Abstract
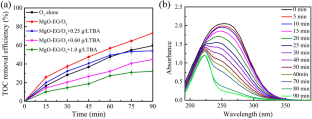
Magnesium oxide/expanded graphite (MgO/EG) catalyst was synthesized and applied for enhancing the degradation of Cu-ethylenediaminetetraacetic acid (Cu-EDTA) in an aqueous solution. The MgO/EG catalyst was characterized by XRD, SEM, EDS, and FTIR. For assessing the catalytic activity of MgO/EG, essential influencing factors were investigated including catalyst dosage, O3 dosage, initial pH, initial Cu-EDTA concentration, and coexisting ions. The results show that the catalytic material showed high catalytic oxidation capacity for the Cu-EDTA removal in the MgO/EG/O3 system. 100% of Cu(II) and 73.2% of TOC removal efficiency could be achieved in the MgO/EG/O3 system at the reaction times of 90 min. This efficiency was higher than that seen for other systems, including O3 alone (Cu(II) 81.4%/TOC 60.6%), EG/O3 (84.2%/64.1), MgO/EG (< 4%/< 4%), and EG (< 4%/< 4%). A small decrease in the Cu(II) and TOC removal rate was observed after three runs in the stability and reusability experiments of the catalyst. Assays with radical scavenging experiments confirmed that MgO/EG-mediated oxidation was dependent on a hydroxyl radical pathway. The UV–vis spectra confirmed that the absorption peak of Cu-EDTA was gradually decreased and finally disappeared.








Similar content being viewed by others
Explore related subjects
Discover the latest articles and news from researchers in related subjects, suggested using machine learning.Availability of data and materials
All data generated or analyzed during this study are included in this published article.
References
Alinejad A, Akbari H, Ghaderpoori M, Jeihooni AK, Adibzadeh A (2019) Catalytic ozonation process using a MgO nano-catalyst to degrade methotrexate from aqueous solutions and cytotoxicity studies in human lung epithelial cells (A549) after treatment. RSC Adv 9:8204–8214
Bader H, Hoigné J (1981) Determination of ozone in water by the indigo method. Water Res 15(4):449–456
Chen H, Wang J (2019) Catalytic ozonation of sulfamethoxazole over Fe3O4/Co3O4 composites. Chemosphere 234:14–24
Chen J, Tian S, Lu J, Xiong Y (2015) Catalytic performance of MgO with different exposed crystal facets towards the ozonation of 4-chlorophenol. Appl Catal A Gen 506:118–125
Chung DDL (2016) A review of exfoliated graphite. J Mater Sci 51:554–568
Durante C, Cuscov M, Isse AA, Sandonà G, Gennaro A (2011) Advanced oxidation processes coupled with electrocoagulation for the exhaustive abatement of Cr-EDTA. Water Res 45(5):2122–2130
Guan W, Zhang B, Tian S, Zhao X (2018) The synergism between electro-Fenton and electrocoagulation process to remove Cu-EDTA. Appl Catal B Environ 227:252–257
Guan Z, Guo Y, Li S, Feng S, Deng Y, Ou X, Ren J, Sun S, Liang J (2020) Decomplexation of heterogeneous catalytic ozonation assisted with heavy metal chelation for advanced treatment of coordination complexes of Ni. Sci Total Environ 732:139223
Guo H, Jiang N, Wang H, Shang K, Lu N, Li J, Wu Y (2019) Enhanced catalytic performance of graphene-TiO2 nanocomposites for synergetic degradation of fluoroquinolone antibiotic in pulsed discharge plasma system. Appl Catal B Environ 248:552–566
He J, Song L, Yang H, Ren X, Xing L (2017) Preparation of sulfur-Free exfoliated graphite by a two-step intercalation process and its application for adsorption of oils. J Chem 2017:1–8
He J, Chen S, Yang S, Song W, Yu C, Song L (2020a) Fabrication of MoS2 loaded on expanded graphite matrix for high-efficiency pH-universal hydrogen evolution reaction. J Alloys Compd 828:154370
He J, Song W, Gao Z, Huang X (2020b) Calcium carbonate/expanded graphite as an efficient catalyst for catalytic ozonation of ethylenediaminetetraacetic acid. Environ Eng Sci 37(6):450–456
Huang X, Xu Y, Shan C, Li X, Zhang W, Pan B (2016) Coupled Cu(II)-EDTA degradation and Cu(II) removal from acidic wastewater by ozonation: performance, products and pathways. Chem Eng J 299:23–29
Jiraroj D, Unob F, Hagège A (2006) Degradation of Pb-EDTA complex by a H2O2/UV process. Water Res 40(1):107–112
Ju F, Hu Y (2011) Removal of EDTA-chelated copper from aqueous solution by interior microelectrolysis. Sep Purif Technol 78(1):33–41
Kalantary R, R, Moradi M, Pirsaheb M, Esrafili A, Jafari AJ, Gholami M, Vasseghian Y, Antolini E, Dragoi EN (2019) Enhanced photocatalytic inactivation of E. coli by natural pyrite in presence of citrate and EDTA as effective chelating agents: Experimental evaluation and kinetic and ANN models. J Environ Chem Eng 7(1):102906
Kamarehie B, Jafari A, Ghaderpoori M, Karami MA, Mousavi K, Ghaderpoury A (2019) Catalytic ozonation process using PAC/γ-Fe2O3 to Alizarin Red S degradation from aqueous solutions: a batch study. Chem Eng Commun 206:898–908
Lan S, Xiong Y, Tian S, Feng J, Xie T (2016) Enhance self-catalytic degradation of Cu-EDTA in the presence of H2O2/UV: evidence and importance of Cu-peroxide as a photo-active intermediate. Appl Catal B Environ 183:371–376
Li W, Qiang Z, Zhang T, Cao F (2012) Kinetics and mechanism of pyruvic acid degradation by ozone in the presence of PdO/CeO2. Appl Catal B Environ 113-114:290–295
Liu Z, Tu J, Wang Q, Cui Y, Zhang L, Wu X, Zhang B, Ma J (2018) Catalytic ozonation of diethyl phthalate in aqueous solution using graphite supported zinc oxide. Sep Purif Technol 200:51–58
Mashayekh-Salehi A, Moussavi G, Yaghmaeian K (2017) Preparation, characterization and catalytic activity of a novel mesoporous nanocrystalline MgO nanoparticle for ozonation of acetaminophen as an emerging water contaminant. Chem Eng J 310:157–169
Meng X, Liu Z, Deng C, Zhu M, Wang D, Li K, Deng Y, Jiang M (2016) Microporous nano-MgO/diatomite ceramic membrane with highpositive surface charge for tetracycline removal. J Hazard Mater 320:495–503
Miklos DB, Remy C, Jekel M, Linden KG, Drewes JE, Hübner U (2018) Evaluation of advanced oxidation processes for water and wastewater treatment-A critical review. Water Res 139(1):118–131
Moradi M, Elahinia A, Vasseghian Y, Dragoi EN, Omidi F, Khaneghah AM (2020a) A review on pollutants removal by Sono-photo -Fenton processes. J Environ Chem Eng 8(5):104330
Moradi M, Vasseghian Y, Khataee A, Kobya M, Arabzade H, Dragoi EN (2020b) Service life and stability of electrodes applied in electrochemical advanced oxidation processes: a comprehensive review. J Ind Eng Chem 87:18–39
Moradi M, Vasseghian Y, Khataee A, Harati M, Arfaeinia H (2021) Ultrasound-assisted synthesis of FeTiO3/GO nanocomposite for photocatalytic degradation of phenol under visible light irradiation. Sep Purif Technol 261:118274
Moussavi G, Mahmoudi M (2019) Degradation and biodegradability improvement of the reactive red 198 azo dye using catalytic ozonation with MgO nanocrystals. Chem Eng J 152:1–7
Moussavi G, Aghapour AA, Yaghmaeian K (2014) The degradation and mineralization of catechol using ozonation catalyzed with MgO/GAC composite in a fluidized bed reactor. Chem Eng J 249:302–310
Nasseh N, Arghavan FS, Rodriguez-Couto S, Panahi AH, Esmati M, A-Musawi TJ (2020) Preparation of activated carbon@ZnO composite and its application as a novel catalyst in catalytic ozonation process for metronidazole degradation. Adv Powder Technol 31(2):875–885
Nawrocki J, Kasprzyk-Hordern B (2010) The efficiency and mechanisms of catalytic ozonation. Appl Catal B Environ 99(1-2):27–42
Oturan MA, Aaron JJ (2014) Advanced oxidation processes in water/wastewater treatment: principles and applications. a review. Crit Rev Environ Sci Technol 44:2577–2641
Qiu W, Zheng M, Sun J, Tian Y, Fang M, Zheng Y, Zhang T, Zheng C (2019) Photolysis of enrofloxacin, pefloxacin and sulfaquinoxaline in aqueous solution by UV/H2O2, UV/Fe(II), and UV/H2O2/Fe(II) and the toxicity of the final reaction solutions on zebrafish embryos. Sci Total Environ 651:1457–1468
Restivo J, Órfão JJM, Pereira MFR, Garcia-Bordejé E, Roche P, Bourdin D, Houssais B, Coste M, Derrouiche S (2013) Catalytic ozonation of organic micropollutants using carbon nanofibers supported on monoliths. Chem Eng J 230:115–123
Wang T, Cao Y, Qu G, Sun Q, Xia T, Guo X, Jia H, Zhu L (2018) Novel Cu(II)-EDTA decomplexation by discharge plasma oxidation and coupled Cu removal by alkaline precipitation: underneath mechanisms. Environ Sci Technol 52(14):7884–7891
Wei K, Cao X, Gu W, Liang P, Oturan X, Zhang X (2019) Ni-induced C-Al2O3-framework (NiCAF) supported core-multishell catalysts for efficient catalytic ozonation: a structure-to-performance study. Environ Sci Technol 53(12):6917–6926
Xie W, Zhou F, Bi X, Chen D, Huang Z, Li Y, Sun S, Liu J (2019) Decomposition of Nickel(II)-Ethylenediaminetetraacetic acid by Fenton-like reaction over oxygen vacancies-based Cu-Doped Fe3O4@γ-Al2O3 catalyst: a synergy of oxidation and adsorption. Chemosphere 221:563–572
Xu M, Li J, Yan Y, Zhao X, Yan J, Zhang Y, Lai B, Chen X, Song L (2019) Catalytic degradation of sulfamethoxazole through peroxymonosulfate activated with expanded graphite loaded CoFe2O4 particles. Chem Eng J 369:403–413
Yang JK, Davis AP (2000) Photocatalytic oxidation of Cu(II)-EDTA with illuminated TiO2: mechanisms. Environ Sci Technol 34(17):3796–3801
Yang Y, Cao H, Peng P, Bo H (2014) Degradation and transformation of atrazine under catalyzed ozonation process with TiO2 as catalyst. J Hazard Mater 279:444–451
Yang Y, Zhang P, Jia J (2019) Vanadium-doped MnO2 for efficient room-temperature catalytic decomposition of ozone in air. Appl Surf Sci 484:45–53
Ye X, Zhang J, Zhang Y, Lv Y, Dou R, Wen S, Li L, Chen Y, Hu Y (2016) Treatment of Ni-EDTA containing wastewater by electrocoagulation using iron scraps packed-bed anode. Chemosphere 164:304–313
Yu X, Zhang Y, Cheng X (2014) Preparation and photoelectrochemical performance of expanded graphite/TiO2 composite. Electrochim Acta 137:668–675
Zhang G, Zhong J, Xu M, Yang Y, Li Y, Fang Z, Tang S, Yuan D, Wen B, Gu J (2019a) Ternary BiVO4/NiS/Au nanocomposites with efficient charge separations for enhanced visible light photocatalytic performance. Chem Eng J 375:122093
Zhang L, Wu B, Zhang G, Gan Y, Zhang S (2019b) Enhanced decomplexation of Cu(II)-EDTA: The role of acetylacetone in Cu-mediated photo-Fenton reactions. Chem Eng J 358:1218–1226
Zhou J, Yang S, Yu J (2011) Facile fabrication of mesoporous MgO microspheres and their enhanced adsorption performance for phosphate from aqueous solutions. Colloids Surf A Physicochem Eng Asp 379(1-3):102–108
Funding
This work was supported by the Natural Science Foundation of Hebei Province (No. B2020203013).
Author information
Authors and Affiliations
Contributions
All authors contributed to the study conception and design. Supervision, writing-review and editing: Jun He; methodology, formal analysis, data curation, writing-original draft: Wenchao Song; visualization, data curation: Xiaohan Huang; investigation, formal analysis: Zuoyu Gao. All authors read and approved the final manuscript.
Corresponding author
Ethics declarations
Ethics approval and consent to participate
Not applicable.
Consent for publication
Not applicable.
Conflict of interest
The authors declare no conflict of interest.
Additional information
Responsible Editor: Ricardo Torres-Palma
Publisher’s note
Springer Nature remains neutral with regard to jurisdictional claims in published maps and institutional affiliations.
Rights and permissions
About this article
Cite this article
He, J., Song, W., Huang, X. et al. Preparation, characterization, and catalytic activity of a novel MgO/expanded graphite for ozonation of Cu-EDTA. Environ Sci Pollut Res 28, 39513–39523 (2021). https://doi.org/10.1007/s11356-021-13551-z
Received:
Accepted:
Published:
Issue Date:
DOI: https://doi.org/10.1007/s11356-021-13551-z


