Abstract
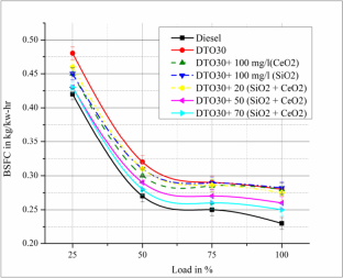
The objective of this research is to reduce the emission and improve the performance of diesel engine when they operate with distilled tire pyrolysis oil blends (DTPO30). Utilization of tire oil on diesel engine has been an active research field for the last two decades. But, it is still challengeable due to their high emissions. To overcome this, the present study has been attempted to analyze the influence of hybrid silicon oxide (SiO2) and cerium oxide (CeO2) nanoparticles in tire oil blends. The SiO2 and CeO2 are considered in hybrid nature with proportions of 20 mg/L (sum 40 mg/L), 50 mg/L, and 70 mg/L each. The nanoparticles mixed fuel blends were prepared using an ultrasonication technique. The experiments were conducted with a water-cooled engine with a constant speed of 1500 rpm, a compression ratio of 17.5, and an injection timing of 23° BTDC. The FTIR spectra indicated that all the samples were identified with alkanes and alkenes like diesel. But, DTPO30 + 70 found with many peaks in bending mode, which indicates the changes in chemical functional groups. From the engine testing, the brake thermal efficiency was improved by about 2% and brake specific fuel consumption was reduced up to 0.03 kg/kW h with DTPO30 + 70 (SiO2 + CeO2) than DTPO30. The cylinder pressure and heat release rate were reduced with hybrid nanoparticles blended fuel than with that of individually mixed fuel. Also, the emissions such as NOx, CO, UBHC, and soot were reduced with hybrid nanoparticles, up to 4.8%, 13.5%, 27%, and 10% respectively. The hybrid nature of SiO2 + CeO2 has the potential to adhere to the soot particles around their surface which leads to reducing the duration of suspension in the atmosphere.















Similar content being viewed by others
Explore related subjects
Discover the latest articles and news from researchers in related subjects, suggested using machine learning.Data availability
Not applicable.
Code availability
Not applicable.
Manuscript follows the journal ethical standards.
References
Chandran M, Rajamamundi P, Kit AC (2017) Tire oil from waste tire scraps using novel catalysts of manufacturing sand (M Sand) and TiO2: production and FTIR analysis. Energy Sources A Recov Utilization Environ Eff 39(18):1928–1934. https://doi.org/10.1080/15567036.2017.1390010
Chandran M, Tamilkolundu S, Murugesan C (2018) Investigation of the performance, combustion parameters, and emissions analysis on DI engine using two staged distilled waste plastic oil-diesel blends. Therm Sci 22(3):1469–1480. https://doi.org/10.2298/TSCI170501067C
DeeptiKhatri RG (2020) Effects of silicon dioxide nanoparticles on the performance and emission features at different injection timings using water diesel emulsified fuel. Energy Convers Manag 205:112379
El-Seesy AI, Abdel-Rahman AK, Bady M, Ookawara S (2017) Performance, combustion, and emission characteristics of a diesel engine fueled by biodiesel-diesel mixtures with multi-walled carbon nanotubes additives. Energy Convers Manag 135:373–393
Gavhane RS, Kate AM, Soudagar MEM, Wakchaure VD, Balgude S, Rizwanul Fattah IM, Nik-Ghazali N-N, Fayaz H, Khan TMY, Mujtaba MA et al (2021) Influence of silica nano-additives on performance and emission characteristics of soybean biodiesel fuelled diesel engine. Energies 14:1489. https://doi.org/10.3390/en14051489
Ilkılıc C, Aydın H (2011) Fuel production from waste vehicle tires by catalytic pyrolysis and its application in a diesel engine. Fuel Process Technol 92:1129–1135
Islam MN, Nahian MR (2016) Improvement of waste tire pyrolysis oil and performance test with diesel in CI engine, Hindawi Publishing Corporation. J Renew Energy Vol 5137247:8. https://doi.org/10.1155/2016/5137247
Koc AB, Abdullah M (2014) Performance of a 4-cylinder diesel engine running on tire oile bio diesel blend. Fuel Process Technol 118:264–269
Kumaravel ST, Murugesan A, Vijayakumar C, Thenmozhi M (2019) Enhancing the fuel properties of tyre oil diesel blends by doping nano additives for green environments. J Clean Prod 240:118128. https://doi.org/10.1016/j.jclepro.2019.118128
MohanrajChandran RC, Parthipan N, Ang CK (2020) Effect of nano cerium oxide additive with tire oil blends on diesel engine combustion and emissions parameters with soot morphology analysis. Energy Sources A: Recov Util Environ Eff. https://doi.org/10.1080/15567036.2020.1810179
Mujtaba MA et al (2020) Ultrasound-assisted process optimization and tribological characteristics of biodiesel from palm-sesame oil via response surface methodology and extreme learning machine-Cuckoo search. Renew Energy 158:202–214
Murugan S, Ramaswamy MC, Nagarajan G (2008) The use of tyre pyrolysis oil in diesel engines. Waste Management 28:2743–2749
Murugan S, & Nagarajan G (2010) “Experimental studies on a DI diesel engine using tire pyrolysis oil diethyl ether blends.” Proceedings of the ASME 2010 4th International Conference on Energy Sustainability. ASME 2010 4th International Conference on Energy Sustainability, Volume 1. Phoenix, Arizona, USA. 639–649. ASME. https://doi.org/10.1115/ES2010-90510
Jeyakumar N, Narayanasamy B (2020) Effect of Basil antioxidant additive on the performance, combustion and emission characteristics of used cooking oil biodiesel in CI engine. J Therm Anal Calorim 140(1):457–473
Prabu A (2018) Nanoparticles as additive in biodiesel on the working characteristics of a DI diesel engine. Ain Shams Eng J 9:2343–2349
Nutakki PK, Gugulothu SK, Ramachander J (2021) Effect of metal-based SiO2 nanoparticles blended concentration on performance, combustion and emission characteristics of CRDI diesel engine running on Mahua methyl ester biodiesel. SILICON. https://doi.org/10.1007/s12633-021-01001-x
Ramachander J. &Gugulothu S. K. &Sastry G. R. K (2021) Performance and emission reduction characteristics of metal based SiO2 nanoparticle additives blended with ternary fuel (diesel-MME-pentanol) on CRDI diesel engine, Silicon: https://doi.org/10.1007/s12633-021-01024-4
Rodriguez IM, Laresgoiti MF, Cabrero MA, Torres A, Chom´on MJ, Caballero BM (2001) Pyrolysis of scrap tyres. Fuel Process Technol 72(1):9–22
Sharma A, Murugan S (2015) Potential for using a tyre pyrolysis oil biodiesel blend in a diesel engine at different compressionratios. Energy Convers Manag 93:289–297
Yusof SNA, Asako Y, Japar WAM, Mohamed SB, Muhammad NM (2020) A comprehensive review of the influences of nanoparticles as a fuel additive in an internal combustion engine (ICE). Nanotechnol Rev 9:1326–1349
SivalingamMurugan MR (2008) ChandrasekaranRamaswamy, GovindanNagarajan, Influence of distillation on performance, emission, and combustion of a Di diesel engine, using tyre pyrolysis oil diesel blends. Therm Sci 12(1):157–167
Srinivasan SK, Kuppusamy R, Krishnan P (2021) Effect of nanoparticle-blended biodiesel mixtures on diesel engine performance, emission, and combustion characteristics. Environ SciPollut Res. https://doi.org/10.1007/s11356-021-13367-x
Pan S, Wei J, Tao C, Gang LV, Qian Y, Liu Q, Han W (2021) Discussion on the combustion, performance and emissions of a dual fuel diesel engine fuelled with methanol-based CeO2 nanofluids. Fuel 302:121096
Subramani K, Karuppusamy M (2021) Performance, combustion and emission characteristics of variable compression ratio engine using waste cooking oil biodiesel with added nanoparticles and diesel blends, Environ Sci Pollut Res Int 28(45):63706–63722. https://doi.org/10.1007/s11356-021-14768-8
Suresh Vellaiyan CM, AnandPartheeban, (2020) Combined effect of water emulsion and ZnO nanoparticle on emissions pattern of soybean biodiesel fuelled diesel engine. Renew Energy 149:1157–1166
Syed AC, Saravanan CG (2017) Effects of nano metal oxide blended Mahua biodiesel on CRDI diesel engine. Ain Shams Eng J 8:689–696
Vihar R, Seljak T, Opre_snik SR, Katra_snik T, (2015) Combustion characteristics of tire pyrolysis oil in turbo charged compression ignition engine. Fuel 150:226–235
Williams PT (2013) Pyrolysis of waste tyres: a review. Waste Manag 33(8):1714–1728
Acknowledgements
The authors acknowledge the M. Kumarasamy College of Engineering, Karur, Tamil Nadu, India, for providing the laboratory facilities towards supporting this work.
Author information
Authors and Affiliations
Contributions
Ramesh Chinnappan: data curation, formal analysis, investigation, methodology, writing-original draft, writing-review and editing.
Mohanraj Chandran: data curation, formal analysis, investigation, methodology, writing-original draft, writing-review and editing.
Rajvikram Madurai Elavarasan: data curation, formal analysis, investigation, methodology, writing-original draft, writing-review and editing.
Parthipan Nadarajan: writing-review and editing.
Corresponding authors
Ethics declarations
Consent to participate
Manuscript received the consent from authors to submit the article.
Consent for publication
Manuscript received the consent from Institute and authors to submit the article.
Conflict of interest
Not applicable.
Additional information
Responsible Editor: Philippe Garrigues
Publisher's note
Springer Nature remains neutral with regard to jurisdictional claims in published maps and institutional affiliations.
Rights and permissions
About this article
Cite this article
Chinnappan, R., Chandran, M., Elavarasan, R.M. et al. Influence of hybrid SiO2 and CeO2 nanoparticles on diesel engine emission operated with distilled tire oil blend. Environ Sci Pollut Res 29, 30568–30583 (2022). https://doi.org/10.1007/s11356-021-17883-8
Received:
Accepted:
Published:
Issue Date:
DOI: https://doi.org/10.1007/s11356-021-17883-8


