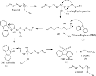
Abstract
The world faces the challenge to produce ultra-low sulfur diesel with low-cost technology. Therefore, this research emphasised on production of low sulfur fuel utilising nanoparticle catalyst under mild condition. A small amount of cobalt oxide (10–30 wt%) was introduced into the Fe/Al2O3 catalyst through the wet impregnation method. Cobalt modification induces a positive effect on the performance of the iron catalyst. Hence, the insertion of cobalt species into Fe/Al2O3 led to the formation of lattice fringes in all directions which resulted in the formation of Co3O4 and Fe3O4 species. The optimised catalyst, Co/Fe–Al2O3, calcined at 400 °C with a dopant ratio of 10:90 indicating the highest desulfurisation activity by removing 96% of thiophene, 100% of dibenzothiophene (DBT) and 92% of 4,6-dimethyl dibenzothiophene (4,6-DMDBT). Based on the density functional theory (DFT) on Co/Fe–Al2O3, two pathways with the overall energy of −40.78 eV were suggested for the complete oxidation of DBT.














Similar content being viewed by others
Explore related subjects
Discover the latest articles and news from researchers in related subjects, suggested using machine learning.References
Abdullah WNW, Ali R, Bakar WAWA (2016) In depth investigation of Fe/MoO3-PO4/Al2O3 catalyst in oxidative desulfurization of Malaysian diesel with TBHP-DMF system. J Taiwan Inst Chem Eng 58:344–350
Abdullah WNW, Bakar WAWA, Ali R, Mokhtar WNAW, Omar MF (2017) Catalytic oxidative desulfurization technology of supported ceria based catalyst: physicochemical and mechanistic studies. J Clean Prod 162:1455–1464
Akter, N., Zhang, S., Lee, J., Kim, D.H, Boscoboinik, J.A., Kim,T., (2017). Selective catalytic reduction of NO by ammonia and NO oxidation Over Cox/CeO2 catalysts, Molecular Catalyst, 482
Alvarez-Amparán MA, Guillén-Aguilar D, Cedeño-Caero L (2020) Mo-WFe based catalysts to the oxidative desulfurization of refractory dibenzothiophene compounds: Fe promoting the catalytic performance. Fuel Process Technol 198:106233
Arcibar-Orozco JA, Acosta-Herrera AA, Rangel-Mendez JR (2019) Simultaneous desulfuration and denitrogenation of model diesel fuel by Fe-Mn microwave modified activated carbon: iron crystalline habit influence on adsorption capacity. J Clean Prod 218:69–82
Bakar WAWA, Ali R, Kadir AAA, Mokhtar WNAW (2012) Effect of transition metal oxides catalysts on oxidative desulfurization of model diesel. Fuel Process Technol 101:78–84
Bian H, Zhang H, Li D, Zhang S, Xia B (2020) Insight into the oxidative desulfurization mechanism of aromatic sulfur compounds over Ti-MWW zeolite: a computational study. Microporous Mesoporous Mater J 294:109837
Cao Y, Shen L, Hu X, Du Z, Jiang L (2016) Low temperature desulfurization on Co-doped a -FeOOH: tailoring the phase composition and creating the defects. Chem Eng J 306:124–130
Cristiano DM, Mohedano RDA, Nadaleti WC, Junior ABCD, Lourenco VA, Goncalves DFH, Filho PB (2020) H2S adsorption on nanostructured iron oxide at room temperature for biogas purification: application of renewable energy. Renew Energy 154:151–160
Danmaliki GI, Saleh TA (2016) Influence of conversion parameters of waste tires to activated carbon on adsorption of dibenzothiophene from model fuels. J Clean Prod 117:50–55
Farzin Nejad N, Shams E, Amini MK (2015) Synthesis of magnetic ordered mesoporous carbon 554 (Fe-OMC) adsorbent and its evaluation for fuel desulfurization. J Magn Magn Mater 390:1–7
Gong L, Hou Y, Wu W, Yang F, Ren S (2019) Catalytic O2 oxidation of lignite to carboxylic acids with iron-based catalysts in acidic aqueous solution. Fuel 191:54–59
Guo W, Wang CY, Shen X, Lu XP (2013) The ultra-deep oxidative desulfurization of diesel fuel by an MnO2/Al2O3 hydrogen peroxide/aldehyde system. Pet Sci Technol 31:215–223
Juliao D, Gomes AC, Pillinger M, Valenca R, Ribeiro JC, Goncalves IS, Balula SS (2018) Desulfurization of liquid fuels by extraction and sulfoxidation using H2O2 and [CpMo(CO)3R] as catalysts. Appl Catal B: Environ 230:177–183
Khadim WA, MDeraman MA, Abdullah SB, Tajuddin SN, Yusoff MM, Taufiq yap, Y.H., Rahim, M.H.A. (2017) Efficient and reusable iron-zinc oxide catalyst for oxidative desulfurization of model fuel. J Environ Chem Eng 5:1645–1656
Liu R, Dou S, Yu M (2017a) Oxidative desulfurization of fuel oil catalysed by magnetically recoverable nano-Fe3O4/SiO2 supported heteropoly compound. J Clean Prod 168:1048–1058
Liu D, Wang A, Chenguang P (2017b) Role Ni2P/Al2O3 catalyst prepared by separating the nickel compound and hypophosphite. Catal Today 292:133–142
Liu, Y.,Leus, K., Sun, Z., Li, X., Depauw, H., Wang, A., Zhang, J., Van Der Voort, P.,(2019). Catalytic oxidative desulfurization of model diesel and real diesel over a molybdenum anchored metal-organic framework, 277, 245- 252.
Mardwita M, Yusmartini ES, Wisudawati N (2020) Effects of cobalt and chromium loadings to the catalytic activities of supported metal catalysts in methane oxidation. Bulletin Chem Reaction Eng Catalysis 15(1):213–2020
Mokhtar WNAW, Bakar WAWA, Ali R, Kadir AAA (2014) Catalytic oxidative desulfurization of diesel by Co/Mn/Al2O3 catalyst- tert-butyl hydroperoxide system (TBHP): characterization, reaction and mechanism. Clean Techn Environ Policy 17:1487–1497
Moslemi A, Chermahini AN, Sarpini JN, Razaci S, Barati M (2019) Chemical engineers VOHPO4. 5H2O / KIT-6 composites: preparation and their application in extractive and catalytic oxidation desulfurization of benzothiophene and dibenzothiophene. J Taiwan Inst Chem Eng 97:237–246
Muhammad Y, Shoukat A, Rahman AU, Rashid HU, Ahmad W (2018) Oxidative desulfurization of dibenzothiophene of Fe promoted Co-Mo/Al2O3 and Ni-Mo/Al2O3 catalyst using hydroperoxide and formic acid as oxidant. Chin J Chem Eng 26:593–600
Padak B, Wilox J (2009) Understanding mercury binding on activated carbon. Carbon 47:2855–2864
Ramosa JM, Wanga JA, Floresa SO, Chena LF, Navab N, Navarreteb J, Domínguezb JM, Szpunarc JA (2020) Ultrasound-assisted synthesis, and catalytic activity of mesostructured FeOx / SBA-15 and FeOx / Zr-SBA-15 catalysts for the oxidative desulfurization of model diesel. Catal Today 349:198–209
Rivoira L, Juarez J, Falcon H, Costa MG, Anunziata O, Beltramone A (2017) Vanadium and titanium oxide supported on mesoporous CMK-3 as new catalysts for oxidative desulfurization. Catal Today 282:123–132
Shen F, Liu J, Zhang Z, Duong Y, Gu C (2018) Density functional study of hydrogen sulfide adsorption mechanism on activated carbon. Fuel Process Technol 171:258–264
Toteva V, Geogiev A, Tapalavo L (2009) Oxidative desulphurization of light cycle oil Monitoring by FTIR spectroscopy. Fuel 90:965–970
Way L, Wui S, Liu S, Cui S, Liu J, Zhang S (2018) Cobalt impregnated porous catalyst promoting ammonium sulfate recovery in an ammonia-based desulfurization process. Chem Eng J 331:416–424
Wei S, He H, Cheng Y, Zeng G, Kang L, Qian H, Zhu C (2017) Preparation, characterization, and catalytic performances of cobalt catalysts supported on KIT-6 silicas in oxidative desulfurization of dibenzothiophene. Fuel 200:11–21
Wei Y, Wu P, Luo J, Dai L, Li H, Zhang M, Chen L, Wang L, Zhu W, Li H (2020) Synthesis of hierarchical porous BCN using ternary deep eutectic solvent as precursor and template for aerobic oxidative desulfurization. Microporous Mesoporous Mater 293:109788
Yeng X, Wang H, Deyonker NJ, Mo G, Zhou R, Zhou C (2014) Reaction mechanism of oxidative desulfurization of heterocyclic organic sulfides: a computational study. Theory Chem 133:1498
Zeng X, Mo G, Wang H, Zhao R, Zhao C (2014) Oxidation mechanism of dibenzothiophene compounds: a computational study. Computational Theoretical Chem 1037:22–27
Acknowledgements
The authors are grateful for the financial support by Ministry of Higher Education Malaysia through FRGS Grant under vot (203.PKIMIA.6711921) and Universiti Sains Malaysia (USM) for Short Term Grant (304/PKIMIA/6315052).
Author information
Authors and Affiliations
Contributions
Wan Nazwanie Wan Abdullah: conceptualisation, validation, supervision, funding acquisition
Nor Atiq Syakila Mohd Nazmi: resources; writing—original draft; investigation
Fazira Ilyana Abdul Razak: writing—review and editing; data curation
Wan Nur Aini Wan Mokhtar: writing—review and editing; data curation
Farook Adam: writing—review and editing; data curation
Mohamad Nasir Mohamad Ibrahim: writing—review and editing; data curation
Noorfatimah Yahaya: writing—review and editing; data curation
Nurasmat Mohd Shukri: writing—review and editing; data curation
Salmiah Jamal Mat Rosid: writing—review and editing; data curation
Corresponding author
Ethics declarations
Ethics approval and consent to participate
Not applicable
Consent for publication
Not applicable
Availability of data and materials
Not applicable
Competing interests
The authors declare no competing interests.
Additional information
Responsible Editor: Santiago V. Luis
Publisher’s note
Springer Nature remains neutral with regard to jurisdictional claims in published maps and institutional affiliations.
Rights and permissions
About this article
Cite this article
Nazmi, .A.S.M., Razak, F.I.A., Mokhtar, W.N.A.W. et al. Catalytic oxidative desulfurisation over Co/Fe-γAl2O3 catalyst: performance, characterisation and computational study. Environ Sci Pollut Res 29, 1009–1020 (2022). https://doi.org/10.1007/s11356-021-15733-1
Received:
Accepted:
Published:
Issue Date:
DOI: https://doi.org/10.1007/s11356-021-15733-1


