Abstract
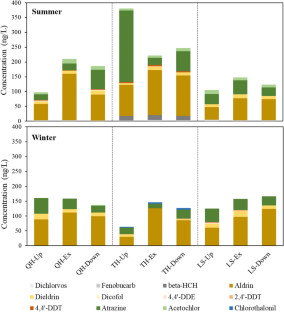
Pesticides in the environment can pose serious risks to aquatic ecosystems. This study focused on the existence of 27 pesticides, including 13 pesticides regulated by the Stockholm Convention as persistent organic pollutants (POPs) and 14 commonly used pesticides in three urban rivers in Beijing that receive effluents from three municipal wastewater treatment plants (MWTPs). Among the 27 pesticides, 12 were detected at least once over a period of 4 seasons. Atrazine, aldrin and dieldrin were universally found in the three rivers, with the highest concentrations being 311, 163 and 23.3 ng/L, respectively. HCHs, DDTs, heptachlor and endosulfan, which are POPs, were detected at lower concentrations (ND–16.7 ng/L). Most of the insecticides and some of the herbicides in the rivers originated from MWTP effluents. The risk assessment results showed that aldrin posed medium risk (0.1 ≤ RQ < 1) to fish, and atrazine exhibited medium risk to both fish and algae. Despite the implementation of the Stockholm Convention and the upgrades of MWTPs emitting ozone, high loads of aldrin, atrazine and dieldrin were discharged to the rivers. Efforts should be devoted to identifying POP pesticide sources and upgrading MWTPs with other technologies to ensure the ecological safety of rivers.





Similar content being viewed by others
Explore related subjects
Discover the latest articles and news from researchers in related subjects, suggested using machine learning.References
Amiard J-C, Amiard-Triquet C (2015) Chapter 2—conventional risk assessment of environmental contaminants. In: Amiard-Triquet C, Amiard J-C, Mouneyrac C (eds) Aquatic Ecotoxicology. Academic Press, Cambridge, pp 25–49
Arisekar U, Shakila RJ, Jeyasekaran G, Shalini R, Kumar P, Malani AH, Rani V (2019) Accumulation of organochlorine and pyrethroid pesticide residues in fish, water, and sediments in the Thamirabarani river system of southern peninsular India. Environ Nanotechnol Monitor Manag 11:100194
Barco-Bonilla N, Romero-González R, Plaza-Bolaños P, Martínez Vidal JL, Garrido Frenich A (2013) Systematic study of the contamination of wastewater treatment plant effluents by organic priority compounds in Almeria province (SE Spain). Sci Total Environ 447:381–389
Barion A, Balsaa P, Werres F, Neuhaus U, Schmidt TC (2018) Stability of organochlorine pesticides during storage in water and loaded SPE disks containing sediment. Chemosphere 210:57–64
Bollmann UE, Tang C, Eriksson E, Jönsson K, Vollertsen J, Bester K (2014) Biocides in urban wastewater treatment plant influent at dry and wet weather: concentrations, mass flows and possible sources. Water Res 60:64–74
Bourgin M, Beck B, Boehler M, Borowska E, Fleiner J, Salhi E, Teichler R, von Gunten U, Siegrist H, McArdell CS (2018) Evaluation of a full-scale wastewater treatment plant upgraded with ozonation and biological post-treatments: abatement of micropollutants, formation of transformation products and oxidation by-products. Water Res 129:486–498
Chen J, Liu C, Yang Z, Wang J (2008) Residues and characteristics of organochlorine pesticides in the surface water in the suburb of Beijing. Earth Sci Front 15:242–247
Chen Y, Yu K, Hassan M, Xu C, He Y (2018) Occurrence, distribution and risk assessment of pesticides in a river-reservoir system. Ecotoxicol Environ Saf 166:320–327
Cruz-Alcalde A, Sans C, Esplugas S (2018) Priority pesticide dichlorvos removal from water by ozonation process: reactivity, transformation products and associated toxicity. Sep Purif Technol 192:123–129
Derco J, Dudáš J, Valičková M, Šimovičová K, Kecskés J (2015) Removal of micropollutants by ozone based processes. Chem Eng Process Process Intensif 94:78–84
Donna G, Thomas PS, Van Meter RJ, Black CM, Henderson MW (2018) Analysis of pesticides in surface water, stemflow, and throughfall in an agricultural area in South Georgia, USA. Chemosphere 209:496–507
Eggen RIL, Hollender J, Joss A, Schärer M, Stamm C (2014) Reducing the discharge of micropollutants in the aquatic environment: the benefits of upgrading wastewater treatment plants. Environ Sci Technol 48:7683–7689
EPA USEPA (2017) Atrazine ecological exposure monitoring program data and results. https://www.epa.gov/ingredients-used-pesticide-products/atrazine-ecological-exposure-monitoring-program-data-and-results. Accessed Nov 2020
Florian H, Heinz S, Beno TPC, Weixiao Q, Huijuan L, Philipp L, Beat M, Michael B (2012) Organic micropollutants in rivers downstream of the megacity Beijing: sources and mass fluxes in a large-scale wastewater irrigation system. Environ Sci Technol 46:8680–8688
Gaur N, Narasimhulu K, PydiSetty Y (2018) Recent advances in the bio-remediation of persistent organic pollutants and its effect on environment. J Clean Prod 198:1602–1631
Ge J, Cong J, Sun Y, Li G, Zhou Z, Qian C, Liu F (2010) Determination of endocrine disrupting chemicals in surface water and industrial wastewater from Beijing, China. Bull Environ Contam Toxicol 84:401–405
Glinski DA, Purucker ST, Meter RJV, Black MC, Henderson WM (2018) Analysis of pesticides in surface water, stemflow, and throughfall in an agricultural area in South Georgia, USA. Chemosphere 209:496–507
Grung M, Lin Y, Zhang H, Steen AO, Huang J, Zhang G, Larssen T (2015) Pesticide levels and environmental risk in aquatic environments in China—a review. Environ Int 81:87–97
He W, Kong X, Qin N, He Q, Xu F (2019) Combining species sensitivity distribution (SSD) model and thermodynamic index (exergy) for system-level ecological risk assessment of contaminates in aquatic ecosystems. Environ Int 133:105275
Heeb F, Singer H, Pernet-Coudrier B, Qi W, Liu H, Longrée P, Müller B, Berg M (2012) Organic micropollutants in rivers downstream of the megacity Beijing: sources and mass fluxes in a large-scale wastewater irrigation system. Environ Sci Technol 46:8680–8688
Heinz-R K, Rita T (2013) Wildlife ecotoxicology of pesticides: can we track effects to the population level and beyond? Science 341:759–765
Hernando MD, Mezcua M, Fernández-Alba AR, Barceló D (2006) Environmental risk assessment of pharmaceutical residues in wastewater effluents, surface waters and sediments. Talanta 69:334–342
Iturburu FG, Calderon G, Amé MV, Menone ML (2019) Ecological Risk Assessment (ERA) of pesticides from freshwater ecosystems in the Pampas region of Argentina: legacy and current use chemicals contribution. Sci Total Environ 691:476–482
Jhamtani RC, Shukla S, Sivaperumal P, Dahiya MS, Agarwal R (2018) Impact of co-exposure of aldrin and titanium dioxide nanoparticles at biochemical and molecular levels in Zebrafish. Environ Toxicol Pharmacol 58:141–155
Jiujiang S, Xiaoping W, Ping G, Joswiak DR, Lide T, Tandong Y, Jones KC (2013) Monsoon-driven transport of organochlorine pesticides and polychlorinated biphenyls to the Tibetan Plateau: three year atmospheric monitoring study. Environ Sci Technol 47:3199–3208
Joss A, Siegrist H, Ternes TA (2008) Are we about to upgrade wastewater treatment for removing organic micropollutants? Water Sci Technol 57:251–255
Kan K-C, Gu X-H, Li H-M, Chen H-H, Mao Z-G, Zeng Q-F (2020) Distribution and risk assessment of OCPs in surface water, sediments, and fish from Lake Gucheng and inflow and outflow rivers. Huan jing ke xue=Huanjing kexue 41:1346–1356
Katsoyiannis A, Samara C (2004) Persistent organic pollutants (POPs) in the sewage treatment plant of Thessaloniki, northern Greece: occurrence and removal. Water Res 38:2685–2698
Lewis M, Thursby G (2018) Aquatic plants: test species sensitivity and minimum data requirement evaluations for chemical risk assessments and aquatic life criteria development for the USA. Environ Pollut 238:270–280
Li X, Zhang Q, Dai J, Gan Y, Zhou J, Yang X, Cao H, Jiang G, Xu M (2008a) Pesticide contamination profiles of water, sediment and aquatic organisms in the effluent of Gaobeidian wastewater treatment plant. Chemosphere 72:1145–1151
Li X, Zhang Q, Dai J, Gan Y, Zhou J, Yang X, Cao H, Jiang G, Xu M (2008b) Pesticide contamination profiles of water, sediment and aquatic organisms in the effluent of Gaobeidian wastewater treatment plant. Chemosphere 72:1145–1151
Liu C, Li K, Yu L, Xu Y, Huang B, Wu J, Wang Z (2013) POPs and their ecological risk in sewage sludge of waste water treatment plants in Beijing, China. Stoch Env Res Risk A 27:1575–1584
Liu Z, Demeestere K, Van Hulle S (2019) Enhanced ozonation of trace organic contaminants in municipal wastewater plant effluent by adding a preceding filtration step: comparison and prediction of removal efficiency. ACS Sustain Chem Eng 7:14661–14668
Ma Y, Yun X, Ruan Z, Lu C, Shi Y, Qin Q, Men Z, Zou D, Du X, Xing B, Xie Y (2020) Review of hexachlorocyclohexane (HCH) and dichlorodiphenyltrichloroethane (DDT) contamination in Chinese soils. Sci Total Environ 749:141212
Malakootian M, Shahesmaeili A, Faraji M, Amiri H, Silva Martinez S (2020) Advanced oxidation processes for the removal of organophosphorus pesticides in aqueous matrices: a systematic review and meta-analysis. Process Saf Environ Prot 134:292–307
Man YB, Chow KL, Wang HS, Lau KY, Sun XL, Wu SC, Cheung KC, Chung SS, Wong MH (2011) Health risk assessment of organochlorine pesticides with emphasis on DDTs and HCHs in abandoned agricultural soils. J Environ Monit 13:2250–2259
Man YB, Chow KL, Cheng Z, Kang Y, Wong MH (2018) Profiles and removal efficiency of organochlorine pesticides with emphasis on DDTs and HCHs by two different sewage treatment works. Environ Technol Innov 9:220–231
Margot J, Kienle C, Magnet A, Weil M, Rossi L, Alencastro LFD, Abegglen C, Thonney D, Chèvre N, Schärer M (2013) Treatment of micropollutants in municipal wastewater: ozone or powdered activated carbon? Sci Total Environ 461-462:480–498
Metcalfe CD, Sultana T, Li H, Helm PA (2016) Current-use pesticides in urban watersheds and receiving waters of western Lake Ontario measured using polar organic chemical integrative samplers (POCIS). J Great Lakes Res 42:1432–1442
Nguyen TX, Nguyen BT, Tran HTT, Mai H, Bach Q-V (2019) Seasonal, spatial variation, and potential sources of organochlorine pesticides in water and sediment in the lower reaches of the Dong Nai river system in Vietnam. Arch Environ Contam Toxicol 77:514–526
Ormad MP, Miguel N, Lanao M, Mosteo R, Ovelleiro JL (2010) Effect of application of ozone and ozone combined with hydrogen peroxide and titanium dioxide in the removal of pesticides from water. Ozone Sci Eng 32:25–32
Palma P, Kock-Schulmeyer M, Alvarenga P, Ledo L, Barbosa IR, López de Alda M, Barceló D (2014) Risk assessment of pesticides detected in surface water of the Alqueva reservoir (Guadiana basin, southern of Portugal). Sci Total Environ 488-489:208–219
Pan H, Lei H, He X, Xi B, Xu Q (2019) Spatial distribution of organochlorine and organophosphorus pesticides in soil-groundwater systems and their associated risks in the middle reaches of the Yangtze River Basin. Environ Geochem Health 41:1833–1845
Pernet-Coudrier B, Qi W, Liu H, Müller B, Berg M (2012) Sources and pathways of nutrients in the semi-arid region of Beijing–Tianjin, China. Environ Sci Technol 46:5294–5301
Qi W, Singer H, Berg M, Müller B, Pernet-Coudrier B, Liu H, Qu J (2015) Elimination of polar micropollutants and anthropogenic markers by wastewater treatment in Beijing, China. Chemosphere 119:1054–1061
Qiao M, Zheng Y-M, Zhu Y-G (2011) Material flow analysis of phosphorus through food consumption in two megacities in northern China. Chemosphere 84:773–778
Qiao M, Bai Y, Cao W, Huo Y, Zhao X, Liu D, Li Z (2018) Impact of secondary effluent from wastewater treatment plants on urban rivers: polycyclic aromatic hydrocarbons and derivatives. Chemosphere 211:185–191
Rani L, Thapa K, Kanojia N, Sharma N, Singh S, Grewal AS, Srivastav AL, Kaushal J (2020) An extensive review on the consequences of chemical pesticides on human health and environment. J Clean Prod 283:124657
Revankar PR, Shyama SK (2009) Genotoxic effects of monocrotophos, an organophosphorous pesticide, on an estuarine bivalve, Meretrix ovum. Food Chem Toxicol 47:1618–1623
Shao Y, Han S, Ouyang J, Yang G, Liu W, Ma L, Luo M, Xu D (2016) Organochlorine pesticides and polychlorinated biphenyls in surface water around Beijing. Environ Sci Pollut Res 23:24824–24833
Shi P, Zhou S, Xiao H, Qiu J, Li A, Zhou Q, Pan Y, Hollert H (2018) Toxicological and chemical insights into representative source and drinking water in eastern China. Environ Pollut 233:35–44
Tang X-Y, Yang Y, Tam NF-Y, Tao R, Dai Y-N (2018) Pesticides in three rural rivers in Guangzhou, China: spatiotemporal distribution and ecological risk. Environ Sci Pollut Res 26:3569–3577
Thomatou AA, Zacharias I, Hela D, Konstantinou I (2013) Determination and risk assessment of pesticide residues in lake Amvrakia (W. Greece) after agricultural land use changes in the lake's drainage basin. Int J Environ Anal Chem 93:780–799
UNEP (2009) Stockholm Convention on persistent organic pollutants. http://chm.pops.int/TheConvention/ThePOPs/AllPOPs
Vagi MC, Petsas AS (2020) Recent advances on the removal of priority organochlorine and organophosphorus biorecalcitrant pesticides defined by Directive 2013/39/EU from environmental matrices by using advanced oxidation processes: an overview (2007–2018). J Environ Chem Eng 8:102940
Vryzas Z, Alexoudis C, Vassiliou G, Galanis K, Papadopoulou-Mourkidou E (2011) Determination and aquatic risk assessment of pesticide residues in riparian drainage canals in northeastern Greece. Ecotoxicol Environ Saf 74:174–181
Wang H-S, Chen Z-J, Cheng Z, Du J, Man Y-B, Leung H-M, Giesy JP, Wong CKC, Wong M-H (2014) Aquaculture-derived enrichment of hexachlorocyclohexanes (HCHs) and dichlorodiphenyltrichloroethanes (DDTs) in coastal sediments of Hong Kong and adjacent mainland China. Sci Total Environ 466-467:214–220
Wang W, Bai J, Zhang G, Wang X, Jia J, Cui B, Liu X (2017) Depth-distribution, possible sources, and toxic risk assessment of organochlorine pesticides (OCPs) in different river sediment cores affected by urbanization and reclamation in a Chinese delta. Environ Pollut 230:1062–1072
Wu L, Kim SK (2020) Health outcomes of urban green space in China: evidence from Beijing. Sustain Cities Soc 65:102604
Wu C, Luo Y, Gui T, Huang Y (2014) Concentrations and potential health hazards of organochlorine pesticides in shallow groundwater of Taihu Lake region, China. Sci Total Environ 470-471:1047–1055
Xu X, Li C, Sun J, Wang H, Wang D, Song H, Wang Z (2016) Residue characteristics and ecological risk assessment of twenty-nine pesticides in surface water of major river-basin in China. Asian J Ecotoxicol 11:347–354
Xue N, Xu X, Jin Z (2005) Screening 31 endocrine-disrupting pesticides in water and surface sediment samples from Beijing Guanting reservoir. Chemosphere 61:1594–1606
Xue N, Zhang D, Xu X (2006) Organochlorinated pesticide multiresidues in surface sediments from Beijing Guanting reservoir. Water Res 40:183–194
Yang W, Wang R, Zhou C, Li F (2009) Distribution and health risk assessment of organochlorine pesticides (OCPs) in industrial site soils: a case study of urban renewal in Beijing, China. J Environ Sci 21:366–372
Yang G, Ma L, Xu D, Liu L, Jia H, Chen Y, Zhang Y, Chai Z (2012) Temporal variations of organochlorine pesticides in precipitation in Beijing, China. Atmos Environ 61:614–619
Zhang Z, Jun H, Gang Y, Huasheng H (2004) Occurrence of PAHs, PCBs and organochlorine pesticides in the Tonghui River of Beijing, China. Environ Pollut 130:249–261
Zheng S, Chen B, Qiu X, Chen M, Ma Z, Yu X (2016) Distribution and risk assessment of 82 pesticides in Jiulong River and estuary in South China. Chemosphere 144:1177–1192
Availability of data and materials
All data analysed during the current study are available in the supplementary material.
Funding
This work was supported by the project of Chinese Academy of Sciences (No. QYZDY-SSW-DQC004) and Major Science and Technology Program for Water Pollution Control and Treatment (No. 2017ZX07502003).
Author information
Authors and Affiliations
Contributions
Yangping Zhang analysed and processed all sample data and was a major contributor in writing the manuscript. Min Yang and Haifeng Zhang reviewed and edited the original draft. All authors read and approved the final manuscript.
Corresponding authors
Ethics declarations
Ethics approval and consent to participate
Not applicable for ethics approval and consent to participate.
Consent for publication
Not applicable for consent for publication.
Competing interests
The authors declare that they have no competing interests.
Additional information
Responsible Editor: Hongwen Sun
Publisher’s note
Springer Nature remains neutral with regard to jurisdictional claims in published maps and institutional affiliations.
Supplementary Information
ESM 1
(DOCX 75 kb)
Rights and permissions
About this article
Cite this article
Zhang, Y., Zhang, H. & Yang, M. Profiles and risk assessment of legacy and current use pesticides in urban rivers in Beijing, China. Environ Sci Pollut Res 28, 39423–39431 (2021). https://doi.org/10.1007/s11356-021-13140-0
Received:
Accepted:
Published:
Issue Date:
DOI: https://doi.org/10.1007/s11356-021-13140-0


