Skip to main content

Age- and gender-specific reference values of pulse wave velocity for African adults: preliminary results

Abstract

Pulse wave velocity (PWV) is an independent predictor of cardiovascular (CV) risk. Higher PWV values have been observed in Africans; however, there are no established age- and gender-adjusted reference values for this population. Therefore, PWV was measured using a validated device (Complior SP) in 544 subjects recruited from an occupational cohort of employees of a public university in Angola. Since high blood pressure (BP) is an important factor influencing PWV, a subsample of 301 normotensive subjects (aged 22–72 years) was selected for this study. A subset of 131 individuals without CV risk factors was considered the healthy group (HG), while the entire group (n = 301) comprised the less healthy group (LHG). Predictors of PWV were evaluated using multiple regression analyses and age- and gender-specific percentile tables and curves were constructed. Age and PWV means were 36 ± 9.7 years and 6.6 ± 1.0 m/s in the HG, respectively, and 39.9 ± 10.2 years and 7.3 ± 1.3 m/s in the LHG. Age and plasma uric acid (UA) were the only significant PWV predictors in the HG, while age, mean BP (MBP), and gender showed significant prediction of PWV in the multiple regression analysis in the LHG. Age- and gender-adjusted reference values of PWV were provided for healthy and less healthy normotensive Africans. Considering the small sample size of our cohort, these preliminary results should be used cautiously until data on robust sample of the general population can be obtained.

This is a preview of subscription content, access via your institution.

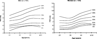
Fig. 1
Fig. 2

References

  • Alecu C, Labat C, Kearney-Schwartz A, Fay R, Salvi P, Joly L, Lacolley P, Vespignani H, Benetos A (2008) Reference values of aortic pulse wave velocity in the elderly. J Hypertens 26:2207–2212

    PubMed  CAS  Google Scholar 

  • Anderson KM, Odell PM, Wilson PWF, Kannel WB (1991) Cardiovascular disease risk profiles. Am Hear J 121:293–298

    CAS  Google Scholar 

  • Asmar R, Benetos A, Topouchian J, Laurent P, Pannier B, Brisac A, Target R, Levy BI (1995) Assessment of arterial distensibility by automatic pulse wave velocity measurement. Validation and clinical application studies. Hypertension 26:485–490

    PubMed  CAS  Google Scholar 

  • Boutouyrie P, Vermeersch SJ (2010) Determinants of pulse wave velocity in healthy people and in the presence of cardiovascular risk factors. ‘Establishing normal and reference values: the reference values for arterial stiffness’ collaboration. Eur Heart J 31:2338–23350

    Google Scholar 

  • Bruin A, Picavet HSJ, Nossikov A (1996) Health interview surveys towards international harmonization of methods and instruments. World Health Organization, Copenhagen, Regional Office for Europe. http://www.euro.who.int/__data/assets/pdf_file/0017/111149/E72841.pdf. Accessed 11 February 2009

    Google Scholar 

  • Claassen M, Sybrandy KC, Appelman YE, Asselbergs FW (2012) Gender gap in acute coronary heart disease: myth or reality? World J Cardiol 4(2):36–47

    PubMed  Google Scholar 

  • Conen D, Wietlisbach V, Bovet P, Shamlaye C, Riesen W, Paccaud F, Burnier M (2004) Prevalence of hyperuricemia and relation of serum uric acid with cardiovascular risk factors in a developing country. BMC Publ Health 4(9). doi:10.1186/1471-2458-4-9

  • Fang J, Alderman MH (2000) Serum uric acid and cardiovascular mortality: the NHANES I Epidemiologic Followup Study, 1971–1992. JAMA 283:2404–2410

    PubMed  CAS  Google Scholar 

  • Ferreira AV, Viana MC, Mill JG, Asmar RG, Cunha RS (1999) Racial differences in aortic stiffness in normotensive and hypertensive adults. J Hypertens 17:631–637

    PubMed  CAS  Google Scholar 

  • Friedewald WT, Levy RI, Fredrickson DS (1972) Estimation of the concentration of low-density lipoprotein cholesterol in plasma, without use of the preparative ultracentrifuge. Clin Chem 18:499–502

    PubMed  CAS  Google Scholar 

  • Global status report on noncommunicable disease 2010 (2010). Geneva, Switzerland: World Health Organization. http://www.who.int/nmh/publications/ncd_report2010/en/. Accessed 28 April 2012

  • Heffernan KS, Jae SY, Fernhall B (2007) Racial differences in arterial stiffness after exercise in young men. Am J Hypertens 20:840–845

    PubMed  Google Scholar 

  • Heijden-Spek JJ, Staessen JA, Fagard RH, Hoeks AP, Boudier HA, van Bortel LM (2000) Effect of age on brachial artery wall properties differs from the aorta and is gender dependent: a population study. Hypertension 35:637–642

    PubMed  Google Scholar 

  • Inquérito Integrado sobre o Bem-Estar da População - IBEP, 2008–2009 (2011). http://www.ine-ao.com/PDFS/Relatório%20Análitico_IBEP_Vol.I_2011.pdf. Accessed 8 May 2012

  • Laurent S, Cockcroft J, Van Bortel L, Boutouyrie P, Giannattasio C, Hayoz D, Pannier B, Vlachopoulos C, Wilkinson I, Struijker-Boudier H (2007) on behalf of the European Network for Non-invasive investigation of large arteries. Abridged version of the expert consensus document on arterial stiffness. Artery Res 1:2–12

    Google Scholar 

  • Lemogoum D, van Bortel L, Leeman M, Degaute JP, van de Borne P (2006) Ethnic differences in arterial stiffness and wave reflections after cigarette smoking. J Hypertens 24:683–689

    PubMed  CAS  Google Scholar 

  • Lerner DJ, Kannel WB (1986) Patterns of coronary heart disease morbidity and mortality in the sexes: a 26-year fellow-up of the Framingham population. Am Hear J 111:383–390

    CAS  Google Scholar 

  • Li C, Engström G, Hedblad B, Janzon L (2006) Sex-specific cardiovascular morbidity and mortality in a cohort treated for hypertension. J Hypertens 24:1523–1529

    PubMed  CAS  Google Scholar 

  • Maas AH, Appelman YE (2010) Gender differences in coronary heart disease. Neth Heart J 18:598–603

    Google Scholar 

  • Mancia G, De Backer G, Dominiczak A et al (2007) 2007 Guidelines for the management of arterial hypertension: the Task Force for the Management of Arterial Hypertension of the European Society of Hypertension (ESH) and of European Society of Cardiology (ESC). J Hypertens 25:1105–1187

    PubMed  CAS  Google Scholar 

  • Palmer IM, Schutte AE, Huisman HW (2010) Uric acid and the cardiovascular profile of African and Caucasian men. J Hum Hypertens 24:639–645

    PubMed  CAS  Google Scholar 

  • Pereira AC, Sposito AC, Mota GF, Cunha RS, Herkenhoff FL, Mill JG, Krieger JE (2006) Endothelial nitric oxide synthase gene variant modulates the relationship between serum cholesterol levels and blood pressure in the general population: new evidence for a direct effect of lipids in arterial blood pressure. Atherosclerosis 184:193–200

    PubMed  CAS  Google Scholar 

  • Reusz GS, Cseprekal O, Temmar M, Kis E, Cherif AB, Thaleb A, Fekete A, Szabó AJ, Benetos A, Salvi P (2010) Reference values of pulse wave velocity in healthy children and teenagers. Hypertension 56:217–224

    PubMed  CAS  Google Scholar 

  • Rossi P, Francès Y, Kingwell BA, Ahimastos AA (2011) Gender differences in artery wall biomechanical properties throughout life. J Hypertens 29(6):1023–1233

    PubMed  CAS  Google Scholar 

  • Safar ME, Blacher J, Pannier B, Guerin AP, Marchais SJ, Guyonvarc'h PM, London M (2002) Central pulse pressure and mortality in end-stage renal disease. Hypertension 39:735–738

    PubMed  CAS  Google Scholar 

  • Santos PCJL, Alvim RO, Ferreira NE, Sá Cunha R, Krieger JE, Mill JG, Pereira AC (2010) Ethnicity and arterial stiffness in Brazil. Am J Hypertens 24(3):278–284

    PubMed  Google Scholar 

  • Schutte AE, Huisman HW, Schutte R, Van Rooyen JM, Malan L, Malan NT, Reimann M (2011) Arterial stiffness profiles: investigating various sections of the arterial tree of African and Caucasian people. Clin Exp Hypertens 33(8):511–517

    PubMed  Google Scholar 

  • Seaberg EC, Benning L, Sharrett AR et al (2010) Association between human immunodeficiency virus infection and stiffness of the common carotid artery. Stroke 41:2163–2170

    PubMed  Google Scholar 

  • Shah AS, Dolan LM, Gao Z, Kimball TR, Urbina EM (2012) Racial differences in arterial stiffness among adolescents and young adults with type 2 diabetes. Pediatr Diabetes 13(2):170–175

    PubMed  CAS  Google Scholar 

  • Shaw LJ, Shaw RE, Merz NBC et al (2008) Impact of ethnicity and gender differences on angiographic coronary artery disease prevalence and in-hospital mortality in the American College of Cardiology –National Cardiovascular data registry. Circulation 117:1787–1801

    PubMed  Google Scholar 

  • Shiburi CP, Staessen JA, Maseko M, Wojciechowska W, Thijs L, Van Bortel LM, Woodiwiss AJ, Norton GR (2006) Reference values for SphygmoCor measurements in South Africans of African ancestry. Am J Hypertens 19:40–46

    PubMed  Google Scholar 

  • Schillaci G, DeSocio GV, Pucci G, Mannarino MR, Helou J, Pirro M, Mannarino E (2008) Aortic stiffness in untreated adult patients with human immunodeficiency virus infection. Hypertension 52:308–313

    PubMed  CAS  Google Scholar 

  • Smulyan H, Asmar RG, Rudnicki A, London GM, Safar ME (2001) Comparative effects of aging in men and women on the properties of the arterial tree. J Am Coll Cardiol 37:1374–1380

    PubMed  CAS  Google Scholar 

  • Third Report of the National Cholesterol Education Program (NCEP) Expert Panel on detection, evaluation, and treatment of high blood cholesterol in adults (Adult Treatment Panel III). Final report. Circulation 106:3143–3421

  • Tunstall-Pedoe H, Kuulasmaa K, Amouyel P, Arveiler D, Rajakangas AM, Pajak A (1994) Myocardial infarction and coronary deaths in the World Health Organization MONICA Project. Registration procedures, event rates, and case-fatality rates in 38 populations from 21 countries in four continents. Circulation 90:583–612

    PubMed  CAS  Google Scholar 

  • Van Bortel LM, Laurent S, Boutouyrie P et al (2012) on behalf of the Artery Society, the European Society of Hypertension Working Group on Vascular Structure and Function and the European Network for Noninvasive Investigation of Large Arteries. Expert consensus document on the measurement of aortic stiffness in daily practice using carotid-femoral pulse wave velocity. J Hypertens 30:445–448

    PubMed  Google Scholar 

  • van Popele NM, Mattace-Raso FU, Vliegenthart R, Grobbee DE, Asmar R, van der Kuip DA, Hofmana A, de Feijterc PJ, Oudkerkf M, Wittemana JCM (2006) Aortic stiffness is associated with atherosclerosis of the coronary arteries in older adults: The Rotterdam Study. J Hypertens 24:2371–2376

    PubMed  Google Scholar 

  • Vermeersch SJ, Rietzschel ER, De Buyzere ML, De Bacquer D, De Backer G, Van Bortel LM, Gillebert TC, Verdonck PR, Segers P (2008) Age and gender related patterns in carotid-femoral PWV and carotid and femoral stiffness in a large healthy, middle-aged population. J Hypertens 26:1411–1419

    PubMed  CAS  Google Scholar 

  • Vlachopoulos C, Aznaouridis K, Stefanadis C (2010) Prediction of cardiovascular events and all-cause mortality with arterial stiffness: a systematic review and meta-analysis. J Am College Cardiol 55:1318–1327

    Google Scholar 

  • Waddell TK, Dart AM, Gatzka CD, Cameron JD, Kingwell BA (2001) Women exhibit a greater age-related increase in proximal aortic stiffness than men. J Hypertens 19:2205–2212

    PubMed  CAS  Google Scholar 

  • World Health Organization. Obesity (1998): Preventing and managing the global epidemic: report of a WHO Consultation on Obesity, Geneva, 3–5 June 1997. Geneva (CH): World Health Organization; 1998. http://whqlibdoc.who.int/hq/1998/WHO_NUT_NCD_98.1_(p1-158).pdf. Accessed 29 August 2012.

  • Yang Y, Kozloski M (2012) Change of sex gaps in total and cause-specific mortality over the life span in the United States. Ann Epidemiol 22:94–103

    PubMed  CAS  Google Scholar 

Download references

Acknowledgments

We are grateful to the subjects and staff who participated in this study for their kind cooperation. This study was supported by grants from Fundação para Ciência e Desenvolvimento, Angola and Coordenação de Aperfeiçoamento de Pessoas do Ensino Superior (CAPES) do Brasil.

Author information

Affiliations

Authors

Corresponding author

Correspondence to Pedro Magalhães.

About this article

Cite this article

Magalhães, P., Capingana, D.P., Silva, A.B.T. et al. Age- and gender-specific reference values of pulse wave velocity for African adults: preliminary results. AGE 35, 2345–2355 (2013). https://doi.org/10.1007/s11357-012-9504-9

Download citation

  • Received:

  • Accepted:

  • Published:

  • Issue Date:

  • DOI: https://doi.org/10.1007/s11357-012-9504-9

Keywords

  • Pulse wave velocity
  • Reference values
  • Africans