubMed  Article  Google Scholar 

Download references

Acknowledgments

The Leiden 85-plus Study was partly funded by an unrestricted grant from the Dutch Ministry of Health, Welfare and Sports.

Conflict of interest

The funder played no role in study design, collection, analysis and interpretation of data, writing of the report, and in the decision to submit the article for publication. All researchers were independent from the funder and have no conflicts of interest.

Author information

Affiliations

Authors

Corresponding author

Correspondence to Petra G. van Peet.

Electronic supplementary material

Below is the link to the electronic supplementary material.

Table 5

(online supplementary table) Association between NT-proBNP at age 85 years and (changes in) functional status in participants aged 85 through 90 years (n=560) adjusted for blood pressure, total cholesterol, HDL-cholesterol, history of diabetes, current smoking, BMI, MDRD and medication for hypertension (upper 2 rows), and adjusted for all these plus for prevalent cardiovascular disease (middle 2 rows) and for prevalent cerebrovascular disease (lower 2 rows), respectively. (DOCX 48 kb)

Table 6

(Online supplementary table). Five-year risk of cardiovascular morbidity and mortality depending on plasma NT-proBNP level at 85 years (n=560), adjusted for blood pressure, total cholesterol, HDL-cholesterol, history of diabetes, current smoking, BMI, MDRD and medication for hypertension. (DOCX 21 kb)

Table 7

(Online supplementary table). Five-year risk of cardiovascular morbidity and mortality depending on plasma NT-proBNP level at 85 years (n=560), adjusted for blood pressure, total cholesterol, HDL-cholesterol, history of diabetes, current smoking, BMI, MDRD, medication for hypertension plus for prevalent cardiovascular disease (DOCX 21 kb)

About this article

Verify currency and authenticity via CrossMark

Cite this article

van Peet, P.G., de Craen, A.J., Gussekloo, J. et al. Plasma NT-proBNP as predictor of change in functional status, cardiovascular morbidity and mortality in the oldest old: the Leiden 85-plus study. AGE 36, 9660 (2014). https://doi.org/10.1007/s11357-014-9660-1

Download citation

  • Received:

  • Accepted:

  • Published:

  • DOI: https://doi.org/10.1007/s11357-014-9660-1

Keywords

  • Aged 80 years and over
  • Pro-brain natriuretic peptide
  • Activities of daily living
  • Cognition
  • Cardiovascular disease
  • Cardiovascular morbidity
  • Cardiovascular mortality
  • Prediction
  • Prevention