Abstract
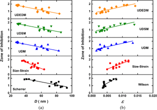
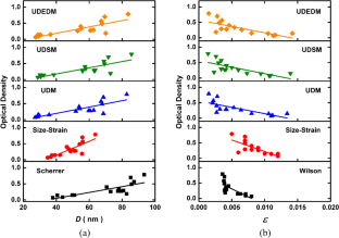
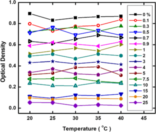
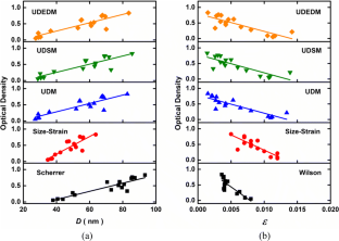
Pure NiO and NiO thin films doped with 0.1 to 25% Cu were grown on pre-heated soda-lime glass substrates via spray pyrolysis technique. The surface roughness of the NiO:Cu thin films decreased as Cu/Ni ratio was increased. Antifungal activity of these thin films against Aspergillus niger (A. niger) which affects some of the fruits, and Macrophomina phaseolina (M. phaseolina) which is a soil borne fungus responsible for the infection of root and lower stem of several plants, was then investigated by bioassay and broth dilution methods. The antifungal response of pure NiO thin film was weak but it improved considerably on doping with copper. The higher the copper content in NiO:Cu thin film, the better was its antifungal response. Moreover, for the given Cu/Ni ratio range of 0–25%, the optical density (OD) of Potato Dextrose (PD) broth inoculated with A. niger and containing NiO:Cu material was reduced or antifungal ability was enhanced by 8.3, 9.9, 11.7, and 13.4 times for the exposure time of 6, 8, 10, and 12 days, respectively. Similarly, the OD of PD broth inoculated with M. phaseolina and containing NiO:Cu material was reduced or antifungal ability was enhanced by 16–37 times in the exposure temperature range of 20–40 °C. A linear relationship of OD with crystallite size and lattice strain of the thin films showed that NiO:Cu material possessed memory of the structural modifications induced by the dopant atoms though its phase changed from crystalline to non-crystalline state. These results can be utilized in agricultural sector.

Graphical abstract










Similar content being viewed by others
Data availability
This paper is based primarily on the PhD Thesis of Dr. Muzamil Aftab, available in the repository of Higher Education Commission, Islamabad. He is listed as first/principal author. All the data is available.
References
Aftab M, Butt MZ, Ali D, Bashir F, Aftab ZH (2020) Impact of copper doping in NiO thin films on their structure, morphology, and antibacterial activity against Escherichia coli. Ceram Int 46:5037–5049
Aftab M, Butt MZ, Ali D, Bashir F, Aftab ZH (2021a) Corrigendum to “Impact of copper doping in NiO thin films on their structure, morphology, and antibacterial activity against Escherichia coli”. Ceram Int 47:8740–8742
Aftab M, Butt MZ, Ali D, Bashir F, Khan TM (2021b) Optical and electrical properties of NiO and Cu-doped NiO thin films deposited by spray pyrolysis. Optic Mater 119:111369 (18 pages)
Agrios GN (2005) Plant Pathology 5th Edition. Elsevier Academic Press, San Diego
Argueta-Figueroa L, Morales-Luckien RA, Scougall-Vilchis RJ, Olea-Mejía OF (2014) Synthesis, characterization and antibacterial activity of copper, nickel and bimetallic Cu–Ni nanoparticles for potential use in dental materials. Prog Nat Sci: Mater Int 24:321–328
Bahrulolum H, Nooraei S, Javanshir N, Tarrahimofrad H, Mirbagheri VS, Easton AJ, Ahmadian G (2021) Green synthesis of metal nanoparticles using microorganisms and their application in the agrifood sector. J Nanobiotechnol 19:86 (26 pages)
Beevi MH, Vignesh S, Pandiyarajan T, Jegatheesan P, James RA, Giridharan NV, Karthikeyan B (2012) Synthesis and antifungal studies on CuO nanostructures. Adv Mater Res 488:666–670
Butt MZ (2014) Laser ablation characteristics of metallic materials: role of Debye-Waller thermal parameter. In: Qaisar S, Khan AN, Mukhtar EA (eds) IOP Conf. Ser.: Mater. Sci. Eng. (eds.) vol. 60. IOP publishing, London, p 012068
Butt MZ (2015) Debye-Waller thermal parameter of crystalline materials as a determinant of their properties in various phases: an overview. Mater Tod: Proc 2:5102–5110
Chapman J, Orrell-Trigg R, Kwoon KY, Truong VK, Cozzolino D (2021) A high-throughput and machine learning resistance monitoring system to determine the point of resistance for Escherichia coli with tetracycline: combining UV-visible spectrophotometry with principal component analysis. Biotechnol Bioeng 118:1511–1519
Fredborg M, Andersen KR, Jørgensen E, Aida Droce A, Olesen T, Jensen BB, Rosenvinge ES, Sondergaarda TE (2013) Real-time optical antimicrobial susceptibility testing. J Clin Microbiol 51:2047–2053
Hawksworth DL, Lücking R (2017) Fungal diversity revisited: 2.2 to 3.8 million species. Micr Spec 5:1–17
Horcas I, Fernández F, Rodríguez JMG, Colchero J, Herrero JG, Baro AM (2007) WSXM: A software for scanning probe microscopy and a tool for nanotechnology. Rev Sci Instrum 78:01370 (8 pages)
Hrenovic J, Milenkovic J, Daneu N, Kepcija RM, Rajic N (2012) Antimicrobial activity of metal oxide nanoparticles supported onto natural clinoptilolite. Chemo. 88:1103–1107
Kim DH, Son JS, Kwon TY (2020) Antimicrobial effect of chlorhexidine-releasing porous hydroxyapatite scaffold incorporated with human serum albumin nanoparticles. Mater Lett 266:127479 (1 – 4)
Kumar P, Mathpal MC, Inwati GK, Ghosh S, Kumar V, Roos WD, Swart HC (2020) Optical and surface properties of Zn doped CdO nanorods and antimicrobial applications. Colloids Surf A Physicochem Eng Asp 605:125369 (18 pages)
Kumar P, Inwati GK, Mathpal MC, Ghosh S, Roos WD, Swart HC (2021) Defects induced enhancement of antifungal activities of Zn doped CuO nanostructures. Appl Surf Sci 560:150026 (18 pages)
Lyden A, Lombardi L, Sire W, Li P, Simpson JC, Butler G, Lee GU (2017) Characterization of carboxylate nanoparticle adhesion with the fungal pathogen Candida albicans. Nanoscale 9:15911–15922
Müller C, Klemm S, Fleck C (2021) Bracket fungi, natural lightweight construction materials: hierarchical microstructure and compressive behavior of Fomes fomentarius fruit bodies. App Phys A 127:1–11
Nallendran R, Selvan G, Balu AR (2019) NiO coupled CdO nanoparticles with enhanced magnetic and antifungal properties. Surf Inter 15:11–18
Nehra P, Chauhan RP (2019) Antimicrobial activity of magnetic nanostructures. In: Abd-Elsalam K, Mohamed M, Prasad R (eds) Magnetic Nanostructures Nanotechnology in the Life Sciences. Springer, Cham, pp 301–318
Nuruzzaman M, Rahman MM, Liu Y, Naidu R (2016) Nanoencapsulation, nano-guard for pesticides: a new window for safe application. J Agric Food Chem 64:1447–1483
Panpatte DG, Jhala YK, Shelat HN, Vyas RV (2016) Nanoparticles: the next generation technology for sustainable agriculture. In: Singh D, Singh H, Prabha R (eds) Microbial Inoculants in Sustainable Agricultural Productivity. Springer, New Delhi. https://doi.org/10.1007/978-81-322-2644-4_18
Parimaladevi R, Parvathi VP, Lakshmi SS, Umadevi M (2018) Mater Lett 211:82–86
Shang Y, Hasan MK, Ahammed GJ, Li M, Yin H, Zhou J (2019) Applications of nanotechnology in plant growth and crop protection: a review. Molecules 24:2558 (23 pages)
Suganya M, Balu AR, Anitha S, Prabha D, Balamurugan S, Priyanka B, Srivind J, Nagarethinam VS (2018) PbS-NiO nanocomposite material with enhanced magnetic, photocatalytic and antifungal properties. Mater Sci Eng B 229:118–125
Suresh S, Karthikeyan S, Saravanan P, Jayamoorthy K (2016) Comparison of antibacterial and antifungal activities of 5-amino-2-mercaptobenzimidazole and functionalized NiO nanoparticles. Karb Intl J Mod Sci 2:188–195
Ul-Haq I, Ijaz S (2019) Use of Metallic Nanoparticles and nanoformulations as nanofungicides for sustainable disease management in plants. In: Prasad R, Kumar V, Kumar M, Choudhary D (eds) Nanobiotechnology in Bioformulations. Nanotechnology in the Life Sciences. Springer, Cham, pp 289–316. https://doi.org/10.1007/978-3-030-17061-5_12
Vesper SJ, Wong W, Kuo CM, Pierson DL (2008) Mold species in dust from the International Space Station identified and quantified by mold-specific quantitative PCR. Res Microbiol 159:432–435
Acknowledgements
We are most grateful to the learned reviewers for their constructive criticism and valuable suggestions to improve the manuscript.
Author information
Authors and Affiliations
Contributions
Muzamil Aftab: conception, specimen preparation, data evaluation, figures
Muhammad Zakria Butt: project supervision, writing of manuscript, figures
Dilawar Ali: co-supervision
Zille Huma Aftab: data evaluation
Muhammad Usman Tanveer: SEM micrograph analysis
Bakhtawar Fayyaz: data evaluation
Corresponding author
Ethics declarations
Ethics approval
Not applicable
Consent to participate
All authors whose names appear on the submission
(i) Made substantial contributions to the conception or design of the work; or the acquisition, analysis, or interpretation of data
(ii) Drafted the work or revised it critically for important intellectual content
(iii) Approved the version to be published
(iv) Agree to be accountable for all aspects of the work in ensuring that questions related to the accuracy or integrity of any part of the work are appropriately investigated and resolved.
Consent for publication
All authors approve the version to be published and agree to be accountable for all aspects of the work in ensuring that questions related to the accuracy or integrity of any part of the work are appropriately investigated and resolved.
Conflict of interest
The authors declare no competing interests.
Additional information
Responsible Editor: Diane Purchase
Publisher’s note
Springer Nature remains neutral with regard to jurisdictional claims in published maps and institutional affiliations.
Highlights
• NiO and NiO:Cu thin films (0.1–25% Cu) were grown by spray pyrolysis.
• Antifungal activity of the films against A. niger and M. phaseolina was investigated.
• A. niger affects some fruits and M. phaseolina infects root and lower stem of plants.
• The higher the Cu content in NiO:Cu thin films, the better was their antifungal response.
• These results can be utilized in agricultural sector.
Rights and permissions
About this article
Cite this article
Aftab, M., Butt, M.Z., Ali, D. et al. Investigation of antifungal response of NiO and copper-doped NiO thin films against Aspergillus niger and Macrophomina phaseolina fungi. Environ Sci Pollut Res 29, 3840–3852 (2022). https://doi.org/10.1007/s11356-021-15945-5
Received:
Accepted:
Published:
Issue Date:
DOI: https://doi.org/10.1007/s11356-021-15945-5


