Skip to main content

Seasonal characteristics of boundary layer over a high-altitude rural site in Western India: implications on dispersal of particulate matter

Abstract

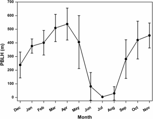
The temporal variability of the planetary boundary layer height (PBLH) over Mahabaleshwar was studied for a period of 1 year from 1 December 2015 to 30 November 2016 using microwave radiometer (MWR) observations. The PBLH over Mahabaleshwar was found to be the highest during the pre-monsoon (March–May) season and lowest during the winter (December–February) season. The seasonal mean of PBLH was estimated to be 339±88 m during winter, 485±70 m during pre-monsoon, 99±153 m during monsoon, and 438±24 m during post-monsoon season. Frequency distribution analysis of PBLH during pre-monsoon season revealed that the formation of turbulence internal boundary layer (TIBL) is evident. In contrast, cold and moist air mass during the monsoon season enhances the wind shear with lower buoyancy term which results in lowering of PBLH. The comparison of PBLH between MWR and radiosonde observations shows a good correlation (r2 = 0.66, p=0.001). The growth rate was observed to be 388 m/h during pre-monsoon, 206 m/h during winter, 57 m/h during monsoon, and 167 m/h during post-monsoon season. The seasonal mean concentration of PM2.5 was found to be 42.3±4.6 μg/m3during winter, 33.4±8.7 μg/m3 during pre-monsoon, 6.6±2.2 μg/m3 during monsoon, and 26.1±1.7 μg/m3during post-monsoon season. The effect of higher loading of scattering-type aerosol (dust particle) was also investigated as a case study. The analysis reveals the inverse relationship between the PBL height variability and the particulate loading indicating the importance of aerosol direct effect. Analysis of the ventilation coefficient (Vc) revealed that the dissipation potential was higher (1736 m2/s) during pre-monsoon season as compared to (1191 m2/s, 455m2/s, and 1580 m2/s) winter, monsoon, and post-monsoon seasons.

This is a preview of subscription content, access via your institution.

Fig. 1
Fig. 2
Fig. 3
Fig. 4
Fig. 5
Fig. 6
Fig. 7
Fig. 8
Fig. 9
Fig. 10
Fig. 11
Fig. 12
Fig. 13

References

  • Balaji B, Prabha TV, Rao YJ et al (2017) Potential of collocated radiometer and wind profiler observations for monsoon studies. Atmos Res 194:17–26. https://doi.org/10.1016/j.atmosres.2017.04.023

    Article  Google Scholar 

  • Buchunde P, Safai PD, Mukherjee S et al (2019) Characterisation of particulate matter at a high-altitude site in southwest India: impact of dust episodes. J Earth Syst Sci 128(8):237

    Article  Google Scholar 

  • Chan PW, Hon KK (2011) Application of ground-based, multi-channel microwave radiometer in the nowcasting of intense convective weather through instability indices of the atmosphere. Meteorol Z 20:431–440. https://doi.org/10.1127/0941-2948/2011/0276

    Article  Google Scholar 

  • Cimini D, Campos E, Ware R, Albers S, Giuliani G, Oreamuno J, Joe P, Koch SE, Cober S, Westwater E (2011) Thermodynamic atmospheric profiling during the 2010 winter olympics using ground-based microwave radiometry. IEEE Trans Geosci Remote Sens 49:4959–4969. https://doi.org/10.1109/TGRS.2011.2154337

    Article  Google Scholar 

  • Collaud Coen M, Praz C, Haefele A, Ruffieux D, Kaufmann P, Calpini B (2014) Determination and climatology of the planetary boundary layer height above the Swiss plateau by in situ and remote sensing measurements as well as by the COSMO-2 model. Atmos Chem Phys 14:13205–13221. https://doi.org/10.5194/acp-14-13205-2014

    CAS  Article  Google Scholar 

  • de Arruda MG, Guerrero-Rascado JL, Bravo-Aranda JA et al (2018) Study of the planetary boundary layer by microwave radiometer, elastic lidar and Doppler lidar estimations in Southern Iberian Peninsula. Atmos Res 213:185–195. https://doi.org/10.1016/j.atmosres.2018.06.007

    Article  Google Scholar 

  • de Arruda Moreira G et al (2020) Study of the planetary boundary layer height in an urban environment using a combination of microwave radiometer and ceilometer. Atmos Res 2020:104932

    Article  Google Scholar 

  • Draxler RR, Rolph GD, (2003) HYSPLIT (HYbrid Single-Particle Lagrangian Integrated 710 Trajectory) NOAA Air Resources Laboratory, Silver Spring, MD.Model access via 711 NOAA ARL READY Website.

    Google Scholar 

  • Friedrich K, Lundquist JK, Aitken M, Kalina EA, Marshall RF (2012) Stability and turbulence in the atmospheric boundary layer: a comparison of remote sensing and tower observations. Geophys Res Lett 39:1–6. https://doi.org/10.1029/2011GL050413

    Article  Google Scholar 

  • Garratt JR (1994) Review: the atmospheric boundary layer. Earth Sci Rev 37:89–134. https://doi.org/10.1016/0012-8252(94)90026-4

    Article  Google Scholar 

  • Granados-Munoz MJ, Navas-Guzmán F, Bravo-Aranda JA et al (2012) Automatic determination of the planetary boundary layer height using lidar: one-year analysis over southeastern Spain. J Geophys Res Atmos 117:1–10. https://doi.org/10.1029/2012JD017524

    Article  Google Scholar 

  • Holzworth GC (1964) Estimates of mean maximum mixing depths in the contiguous United States. Mon Weather Rev 92(5):235–242

    Article  Google Scholar 

  • Hu M, Liu S, Wu ZJ et al (2006) Effects of high temperature, high relative humidity and rain process on particle size distributions in the summer of Beijing. Huanjingkexue= Huanjingkexue 27(11):2293–2298

    Google Scholar 

  • Hu XM, Ma ZQ, Lin W, Zhang H, Hu J, Wang Y, Xu X, Fuentes JD, Xue M (2014) Impact of the Loess Plateau on the atmospheric boundary layer structure and air quality in the North China Plain: a case study. Sci Total Environ 499:228–237. https://doi.org/10.1016/j.scitotenv.2014.08.053

    CAS  Article  Google Scholar 

  • Kim DK, Lee DI (2015) Atmospheric thickness and vertical structure properties in wintertime precipitation events from microwave radiometer, radiosonde and wind profiler observations. Meteorol Appl 22:599–609. https://doi.org/10.1002/met.1494

    Article  Google Scholar 

  • Konwar M, Das SK, Deshpande SM, Chakravarty K, Goswami BN (2014) Microphysics of clouds and rain over the Western Ghat. J Geophys Res-Atmos 119(10):6140–6159

    Article  Google Scholar 

  • Leena PP, Dani KK, Nath A, Sanap SD, Pandithurai G, Anil Kumar V (2015) Validation of ground-based microwave radiometer data and its application in verifying atmospheric stability over Mahbubnagar during 2011 monsoon and post-monsoon seasons. Int J Remote Sens 36:2920–2933. https://doi.org/10.1080/01431161.2015.1051632

    Article  Google Scholar 

  • Leena PP, Vijayakumar K, Anilkumar V, Pandithurai G (2017) Analysing temporal variability of particulate matter and possible contributing factors over Mahabaleshwar, a high-altitude station in Western Ghats, India. J Atmos Solar-Terrestrial Phys 164:105–115. https://doi.org/10.1016/j.jastp.2017.08.013

    CAS  Article  Google Scholar 

  • Li H, Yang Y, Hu XM, Huang Z, Wang G, Zhang B, Zhang T (2017) Evaluation of retrieval methods of daytime convective boundary layer height based on lidar data. J Geophys Res-Atmos 122(8):4578–4593. https://doi.org/10.1002/2016JD025620

    Article  Google Scholar 

  • Liu ZR, Sun Y, Li L, Wang YS (2011) Particle mass concentrations and size distribution during and after the Beijing Olympic Games. Huanjingkexue= Huanjingkexue 32(4):913–923

    CAS  Google Scholar 

  • Löhnert U, Maier O (2012) Operational profiling of temperature using ground-based microwave radiometry at Payerne: Prospects and challenges. Atmos Meas Tech 5:1121–1134. https://doi.org/10.5194/amt-5-1121-2012

    Article  Google Scholar 

  • Madhulatha A, Rajeevan M, Venkat Ratnam M, Bhate J, Naidu CV (2013) Nowcasting severe convective activity over southeast India using ground-based microwave radiometer observations. J Geophys Res Atmos 118:1–13. https://doi.org/10.1029/2012JD018174

    Article  Google Scholar 

  • Mahalakshmi, D. V., Badarinath, K. V. S., & Naidu, C. V. (2011). Influence of boundary layer dynamics on pollutant concentrations over urban region–a study using ground based measurements. 92.60. Mt; 92.60. Sz.

    Google Scholar 

  • Miao Y, Liu S, Guo J, Yan Y, Huang S, Zhang G, Zhang Y, Lou M (2018) Impacts of meteorological conditions on wintertime PM 2.5 pollution in Taiyuan, North China. Environ Sci Pollut Res 25(22):21855–21866

    CAS  Article  Google Scholar 

  • Miao Y, Liu S, Zheng Y, Wang S (2016) Modeling the feedback between aerosol and boundary layer processes: a case study in Beijing, China. Environ Sci Pollut Res 23(4):3342–3357. https://doi.org/10.1007/s11356-015-5562-8

    CAS  Article  Google Scholar 

  • Pal S, Xueref-Remy I, Ammoura L, Chazette P, Gibert F, Royer P, Dieudonné E, Dupont JC, Haeffelin M, Lac C, Lopez M, Morille Y, Ravetta F (2012) Spatio-temporal variability of the atmospheric boundary layer depth over the Paris agglomeration: an assessment of the impact of the urban heat island intensity. Atmos Environ 63:261–275

    CAS  Article  Google Scholar 

  • Posada R, García-Ortega E, Sánchez JL, López L (2013) Verification of the MM5 model using radiosonde data from Madrid-Barajas Airport. Atmos Res 122:174–182. https://doi.org/10.1016/j.atmosres.2012.10.018

    Article  Google Scholar 

  • Ratnam MV, Santhi YD, Rajeevan M, Rao SVB (2013) Diurnal variability of stability indices observed using radiosonde observations over a tropical station: comparison with microwave radiometer measurements. Atmos Res 124:21–33. https://doi.org/10.1016/j.atmosres.2012.12.007

    Article  Google Scholar 

  • Sánchez JL, Posada R, García-Ortega E, López L, Marcos JL (2013) A method to improve the accuracy of continuous measuring of vertical profiles of temperature and water vapor density by means of a ground-based microwave radiometer. Atmos Res 122:43–54. https://doi.org/10.1016/j.atmosres.2012.10.024

    CAS  Article  Google Scholar 

  • Seibert P, Beyrich F, Gryning SE et al (2000) Review and intercomparison of operational methods for the determination of the mixing height. Atmos Environ 34(7):1001–1027

    CAS  Article  Google Scholar 

  • Seidel DJ, Ao CO, Li K (2010) Estimating climatological planetary boundary layer heights from radiosonde observations: Comparison of methods and uncertainty analysis. J Geophys Res-Atmos 115:D16. https://doi.org/10.1029/2009JD013680

    Article  Google Scholar 

  • Spänkuch D, Güldner J, Steinhagen H, Bender M (2011) Analysis of a dryline-like feature in northern Germany detected by ground-based microwave profiling. Meteorol Z 20:409–421. https://doi.org/10.1127/0941-2948/2011/0222

    Article  Google Scholar 

  • Stull, R. B. (1988) An introduction to boundary layer meteorology. Springer Science & Business Media. ISBN 9027727686.

    Book  Google Scholar 

  • Wang G, Zhang R, Gomez ME, Yang L, Levy Zamora M, Hu M, Lin Y, Peng J, Guo S, Meng J, Li J, Cheng C, Hu T, Ren Y, Wang Y, Gao J, Cao J, An Z, Zhou W, Li G, Wang J, Tian P, Marrero-Ortiz W, Secrest J, du Z, Zheng J, Shang D, Zeng L, Shao M, Wang W, Huang Y, Wang Y, Zhu Y, Li Y, Hu J, Pan B, Cai L, Cheng Y, Ji Y, Zhang F, Rosenfeld D, Liss PS, Duce RA, Kolb CE, Molina MJ (2016) Persistent sulfate formation from London Fog to Chinese haze. Proc Natl Acad Sci 113(48):13630–13635

    CAS  Article  Google Scholar 

  • Wang Z, Cao X, Zhang L, Notholt J, Zhou B, Liu R, Zhang B (2012) Lidar measurement of planetary boundary layer height and comparison with microwave profiling radiometer observation. Atmos Meas Tech 5:1965–1972. https://doi.org/10.5194/amt-5-1965-2012

    Article  Google Scholar 

  • Wei J, Tang G, Zhu X, Wang L, Liu Z, Cheng M, Münkel C, Li X, Wang Y (2018) Thermal internal boundary layer and its effects on air pollutants during summer in a coastal city in North China. J Environ Sci 70:37–44

    Article  Google Scholar 

  • Zhang R (2010) Getting to the critical nucleus of aerosol formation. Science (80- ) 328:1366–1367. https://doi.org/10.1126/science.1189732

    CAS  Article  Google Scholar 

  • Zhang R, Wang G, Guo S, Zamora ML, Ying Q, Lin Y, Wang W, Hu M, Wang Y (2015) Formation of urban fine particulate matter. Chem Rev 115(10):3803–3855

    CAS  Article  Google Scholar 

  • Zhu X, Tang G, Guo J, Hu B, Song T, Wang L, Xin J, Gao W, Münkel C, Schäfer K, Li X, Wang Y (2018) Mixing layer height on the North China Plain and meteorological evidence of serious air pollution in southern Hebei. Atmos Chem Phys 18:4897–4910. https://doi.org/10.5194/acp-18-4897-2018

    CAS  Article  Google Scholar 

  • Zhu X, Tang G, Hu B, Wang L, Xin J, Zhang J, Liu Z, Münkel C, Wang Y (2016) Regional pollution and its formation mechanism over North China plain: a case study with ceilometer observations and model simulations. J Geophys Res 121:14574–14588. https://doi.org/10.1002/2016JD025730

    CAS  Article  Google Scholar 

Download references

Acknowledgements

Authors would like to thank the Director, IITM, for the continuous encouragement and support. IITM and HACPL are fully funded by the Ministry of Earth Sciences, Govt. of India.

Availability of data and materials

Data can be made available on request to the authors.

Funding

High Altitude Cloud Physics Laboratory (HACPL) is fully funded by the Ministry of Earth Sciences, Government of India.

Author information

Affiliations

Authors

Contributions

Mohammed Yusuff Aslam and Subrata Mukherjee conceptualized the work. Vasudevan Anil Kumar, Rohit Dilip Patil, Sachin Suresh Patil, Shrikant Dutta Dudhambe, and Sanjay Kumar Saha collected data and performed QA/QC. Mohammed Yusuff Aslam and Subrata Mukherjee performed the analysis and wrote the paper. Govindan Pandithurai corrected the manuscript and helped in interpreting the results.

Corresponding author

Correspondence to Subrata Mukherjee.

Ethics declarations

Ethics approval and consent to participate

“Not applicable” for that specific section.

Consent for publication

“Not applicable” for that specific section.

Competing interests

The authors declare no competing interest.

Additional information

Publisher’s note

Springer Nature remains neutral with regard to jurisdictional claims in published maps and institutional affiliations.

Responsible Editor: Philippe Garrigues

Rights and permissions

Reprints and Permissions

About this article

Verify currency and authenticity via CrossMark

Cite this article

Aslam, M.Y., Mukherjee, S., Kumar, V.A. et al. Seasonal characteristics of boundary layer over a high-altitude rural site in Western India: implications on dispersal of particulate matter. Environ Sci Pollut Res 28, 35266–35277 (2021). https://doi.org/10.1007/s11356-021-13163-7

Download citation

  • Received:

  • Accepted:

  • Published:

  • Issue Date:

  • DOI: https://doi.org/10.1007/s11356-021-13163-7

Keywords

  • PBLH
  • PM2.5
  • TIBL
  • Ventilation coefficient
  • MWR
  • Radiosonde