Skip to main content

Generalized gene expression programming models for estimating reference evapotranspiration through cross-station assessment and exogenous data supply

Abstract

Adopting methodologies utilizing exogenous data from ancillary stations for determining crop water requirement is a suitable approach to exempt local shortcomings due to the lack of meteorological data/stations. Meanwhile, soft computing techniques might be suitable tools to be used with such data management scenarios. The present paper aimed at evaluating the generalizability of the gene expression programming (GEP) technique for estimating reference evapotranspiration (ET0) through cross-station assessment and exogenous data supply, using data from Turkey and Iran. The GEP-based models were established and learnt using data from 10 stations in Turkey, and then the developed models were tested (validated) in 18 stations of Iran with considerable latitude differences. Different time periods (beginning and the end of time series) were selected for the training and testing stations so that there was no overlap among the dates of the events in both the groups. A comparison was also performed between the GEP models and the corresponding commonly used empirical equations. The obtained results revealed that the generalized GEP models presented promising outcomes in simulating daily ET0 values when they were trained and tested in quite distant stations with different chronological periods of the applied parameters. The performance accuracy of the empirical equations calibrated using exogenous data was reduced in comparison with their original (non-calibrated) versions. Further, although the generalization ability of the GEP models was reduced when the climatic context of the training-testing stations was different, the overall performance accuracy of those models was higher than those of the commonly used classic empirical equations.

This is a preview of subscription content, access via your institution.

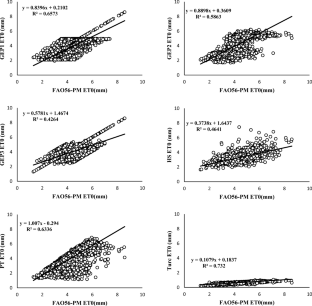
Fig. 1
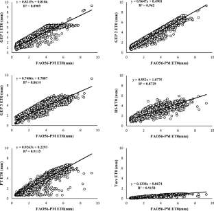
Fig. 2
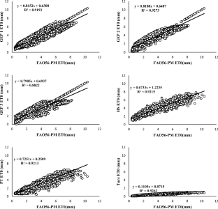
Fig. 3
Fig. 4

References

  • Allen RG, Pereira LS, Raes D, Smith M (1998) Crop evapotranspiration guideline for computing crop water requirements. FAO Irrigation and Drainage, Paper No. 56, Food and Agriculture Organization of the United Nations, Rome

    Google Scholar 

  • Allen RG, Pereira LS, Howell TA, Jensen ME (2011) Evapotranspiration information reporting: I. Factors governing measurement accuracy. Agric. Water Manage. 98:899–920. https://doi.org/10.1016/j.agwat.2010.12.015

    Article  Google Scholar 

  • Citakoglu H, Cobaner M, Haktanir T, Kisi O (2014) Estimation of monthly mean reference evapotranspiration in Turkey. Water Resources Management 28:99–113. https://doi.org/10.1007/s11269-013-0474-1

    Article  Google Scholar 

  • Droogers P, Allen RG (2002) Estimating reference evapotranspiration under inaccurate data conditions. Irrig. Drain. Syst. 16(1):33–45

    Article  Google Scholar 

  • Duffie JA, Beckman WA (1991) Solar engineering of thermal processes, 2nd edn. John Wiley and Sons, NY

    Google Scholar 

  • Feng Y, Cui N, Gong D, Zhang Q, Zhao L (2017) Evaluation of random forests and generalized regression neural networks for daily reference evapotranspiration modelling. Agricultural Water Management 193:163–173. https://doi.org/10.1016/j.agwat.2017.08.003

    Article  Google Scholar 

  • Ferreira LB, da Cunha FF, de Oliveira RA, Fernandes Filho EI (2019) Estimation of reference evapotranspiration in Brazil with limited meteorological data using ANN and SVM – a new approach. Journal of Hydrology 572:556–570. https://doi.org/10.1016/j.jhydrol.2019.03.028

    Article  Google Scholar 

  • Gunston H, Batchelor CH (1983) A comparison of the Priestley-Taylor and Penman methods for estimating reference crop evapotranspiration in tropical countries. Agric. Water Manage. 6(1):65–77

    Article  Google Scholar 

  • Hargreaves GL, Samani ZA (1982) Estimating potential evapotranspiration. J. Irrig. Drain. Eng. ASCE 108(3):225–230

    Google Scholar 

  • Jing W, Yaseen ZM, Shahid S, Saggi MK, Tao H, Kisi O, Salih SQ, al-Ansari N, Chau KW (2019) Implementation of evolutionary computing models for reference evapotranspiration modeling: short review, assessment and possible future research directions. Engineering Applications of Computational Fluid Mechanics 13(1):811–823. https://doi.org/10.1080/19942060.2019.1645045

    Article  Google Scholar 

  • Keshtegar B, Heddam S, Sebbar A, Zhu SP, Trung NT (2019) SVR-RSM: a hybrid heuristic method for modeling monthly pan evaporation. Environ Sci Pollut Res 26:35807–35826

    Article  Google Scholar 

  • Kiafar H, Babazadeh H, Marti P, Kisi O, Landeras G, Karimi S, Shiri J (2017) Evaluating the generalizability of GEP models for estimating reference evapotranspiration in distant humid and arid locations. Theoretical and Applied Climatology 130(1-2):377–389. https://doi.org/10.1007/s00704-016-1888-5

    Article  Google Scholar 

  • Kisi O, Kilic Y (2016) An investigation on generalization ability of artificial neural networks and M5 model tree in modeling reference evapotranspiration. Theoretical and Applied Climatology 126(3-4):413–425. https://doi.org/10.1007/s00704-015-1582-z

    Article  Google Scholar 

  • Kisi O, Sanikhani H, Zounemat-Kermani M, Niazi F (2015) Long-term monthly evapotranspiration modeling by several data-driven methods without climatic data. Computers and Electronics in Agriculture 115:66–77. https://doi.org/10.1016/j.compag.2015.04.015

    Article  Google Scholar 

  • Kumar M, Raghuwanshi NS, Singh R (2009) Development and validation of GANN model for evapotranspiration estimation. Journal of Hydrologic Engineering 14(2):131–140. https://doi.org/10.1061/(ASCE)1084-0699(2009)14:2(131)

    Article  Google Scholar 

  • Kumar M, Raghuwanshi NS, Singh R (2011) Artificial neural networks approach in evapotranspiration modeling: a review. Irrigation Sciences 29:11–25

    Article  Google Scholar 

  • Landeras G, Ortiz-Barredo A, Lopez JJ (2008) Comparison of artificial neural network models and empirical and semi-empirical equations for daily reference evapotranspiration estimation in the Basque Country (Northern Spain). Agirc. Water Manag. 95:553–565

    Article  Google Scholar 

  • Martínez-Cob A, Tejero-Juste M (2004) A wind-based qualitative calibration of the Hargreaves ET0 estimation equation in semiarid regions. Agric. Water Manage. 64(3):251–264

    Article  Google Scholar 

  • Mattar MA, Alazba AA (2018) GEP and MLR approaches for the prediction of reference evapotranspiration. Neural Computing and Applications. 31(10):5843–5855. https://doi.org/10.1007/s00521-018-3410-8

    Article  Google Scholar 

  • Mehdizadeh S, Behmanesh J, Khalili K (2017) Using MARS, SVM, GEP and empirical equations for estimation of monthly mean reference evapotranspiration. Computers and Electronics in Agriculture 139:103–114. https://doi.org/10.1016/j.compag.2017.05.002

    Article  Google Scholar 

  • Mohammadrezapour O, Piri J, Kisi O (2019) Comparison of SVM, ANFIS and GEP in modeling monthly potential evapotranspiration in an arid region (Case study: Sistan and Baluchestan Province, Iran). Water Science and Technology: Water Supply 19(2):392–403. https://doi.org/10.2166/ws.2018.084

    Article  Google Scholar 

  • Priestley CHB, Taylor RJ (1972) On the assessment of surface heat flux and evaporation using large-scale parameters. Mon. Weather Rev. 100(2):81–92

    Article  Google Scholar 

  • Shiri J (2017) Evaluation of FAO56-PM, empirical, semi-empirical and gene expression programming approaches for estimating daily reference evapotranspiration in hyper-arid regions of Iran. Agric. Water Manag. 188:101–114

    Article  Google Scholar 

  • Shiri J (2018) Improving the performance of the mass transfer-based reference evapotranspiration estimation approaches through a coupled wavelet random forest methodology. J. Hydrol. 561:737–750

    Article  Google Scholar 

  • Shiri J (2019) Modeling reference evapotranspiration in island environments: assessing the practical implications. Journal of Hydrology 570:265–280. https://doi.org/10.1016/j.jhydrol.2018.12.068

    Article  Google Scholar 

  • Shiri J, Nazemi AH, Sadraddini AA, Landeras G, Kisi O, Fakheri Fard A, Marti P (2014) Comparison of heuristic and empirical approaches for estimating reference evapotranspiration from limited inputs in Iran. Computers and Electronics in Agriculture. 108:230–241. https://doi.org/10.1016/j.compag.2014.08.007

    Article  Google Scholar 

  • Shiri J, Nazemi AH, Sadraddini AA, Marti P, Fakheri Fard A, Kisi O, Landeras G (2019) Alternative heuristics equations to the Priestley–Taylor approach: assessing reference evapotranspiration estimation. Theoretical and Applied Climatology 138(1-2):831–848. https://doi.org/10.1007/s00704-019-02852-6

    Article  Google Scholar 

  • Traore S, Guven A (2012) Regional-specific numerical models of evapotranspiration using gene-expression programming interface in Sahel. Water Resources Management 26(15):4367–4380. https://doi.org/10.1007/s11269-012-0149-3

    Article  Google Scholar 

  • Turc L (1961) Evaluation des besoinsen eau d'irrigation evapotranspiration potentielle. Ann. Agron. 12(1):13–49

    Google Scholar 

  • UNEP (United Nations Environmental Programme) (1997) World atlas of desertification. Editorial commentary by N. Middleton and D.S.G. Thomas. London: Edward Arnold

  • Wang Z, Wu P, Zhao X, Cao X, Gao Y (2011) GANN models for reference evapotranspiration estimation developed with weather data from different climatic regions. Theoretical and applied climatology 116:481–489

    Article  Google Scholar 

Download references

Funding

Not applicable.

Author information

Affiliations

Authors

Contributions

M.H.K. made the investigation, simulation, and validation phases. A.M. prepared the necessary resources and software and had contribution in modeling phase. O.K. helped with preparing some necessary data and had contribution in conceptualization and writing the paper. J.S. made the fundamental concept of the study and defined the methodology. He had contribution in writing the paper (both original and revised versions). All authors read and approved the final manuscript.

Corresponding author

Correspondence to Jalal Shiri.

Ethics declarations

Competing interests

The authors declare that they have no competing interests.

Ethics approval and consent to participate

Not applicable.

Consent for publication

Not applicable.

Data availability

The datasets analyzed during the current study are not publicly available but are available from the corresponding author on reasonable request.

Additional information

Publisher’s note

Springer Nature remains neutral with regard to jurisdictional claims in published maps and institutional affiliations.

Responsible Editor: Marcus Schulz

Rights and permissions

Reprints and Permissions

About this article

Verify currency and authenticity via CrossMark

Cite this article

Kazemi, M.H., Majnooni-Heris, A., Kisi, O. et al. Generalized gene expression programming models for estimating reference evapotranspiration through cross-station assessment and exogenous data supply. Environ Sci Pollut Res 28, 6520–6532 (2021). https://doi.org/10.1007/s11356-020-10916-8

Download citation

  • Received:

  • Accepted:

  • Published:

  • Issue Date:

  • DOI: https://doi.org/10.1007/s11356-020-10916-8

Keywords

  • Data management
  • Data supplanting
  • Extrapolation
  • Generalized models