Skip to main content

A comparison of the removal efficiencies of Myriophyllum spicatum L. for zinc oxide nanoparticles (ZnO NP) in different media: a microcosm approach

Abstract

The phytoremediation potential of Myriophyllum spicatum L. has been well documented for bulk-sized heavy metals, including zinc (Zn). However, there is no information on the removal efficiencies of this aquatic macrophyte for zinc oxide nanoparticles contaminated waters. Therefore, the present study was aimed to compare the removal efficiency of M. spicatum in two different media: tap water and pond water. Results were evaluated by comparing percentage (%) removal and goodness-of-fit to regression models. Plants were exposed to 0.8 and 2 ppm nano-sized Zn for 1, 4, and 7 days. The zinc concentrations were monitored using ICP-MS. The %removal in tap water ranged between 29.5 and 70.3%, and slightly higher in pond water. Modeling results confirmed that there was a strong relationship between removal performance and exposure duration. Time-dependent removal shows that %removal shows no further progress after 4 days. Our results also indicate that planktonic communities in pond water might play an important role in the fate of ZnO NPs.

This is a preview of subscription content, access via your institution.

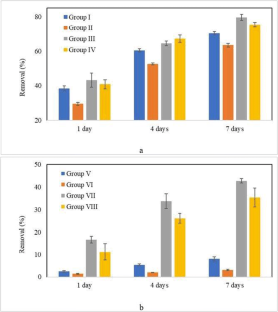
Fig. 1
Fig. 2
Fig. 3
Fig. 4
Fig. 5
Fig. 6
Fig. 7
Fig. 8
Fig. 9

References

  • Alberts B, Johnson A, Lewis J (2002) Transport into the cell from the plasma membrane: endocytosis. Molecular Biology of the Cell, 4th edn. Garland Science, New York

    Google Scholar 

  • Amde M, Liu JF, Tan ZQ, Bekana D (2017) Transformation and bioavailability of metal oxide nanoparticles in aquatic and terrestrial environments. Environ Pollut 230:250–267

    CAS  Article  Google Scholar 

  • Andreotti F, Mucha AP, Caetano C, Rodrigues P, Rocha Gomes C, Almeida CMR (2015) Interactions between salt marhs plants uptake and phytoremediation processes. Ecotoxicol Environ Saf 120:303–309

    CAS  Article  Google Scholar 

  • Aruoja V, Dubourguier HC, Kasemets K et al (2009) Toxicity of nanoparticles of CuO, ZnO and TiO2 to microalgae Pseudokirchneriella subcapitata. Sci Total Environ 407:1461–1468

  • Badawy AME, Luxton TP, Silva RG, Scheckel KG, Suidan MT, Tolaymat TM (2010) Impact of environmental conditions (pH, ionic strength, and electrolyte type) on the surface charge and aggregation of silver nanoparticles suspensions. Environ Sci Technol 44(4):1260–1266

    Article  CAS  Google Scholar 

  • Batley GE, Halliburton B, Kirby JK, Doolette CL, Navarro D, McLaughlin MJ, Veitch C (2013) Characterization and ecological risk assessment of nanoparticulate CeO2 as a diesel fuel catalyst. Environ Toxicol Chem 32(8):1896–1905

    CAS  Article  Google Scholar 

  • Bernas LJ (2016) Phytotoxicity of silver species to Egeria densa and applications to phytoremediation [Master Thesis]. Florida Institute of Technology, Florida

    Google Scholar 

  • Bhushan B, Murty BS, Mondal K (2019) A new approach for synthesis of ZnO nanorod flowerets and subsequent pure free-standing ZnO nanorods. Adv Powder Technol 30(1):30–41

    CAS  Article  Google Scholar 

  • Bhuvaneshwari M, Iswarya V, Vishnu S, Chandrasekaran N, Mukherjee A (2018) Dietary transfer of zinc oxide particles from algae (Scenedesmus obliquus) to a daphnid (Ceriodaphnia dubia). Environ Res 164:395–404

    CAS  Article  Google Scholar 

  • Bondarenko O, Juganson K, Ivask A, Kasemets K, Mortimer M, Kahru A (2013) Toxicity of Ag, CuO and ZnO nanoparticles to selected environmentally relevant test organisms and mammalian cells in vitro: a critical review. Arch Toxicol 87(7):1181–1200

    CAS  Article  Google Scholar 

  • Bour A, Mouchet F, Cadarsi S, Silvestre J, Verneuil L, Baqué D, Chauvet E, Bonzom JM, Pagnout C, Clivot H, Fourquaux I, Tella M, Auffan M, Gauthier L, Pinelli E (2016) Toxicity of CeO2 nanoparticles on a freshwater experimental trophic chain: a study in environmentally relevant conditions through the use of mesocosms. Nanotoxicology 10(2):245–255

    CAS  Google Scholar 

  • Brun NR, Lenz M, Wehrli B et al (2014) Comparative effects of zinc oxide nanoparticles and dissolved zinc on zebrafish embryos and eleuthero-embryos: importance of zinc ions. Sci Total Environ 476:657–666

    Article  CAS  Google Scholar 

  • Brunetti G, Donner E, Laera G, Sekine R, Scheckel KG, Khaksar M, Vasilev K, de Mastro G, Lombi E (2015) Fate of zinc and silver engineered nanoparticles in sewerage networks. Water Res 77:72–84

    CAS  Article  Google Scholar 

  • Cao D, Gong S, Shu X, Zhu D, Liang S (2019) Preparation of ZnO nanoparticles with high dispersibility based on oriented attachment (OA) process. Nanoscale Res Lett 14:210

    Article  CAS  Google Scholar 

  • Chen Y, Ding H, Sun S (2017) Preparation and characterization of ZnO nanoparticles supported on amorphous SiO2. Nanomaterials 7(8):217

    Article  CAS  Google Scholar 

  • Carvalho PM, Felicio MR, Santos NC et al (2018) Application of light scattering techniques to nanoparticle characterization and development. Front Chem. https://doi.org/10.3389/fchem.2018.00237

  • Chen X, O’Halloran J, Jansen MA (2018) Time matters: the toxicity of zinc oxide nanoparticles to Lemna minor L. increases with exposure time. Water Air Soil Pollut 229(3):99

    CAS  Article  Google Scholar 

  • Crow GE, Hellquist CB (2000) Aquatic and wetland plants of northeastern North America. University of Wisconsin Press, Madison

    Google Scholar 

  • Dumont E, Johnson AC, Keller VDJ, Williams RJ (2015) Nano silver and nano zinc-oxide in surface waters—exposure estimation for Europe at high spatial and temporal resolution. Environ Pollut 196:341–349

  • Ergönül MB, Nassouhi D, Atasağun S (2019) Modeling of the bioaccumulative efficiency of Pistia stratiotes exposed to Pb, Cd, and Pb+ Cd mixtures in nutrient-poor media. Int J Phytoremediation 22:201–209. https://doi.org/10.1080/15226514.2019.1652566

    CAS  Article  Google Scholar 

  • Fawzy MA, Badr NES, El-Khatib A et al (2012) Heavy metal biomonitoring and phytoremediation potentialities of aquatic macrophytes in River Nile. Environ Mon Assess 184(3):1753–1771

  • Franklin NM, Rogers NJ, Apte SC et al (2007) Comparative toxicity of nanoparticulate ZnO, bulk ZnO, and ZnCl2 to a freshwater microalga (Pseudokirchneriella subcapitata): the importance of particle solubility. Environ Sci Technol 41:8484–8490

  • Galal TM, Shehata HS (2014) Evaluation of the invasive macrophyte Myriophyllum spicatum L. as a bioaccumulator for heavy metals in some watercourses of Egypt. Ecol Indic 41:209–214

  • Gardea-Torresdey JL, Rico CM, White JC (2014) Trophic transfer, transformation, and impact of engineered nanomaterials in terrestrial environments. Environ Sci Technol 48(5):2526–2540

    CAS  Article  Google Scholar 

  • Glenn JB, White SA, Klaine SJ (2012) Interactions of gold nanoparticles with freshwater aquatic macrophytes are size and species dependent. Environ Toxicol Chem 31(1):194–201

    CAS  Article  Google Scholar 

  • Global Invasive Species Database (2020) Species profile: Myriophyllum spicatum. http://www.iucngisd.org/gisd/species.php?sc=278. Accessed 17 Feb 2020

  • Godara A, Srivastava S, Anandan A et al (2013) Engineered nanomaterials as disinfectants: benefits and health concerns. Int J Biotechnol Bioeng Res 4(3):191–195

    Google Scholar 

  • Goswami L, Kim KH, Deep A, Das P, Bhattacharya SS, Kumar S, Adelodun AA (2017) Engineered nano particles: nature, behaviour, and effect on the environment. J Environ Manag 196:297–315

    CAS  Article  Google Scholar 

  • Gottschalk F, Sonderer T, Scholz RW, Nowack B (2009) Modeled environmental concentrations of engineered nanomaterials (TiO2, ZnO, Ag, CNT, Fullerenes) for different regions. Environ Sci Technol 43:9216–9222

    CAS  Article  Google Scholar 

  • Gottschalk F, Sun TY, Nowack B (2013) Environmental concentrations of engineered nanomaterials: review of modeling and analytical studies. Environ Pollut 181:287–300

    CAS  Article  Google Scholar 

  • Guner A, Ekim T (2014) Illustrated Flora of Turkey. T. İş Bankası Yay, İstanbul (in Turkish)

    Google Scholar 

  • Hoagland DR, Arnon DI (1950) The water-culture method for growing plants without soil. Circular 347. Berkeley: Agricultural Experiment Station. University of California

  • Hu C, Liu X, Zhao Y (2014) Evaluation of growth and biochemical indicators of Salvinia natans exposed to zinc oxide nanoparticles and zinc accumulation in plants. Environ Sci Pollut Res 21:732–739

    CAS  Article  Google Scholar 

  • Hund-Rinke K, Simon M (2006) Ecotoxic effect of photocatalytic active nanoparticles (TiO2) on algae and daphnids. Environ Sci Pollut Res 13(4):225–232

    CAS  Article  Google Scholar 

  • Jahan S, Yusoff IB, Alias YB, Bakar AFBA (2017) Reviews of the toxicity behaviour of five potential engineered nanomaterials (ENMs) into the aquatic ecosystem. Toxicol Rep 4:211–220

    CAS  Article  Google Scholar 

  • Ji J, Long Z, Lin D (2011) Toxicity of oxide nanoparticles to the green algae Chlorella sp. Chem Eng 170(2-3):525–530

    CAS  Article  Google Scholar 

  • Jiang J, Oberdörster G, Biswas P (2009) Characterization of size, surface charge, and agglomeration state of nanoparticle dispersions for toxicological studies. J Nanopart Res 11(1):77–89

    CAS  Article  Google Scholar 

  • Jiang J, Pi J, Cai J (2018) The advancing of zinc oxide nanoparticles for biomedical applications. Bioinorg Chem Appl 2018:1–18. https://doi.org/10.1155/2018/1062562

    CAS  Article  Google Scholar 

  • Jiang W, Ding G, Peng H, Hu H (2010) Modeling of nanoparticles aggregation and sedimentation in nanofluid. Curr Appl Phys 10(3):934–941

    Article  Google Scholar 

  • Joo SH, Zhao D (2017) Environmental dynamics of metal oxide nanoparticles in heterogeneous systems: a review. J Hazard Mater 322:29–47

    CAS  Article  Google Scholar 

  • Kasemets K, Ivask A, Dubourguier HC et al (2009) Toxicity of nanoparticles of ZnO, CuO and TiO2 to yeast Saccharomyces cerevisiae. Toxicol In Vitro 23:1116–1122

  • Khan R, Inam MA, Zam SZ, Park D, Yeom I (2018) Assessment of key environmental factors influencing the sedimentation and aggregation behavior of zinc oxide nanoparticles in aquatic environment. Water 10(5):660

    Article  CAS  Google Scholar 

  • Kiser MA, Ryu H, Jang H, Hristovski K, Westerhoff P (2010) Biosorption of nanoparticles to heterotrophic wastewater biomass. Water Res 44(14):4105–4114

    CAS  Article  Google Scholar 

  • Lanone S, Rogerieux F, Geys J et al (2009) Comparative toxicity of 24 manufactured nanoparticles in human alveolar epithelial and macrophage cell lines. Part Fibre Toxicol 6(1):14

    Article  CAS  Google Scholar 

  • Li M, Pokhrel S, Jin X, Mädler L, Damoiseaux R, Hoek EM (2010) Stability, bioavailability, and bacterial toxicity of ZnO and iron-doped ZnO nanoparticles in aquatic media. Environ Sci Technol 45(2):755–761

    Article  CAS  Google Scholar 

  • Liyanage DD, Thamali RJ, Kumbalatara AAK et al (2016) An analysis of nanoparticle settling times in liquids. J Nanomater. https://doi.org/10.1155/2016/7061838

  • Lombi E, Donner E, Tavakkoli E, Turney TW, Naidu R, Miller BW, Scheckel KG (2012) Fate of zinc oxide nanoparticles during anaerobic digestion of wastewater and post-treatment processing of sewage sludge. Environ Sci Technol 46(16):9089–9096

    CAS  Article  Google Scholar 

  • Lopes S, Riberiro F, Wojnarowicz J et al (2014) Zinc oxide nanoparticles toxicity to Daphnia magna: size-dependent effects and dissolution. Environ Toxicol Chem 33(1):190–198

    CAS  Article  Google Scholar 

  • Lv J, Zhang S, Luo L, Han W, Zhang J, Yang K, Christie P (2012) Dissolution and microstructural transformation of ZnO nanoparticles under the influence of phosphate. Environ Sci Technol 46(13):7215–7221

    CAS  Article  Google Scholar 

  • Martin CW, Valentine JF (2014) Sexual and asexual reproductive strategies of invasive Eurasian milfoil (Myriophyllum spicatum) in estuarine environments. Hydrobiologia. 727:177–184

    Article  Google Scholar 

  • Maurer-Jones MA, Gunsolus IL, Murphy CJ, Haynes CL (2013) Toxicity of engineered nanoparticles in the environment. Anal Chem 85(6):3036–3049

    CAS  Article  Google Scholar 

  • Miao AJ, Zhang XY, Luo Z, Chen CS, Chin WC, Santschi PH, Quigg A (2010) Zinc oxide–engineered nanoparticles: Dissolution and toxicity to marine phytoplankton. Environ Toxicol Chem 29(12):2814–2822

    CAS  Article  Google Scholar 

  • Molina R, Al-Salama Y, Jurkschat K et al (2011) Potential environmental influence of amino acids on the behavior of ZnO nanoparticles. Chemosphere 83(4):545–551

    CAS  Article  Google Scholar 

  • Mudunkotuwa IA, Rupasinghe T, Wu CM, Grassian VH (2012) Dissolution of ZnO nanoparticles at circumneutral pH: a study of size effects in the presence and absence of citric acid. Langmuir 28(1):396–403

    CAS  Article  Google Scholar 

  • Naahidi S, Jafari M, Edalat F, Raymond K, Khademhosseini A, Chen P (2013) Biocompatibility of engineered nanoparticles for drug delivery. J Control Release 166(2):182–194

    CAS  Article  Google Scholar 

  • Naghipour D, Ashrafi SD, Gholamzadeh M, Taghavi K, Naimi-Joubani M (2018) Phytoremediation of heavy metals (Ni, Cd, Pb) by Azolla filiculoides from aqueous solution: A dataset. Data in brief 21:1409–1414

    Article  Google Scholar 

  • Nassouhi D, Ergönül MB, Fikirderşici Ş et al (2018) The use of some sub-mersed and free floating aquatic macrophytes in the bioremediation of heavy metal pollution. SDU-JEFF 14(2):148–165 (in Turkish)

    Google Scholar 

  • Odzak N, Kistler D, Sigg L (2017) Influence of daylight on the fate of silver and zinc oxide nanoparticles in natural aquatic environments. Environ Pollut 226:1–11

    CAS  Article  Google Scholar 

  • Olkhovych O, Svietlova N, Konotop Y, Karaushu O, Hrechishkina S (2016) Removal of metal nanoparticles colloidal solutions by water plants. Nanoscale Res Lett 11:518. https://doi.org/10.1186/s11671-016-1742-9

    CAS  Article  Google Scholar 

  • Osmond MJ, Mccall MJ (2010) Zinc oxide nanoparticles in modern sunscreens: an analysis of potential exposure and hazard. Nanotoxicology 4(1):15–41

    CAS  Article  Google Scholar 

  • Peng YH, Tsai YC, Hsiung CE, Lin YH, Shih YH (2017) Influence of water chemistry on the environmental behaviors of commercial ZnO nanoparticles in various water and wastewater samples. J Hazard Mater 322:348–356

    CAS  Article  Google Scholar 

  • Perumal S, Ajima B, Pachiyappan P (2018) Basic and applied phytoplankton biology. Springer Nature

  • Piplai T, Kumar A, Alappat BJ (2018) Exploring the feasibility of adsorptive removal of ZnO nanoparticles from wastewater. Water Environ Res 90:409–423. https://doi.org/10.2175/106143017X15131012152960

    CAS  Article  Google Scholar 

  • Pullagurala VLR, Adisa IO, Rawat S et al (2018) Finding the conditions for the beneficial use of ZnO nanoparticles towards plants-A review. Environ Pollut 241:1175–1181

    Article  CAS  Google Scholar 

  • Rajesh D, Vara Lakshmi B, Sunandana CS (2012) Two-step synthesis and characterization of ZnO nanoparticles. Physica B 407:4537–4539

    CAS  Article  Google Scholar 

  • Reed RB, Ladner DA, Higgins CP, Westerhoff P, Ranville JF (2012) Solubility of nano-zinc oxide in environmentally and biologically important matrices. Environ Toxicol Chem 31(1):93–99

    CAS  Article  Google Scholar 

  • Rizwan M, Ali S, Qayyum MF, Ok YS, Adrees M, Ibrahim M, Zia-ur-Rehman M, Farid M, Abbas F (2017) Effect of metal and metal oxide nanoparticles on growth and physiology of globally important food crops: a critical review. J Hazard Mater 322:2–16

    CAS  Article  Google Scholar 

  • Samei M, Sarrafzadeh M, Faramarzi MA (2019) The impact of morphology and size of zinc oxide nanoparticles on its toxicity to the freshwater microalga, Raphidocelis subcapitata. Environ Sci Pollut Res 26:2409–2420

  • Snell TW, Hicks DG (2011) Assessing toxicity of nanoparticles using Brachionus manjavacas (Rotifera). Environ Toxicol 26(2):146–152

    CAS  Article  Google Scholar 

  • Soenen SJ, Parak WJ, Rejman J, Manshian B (2015) Intracellular stability of inorganic nanoparticles: effects on cytotoxicity, particle functionality, and biomedical applications. Chem Rev 115(5):2109–2135

    CAS  Article  Google Scholar 

  • Song U, Lee S (2016) Phytotoxicity and accumulation of zinc oxide nanoparticles on the aquatic plants Hydrilla verticillata and Phragmites australis: leaf-type-dependent responses. Environ Sci Pollut Res 23:8539–8545

  • Souza FA, Dziedzic M, Cubas SA, Maranho LT (2013) Restoration of polluted waters by phytoremediation using Myriophyllum aquaticum Verdc. Haloragaceae J Environ Manage 120:5–9

    CAS  Article  Google Scholar 

  • Tarrahi R, Khataee A, Movafeghi A, Rezanejad F (2018) Toxicity of ZnSe nanoparticles to Lemna minor: evaluation of biological responses. J Environ Manag 226:298–307

    CAS  Article  Google Scholar 

  • Troester M, Brauch HJ, Hofmann T (2016) Vulnerability of drinking water supplies to engineered nanoparticles. Water Res 96:255–279

    CAS  Article  Google Scholar 

  • Torbati S, Khataee A, Saadi S (2017) Comparative phytotoxicity of undoped and Er-doped ZnO nanoparticles on Lemna minor L.: changes in plant physiological responses. Turk J Biol 41(4):575–586

    CAS  Article  Google Scholar 

  • Wallace RL, Snell TW, Ricci C et al (2006) Rotifera: biology, ecology, and systematics, 1st edn. Backhuys, Leiden

    Google Scholar 

  • Wang F, Guan W, Xu L et al (2019) Effects of nanoparticles on algae: adsorption, distribution, ecotoxicity and fate. Appl Sci 9:1534

    CAS  Article  Google Scholar 

  • Wang X, Yang X, Chen S et al (2016a) Zinc oxide nanoparticles affect biomass accumulation and photosynthesis in Arabidopsis. Front Plant Sci 6:1243

    Google Scholar 

  • Wang Z, Li J, Zhao J, Xing B (2011) Toxicity and internalization of CuO nanoparticles to prokaryotic alga Microcystis aeruginosa as affected by dissolved organic matter. Environ Sci Technol 45(14):6032–6040

    CAS  Article  Google Scholar 

  • Wang Z, Zhang L, Zhao J, Xing B (2016b) Environmental processes and toxicity of metallic nanoparticles in aquatic systems as affected by natural organic matter. Environ Sci Nano 3:240–255

    Article  Google Scholar 

  • Whitfield P, Mitchell L (2004) X-ray diffraction analysis of nanoparticles: recent developments, potential problems and some solutions. Int J Nanosci 3(6):757–763

    CAS  Article  Google Scholar 

  • Witharana S, Hodges C, Xu D, Lai X, Ding Y (2012) Aggregation and settling in aqueous polydisperse alumina nanoparticle suspensions. J Nanopart Res 14(5):851

    Article  CAS  Google Scholar 

  • Wu F, Bortvedt A, Harper BJ, Crandon LE, Harper SL (2017) Uptake and toxicity of CuO nanoparticles to Daphnia magna varies between indirect dietary and direct waterborne exposures. Aquat Toxicol 190:78–86

    CAS  Article  Google Scholar 

  • Wu F, Harper BJ, Harper SL (2019) Comparative dissolution, uptake, and toxicity of zinc oxide particles in individual aquatic species and mixed populations. Environ Toxicol Chem 38(3):591–602

    CAS  Article  Google Scholar 

  • Yu L, Fang T, Xiong D, Zhu WT, Sima XF (2011) Comparative toxicity of nano-ZnO and bulk ZnO suspensions to zebrafish and the effects of sedimentation, OH production and particle dissolution in distilled water. J Environ Monit 13:1975–1982. https://doi.org/10.1039/c1em10197h

    CAS  Article  Google Scholar 

  • Yu Q, Wang H, Peng Q, Li Y, Liu Z, Li M (2017) Different toxicity of anatase and rutile TiO2 nanoparticles on macrophages: Involvement of difference in affinity to proteins and phospholipids. J Hazard Mater 335:125–134

    CAS  Article  Google Scholar 

  • Yung MM, Fougères PA, Leung YH et al (2017) Physicochemical characteristics and toxicity of surface-modified zinc oxide nanoparticles to freshwater and marine microalgae. Sci Rep 7(1):15909

    Article  CAS  Google Scholar 

  • Zhang D, Hua T, Xiao F, Chen C, Gersberg RM, Liu Y, Stuckey D, Ng WJ, Tan SK (2015) Phytotoxicity and bioaccumulation of ZnO nanoparticles in Schoenoplectus tabernaemontani. Chemosphere 120:211–219

    CAS  Article  Google Scholar 

  • Zhao J, Cao X, Liu X, Wang Z, Zhang C, White JC, Xing B (2016) Interactions of CuO nanoparticles with the algae Chlorella pyrenoidosa: adhesion, uptake, and toxicity. Nanotoxicology 10(9):1297–1305

    CAS  Article  Google Scholar 

Download references

Availability of data and materials

The authors confirm that the data supporting the findings of this study are available within the article.

Author information

Affiliations

Authors

Contributions

M.B.E conceived the presented idea. M.B.E. and D.N designed the study and carried out experiments. D.N., M.C, and S.A contributed to analytical methods. M.B.E wrote the manuscript with support from D.N., M.C., and S.A.

Corresponding author

Correspondence to Mehmet Borga Ergönül.

Ethics declarations

Competing interests

The authors declare that they have no competing interest.

Consent for publication

The corresponding author transfers to Springer the publication rights and he warrants that their contribution is original. This transfer of publication rights covers the right to reproduce and distribute the article, including reprints, translations, photographic reproductions, microform, electronic form (offline, online), or any other reproductions of similar nature.

Ethical approval and consent to participate

N/A.

Declaration

The corresponding author (Mehmet Borga Ergönül Ph. D) signs for and accepts responsibility for releasing this material on behalf of all co-authors and he has full power to make this grant.

Additional information

Publisher’s note

Springer Nature remains neutral with regard to jurisdictional claims in published maps and institutional affiliations.

Responsible Editor: Philipp Gariguess

Rights and permissions

Reprints and Permissions

About this article

Verify currency and authenticity via CrossMark

Cite this article

Ergönül, M.B., Nassouhi, D., Çelik, M. et al. A comparison of the removal efficiencies of Myriophyllum spicatum L. for zinc oxide nanoparticles (ZnO NP) in different media: a microcosm approach. Environ Sci Pollut Res 28, 8556–8568 (2021). https://doi.org/10.1007/s11356-020-11113-3

Download citation

  • Received:

  • Accepted:

  • Published:

  • Issue Date:

  • DOI: https://doi.org/10.1007/s11356-020-11113-3

Keywords

  • Nanoparticles
  • Nanomaterials
  • Phytoremediation
  • Myriophyllum
  • Pollution
  • Microcosm