Skip to main content

Dopaminergic degeneration is enhanced by chronic brain hypoperfusion and inhibited by angiotensin receptor blockage

Abstract

The possible interaction between brain hypoperfusion related to aging and/or vascular disease, vascular parkinsonism and Parkinson’s disease, as well as the possible contribution of aging-related chronic brain hypoperfusion in the development or severity of Parkinson’s disease are largely unknown. We used a rat model of chronic cerebral hypoperfusion to study the long-term effects of hypoperfusion on dopaminergic neurons and the possible synergistic effects between chronic hypoperfusion and factors that are deleterious to dopaminergic neurons, such as the dopaminergic neurotoxin 6-hydroxydopamine. Chronic hypoperfusion induced significant loss of dopaminergic neurons and striatal dopaminergic terminals and a reduction in striatal dopamine levels. Furthermore, intrastriatal administration of 6-hydroxydopamine in rats subjected to chronic hypoperfusion induced a significantly greater loss of dopaminergic neurons than in sham-operated control rats. The dopaminergic neuron loss was significantly reduced by oral treatment with angiotensin type 1 receptor antagonist candesartan (3 mg/kg/day). The levels of angiotensin type 2 receptors were lower and the levels of angiotensin type 1 receptors, interleukin-1 β and nicotinamide adenine dinucleotide phosphate oxidase activity were higher in the substantia nigra of rats subjected to chronic hypoperfusion than in control rats; this was significantly reduced by treatment with candesartan. The results suggest that early treatment of vascular disease should be considered in the treatment of aged Parkinson’s disease patients and Parkinson’s disease patients with cerebrovascular risk factors. The findings also suggest that inhibition of brain renin–angiotensin activity may be useful as a neuroprotective strategy.

This is a preview of subscription content, access via your institution.

Fig. 1
Fig. 2
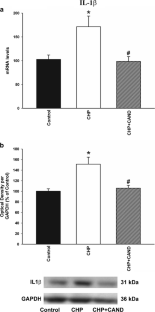
Fig. 3
Fig. 4
Fig. 5
Fig. 6
Fig. 7
Fig. 8

References

  • Basso N, Paglia N, Stella I, de Cavanagh EM, Ferder L, del Rosario Lores Arnaiz M, Inserta F (2005) Protective effect of the inhibition of the renin-angiotensin system on aging. Regul Pept 128:247–252

    PubMed  Article  CAS  Google Scholar 

  • Ben V, Blin O, Bruguerolle B (1999) Time-dependent striatal dopamine depletion after injection of 6-hydroxydopamine in the rat. Comparison of single bilateral and double bilateral lesions. J Pharm Pharmacol 51:1405–1408

    PubMed  Article  CAS  Google Scholar 

  • Benigni A, Corna D, Zoja C, Sonzogni A, Latini R, Salio M, Conti S, Rottoli D, Longaretti L, Cassis P, Morigi M, Coffman TM, Remuzzi G (2009) Disruption of the Ang II type 1 receptor promotes longevity in mice. J Clin Invest 119:524–530

    PubMed  Article  CAS  Google Scholar 

  • Benigni A, Orisio S, Noris M, Iatropoulos P, Castaldi D, Kamide K, Rakugi H, Arai Y, Todeschini M, Ogliari G, Imai E, Gondo Y, Hirose N, Mari D, Remuzzi G (2012) Variations of the angiotensin II type 1 receptor gene are associated with extreme human longevity. Age (Dordr), in press

  • Bohnen NI, Albin RL (2011) White matter lesions in Parkinson disease. Nat Rev Neurol 7:229–236

    PubMed  Article  Google Scholar 

  • Buchman AS, Shulman JM, Nag S, Leurgans SE, Arnold SE, Morris MC, Schneider JA, Bennett DA (2012) Nigral pathology and parkinsonian signs in elders without Parkinson disease. Ann Neurol 71:258–266

    PubMed  Article  Google Scholar 

  • Clark MA, Diz DI, Tallant EA (2001) Angiotensin-(1–7) downregulates the angiotensin II type 1 receptor in vascular smooth muscle cells. Hypertension 37:1141–1146

    PubMed  Article  CAS  Google Scholar 

  • Collier TJ, Lipton J, Daley BF, Palfi S, Chu Y, Sortwell C, Bakay RA, Sladek JR Jr, Kordower JH (2007) Aging-related changes in the nigrostriatal dopamine system and the response to MPTP in nonhuman primates: diminished compensatory mechanisms as a prelude to parkinsonism. Neurobiol Dis 26:56–65

    PubMed  Article  CAS  Google Scholar 

  • Farkas E, Luiten PG (2001) Cerebral microvascular pathology in aging and Alzheimer’s disease. Prog Neurobiol 64:575–611

    PubMed  Article  CAS  Google Scholar 

  • Farkas E, Luiten PG, Bari F (2007) Permanent, bilateral common carotid artery occlusion in the rat: a model for chronic cerebral hypoperfusion-related neurodegenerative diseases. Brain Res Rev 54:162–180

    PubMed  Article  CAS  Google Scholar 

  • Griendling KK, Minieri CA, Ollerenshaw JD, Alexander RW (1994) Angiotensin II stimulates NADH and NADPH oxidase activity in cultured vascular smooth muscle cells. Circ Res 74:1141–1148

    PubMed  Article  CAS  Google Scholar 

  • Griendling KK, Sorescu D, Ushio-Fukai M (2000) NADPH oxidase. Role in cardiovascular biology and disease. Circ Res 86:494–501

    PubMed  Article  CAS  Google Scholar 

  • Gundersen HJG, Bendsen TF, Korbo L, Marcussen N, Moller A, Nielsen K (1988) Some new, simple and efficient stereological methods and their use in pathological research and diagnosis. APIMS 96:379–394

    Article  CAS  Google Scholar 

  • Hong H, Zeng JS, Kreulen DL, Kaufman DI, Chen AF (2006) Atorvastatin protects against cerebral infarction via inhibition of NADPH oxidase-derived superoxide in ischemic stroke. Am J Physiol Heart Circ Physiol 291:H2210–H2215

    PubMed  Article  CAS  Google Scholar 

  • Jellinger K (2006) A response to The effects of vascular disease on late onset Parkinson’s disease (Papapetropoulos et al.). Eur J Neurol 13(10):e1

    PubMed  Article  CAS  Google Scholar 

  • Joglar B, Rodriguez-Pallares J, Rodríguez-Perez AI, Rey P, Guerra MJ, Labandeira-Garcia JL (2009) The inflammatory response in the MPTP model of Parkinson’s disease is mediated by brain angiotensin: relevance to progression of the disease. J Neurochem 109:656–669

    PubMed  Article  CAS  Google Scholar 

  • Koprich JB, Reske-Nielsen C, Mithal P, Isacson O (2008) Neuroinflammation mediated by IL-1beta increases susceptibility of dopamine neurons to degeneration in an animal model of Parkinson’s disease. J Neuroinflammation 5:8

    PubMed  Article  Google Scholar 

  • Labandeira-Garcia JL, Rodriguez-Pallares J, Villar-Cheda B, Rodríguez-Perez AI, Garrido-Gil P, Guerra MJ (2011) Aging, angiotensin system and dopaminergic degeneration in the substantia nigra. Aging Dis 2:257–274

    PubMed  Google Scholar 

  • Li JM, Shah AM (2003) Mechanism of endothelial cell NADPH oxidase activation by angiotensin II. Role of the p47phox subunit. J Biol Chem 278:12094–12100

    PubMed  Article  CAS  Google Scholar 

  • Mercuri NB, Bonci A, Johnson SW, Stratta F, Calabresi P, Bernardi G (1994) Effects of anoxia on rat midbrain dopamine neurons. J Neurophysiol 71:1165–1173

    PubMed  CAS  Google Scholar 

  • Münzel T, Keany JF (2001) Are ACE inhibitors a “magic bullet” against oxidative stress? Circulation 104:1571–1577

    PubMed  Article  Google Scholar 

  • Nandhagopal R, Kuramoto L, Schulzer M, Mak E, Cragg J, McKenzie J, McCormick S, Ruth TJ, Sossi V, de la Fuente-Fernandez R, Stoessl AJ (2011) Longitudinal evolution of compensatory changes in striatal dopamine processing in Parkinson’s disease. Brain 134:3290–3298

    PubMed  Article  Google Scholar 

  • Papapetropoulos S, Ellul J, Argyriou AA, Talelli P, Chroni E, Papapetropoulos T (2004) The effect of vascular disease on late onset Parkinson’s disease. Eur J Neurol 11:231–235

    PubMed  Article  CAS  Google Scholar 

  • Phillips MI, de Oliveira EM (2008) Brain renin angiotensin in disease. J Mol Med 86:715–722

    PubMed  Article  CAS  Google Scholar 

  • Przedborski S, Levivier M, Jiang H, Ferreira M, Jackson-Lewis V, Donaldson D, Togasaki DM (1995) Dose-dependent lesions of the dopaminergic nigrostriatal pathway induced by intrastriatal injection of 6-hydroxydopamine. Neuroscience 67:631–647

    PubMed  Article  CAS  Google Scholar 

  • Rektor I, Rektorová I, Kubová D (2006) Vascular parkinsonism–an update. J Neurol Sci 248:185–191

    PubMed  Article  Google Scholar 

  • Rektor I, Goldemund D, Sheardová K, Rektorová I, Michálková Z, Dufek M (2009) Vascular pathology in patients with idiopathic Parkinson’s disease. Parkinsonism Relat Disord 15:24–29

    PubMed  Article  Google Scholar 

  • Rey P, Lopez-Real A, Sanchez-Iglesias S, Muñoz A, Soto-Otero R, Labandeira-Garcia JL (2007) Angiotensin type-1-receptor antagonists reduce 6-hydroxydopamine toxicity for dopaminergic neurons. Neurobiol Aging 28:555–567

    PubMed  Article  CAS  Google Scholar 

  • Rodriguez-Pallares J, Rey P, Parga JA, Muñoz A, Guerra MJ, Labandeira-Garcia JL (2008) Brain angiotensin enhances dopaminergic cell death via microglial activation and NADPH-derived ROS. Neurobiol Dis 31:58–73

    PubMed  Article  CAS  Google Scholar 

  • Rodriguez-Pallares J, Parga JA, Joglar B, Guerra MJ, Labandeira-Garcia JL (2012) Mitochondrial ATP-sensitive potassium channels enhance angiotensin-induced oxidative damage and dopaminergic neuron degeneration. Relevance for aging-associated susceptibility to Parkinson’s disease. Age (Dordr) 34:863–80

    Google Scholar 

  • Rodriguez-Perez AI, Valenzuela R, Villar-Cheda B, Guerra MJ, Lanciego JL, Labandeira-Garcia JL (2010) Estrogen and angiotensin interaction in the substantia nigra. Relevance to postmenopausal Parkinson’s disease. Exp Neurol 224:517–526

    PubMed  Article  CAS  Google Scholar 

  • Rodriguez-Perez AI, Valenzuela R, Villar-Cheda B, Guerra MJ, Labandeira-Garcia JL (2012) Different dopaminergic neuroprotection of hormonal replacement therapy in young and aged menopausal rats. Role of the brain angiotensin system. Brain 135:124–138

    PubMed  Article  Google Scholar 

  • Rueckschloss U, Quinn MT, Holtz J, Morawietz H (2002) Dose-dependent regulation of NAD(P)H oxidase expression by angiotensin II in human endothelial cells: protective effect of angiotensin II type 1 receptor blockade in patients with coronary artery disease. Arterioscler Thromb Vasc Biol 22:1845–1851

    PubMed  Article  CAS  Google Scholar 

  • Ruiz-Ortega M, Lorenzo O, Ruperez M, Esteban V, Suzuki Y, Mezzano S, Plaza JJ, Egido J (2001) Role of the renin-angiotensin system in vascular diseases. Expanding the field. Hypertension 38:1382–1387

    PubMed  Article  CAS  Google Scholar 

  • Sauer H, Oertel WH (1994) Progressive degeneration of nigrostriatal dopamine neurons following intrastriatal terminal lesions with 6-hydroxydopamine: a combined retrograde tracing and immunohistochemical study in the rat. Neuroscience 59:401–415

    PubMed  Article  CAS  Google Scholar 

  • Singh V, Carman M, Roeper J, Bonci A (2007) Brief ischemia causes long-term depression in midbrain dopamine neurons. Eur J Neurosci 26(6):1489–1499

    PubMed  Article  Google Scholar 

  • Sohn HY, Raff U, Hoffmann A, Gloe T, Heermeier K, Galle J, Pohl U (2000) Differential role of angiotensin II receptor subtypes on endothelial superoxide formation. Br J Pharmacol 131:667–672

    PubMed  Article  CAS  Google Scholar 

  • Thanvi B, Lo N, Robinson T (2005) Vascular parkinsonism–an important cause of parkinsonism in older people. Age Ageing 34:114–119

    PubMed  Article  Google Scholar 

  • Touyz RM, Chen X, Tabet F, Yao G, He G, Quinn MT, Pagano PJ, Schiffrin EL (2002) Expression of a functionally active gp91phox-containing neutrophil-type NAD(P)H oxidase in smooth muscle cells from human resistance arteries, regulation by angiotensin II. Circ Res 14:1205–1213

    Article  Google Scholar 

  • Valenzuela R, Barroso-Chinea P, Muñoz A, Joglar B, Villar-Cheda B, Lanciego JL, Labandeira-Garcia JL (2010) Location of prorenin receptors in primate substantia nigra: effects on dopaminergic cell death. J Neuropathol Exp Neurol 69:1130–1142

    PubMed  Article  CAS  Google Scholar 

  • Villar-Cheda B, Sousa-Ribeiro D, Rodriguez-Pallares J, Rodriguez-Perez AI, Guerra MJ, Labandeira-Garcia JL (2009) Aging and sedentarism decrease vascularization and VEGF levels in the rat substantia nigra. Implications for Parkinson’s disease. J Cereb Blood Flow Metab 29:230–234

    PubMed  Article  CAS  Google Scholar 

  • Villar-Cheda B, Valenzuela R, Rodriguez-Perez AI, Guerra MJ, Labandeira-Garcia JL (2012) Aging-related changes in the nigral angiotensin system enhances proinflammatory and pro-oxidative markers and 6-OHDA-induced dopaminergic degeneration. Neurobiol Aging 33:204.e1-11

    PubMed  Article  Google Scholar 

  • Wright JW, Harding JW (2011) Brain renin-angiotensin–a new look at an old system. Prog Neurobiol 95:49–67

    PubMed  Article  CAS  Google Scholar 

  • Wu D, Teisman P, Tieu K, Vila M, Jackson-Lewis V, Ischiropoulos H, Przedborski S (2003) NADPH oxidase mediates oxidative stress in the 1-methyl-4-phenyl-1,2,3,6-tetrahydropyridine model of Parkinson¨s disease. Proc Natl Acad Sci USA 100:6145–6150

    PubMed  Article  CAS  Google Scholar 

  • Zijlmans JC, Daniel SE, Hughes AJ, Révész T, Lees AJ (2004a) Clinicopathological investigation of vascular parkinsonism, including clinical criteria for diagnosis. Mov Disord 19:630–640

    PubMed  Article  Google Scholar 

  • Zijlmans JC, Katzenschlager R, Daniel SE, Lees AJ (2004b) The L-dopa response in vascular parkinsonism. J Neurol Neurosurg Psychiatry 75:545–547

    PubMed  Article  CAS  Google Scholar 

  • Zijlmans J, Evans A, Fontes F, Katzenschlager R, Gacinovic S, Lees AJ, Costa D (2007) [123I] FP-CIT spect study in vascular parkinsonism and Parkinson’s disease. Mov Disord 22:1278–1285

    PubMed  Article  Google Scholar 

Download references

Acknowledgments

The authors thank Pilar Aldrey, Iria Novoa, and Jose A. Trillo for their excellent technical assistance. The authors are thankful to Astra Zeneca for providing candesartan for the experiments. Funding: Spanish Ministry of Science and Innovation, Spanish Ministry of Health (RD06/0010/0013 and CIBERNED), Galician Government (XUGA) and European Regional Development Fund (FEDER).

Author information

Affiliations

Authors

Corresponding author

Correspondence to Jose L. Labandeira-Garcia.

About this article

Cite this article

Rodriguez-Perez, A.I., Dominguez-Meijide, A., Lanciego, J.L. et al. Dopaminergic degeneration is enhanced by chronic brain hypoperfusion and inhibited by angiotensin receptor blockage. AGE 35, 1675–1690 (2013). https://doi.org/10.1007/s11357-012-9470-2

Download citation

  • Received:

  • Accepted:

  • Published:

  • Issue Date:

  • DOI: https://doi.org/10.1007/s11357-012-9470-2

Keywords

  • Aging
  • Renin–angiotensin system
  • Cerebrovascular disease
  • Ischemia
  • Parkinson
  • Vascular parkinsonism