Abstract
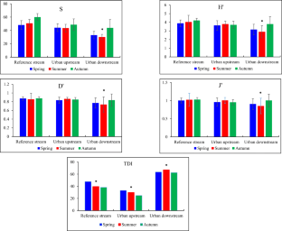
Diatoms have been proven to be good indicators of natural stream conditions, but little is known about the seasonal variability of diatom communities in megacity streams. We investigated the spatial and temporal variation of diatom communities along an urban-to-rural gradient in megacity streams, Beijing, China. We found that the composition and diversity of diatom community was significantly different along the urban-to-rural gradient in streams of Beijing city. The diatom community was subtle temporal variation in the reference stream and urban upstream, but the temporal variation of diatoms was relatively greater in the urban downstream. Overall, the composition of the diatom community was relatively stable in the streams among different seasons, and the dominant species did not change much over seasons. For example, during the sampling periods, the species Achnanthidium minutissimum in reference streams had the average relative abundance of 20.3 ± 3.5%; the species Pseudostaurosira brevistriata and Staurosira construens var. venter in urban upstream had average relative abundances of 17.0% ± 0.9% and 17.3% ± 1.2%, respectively; and the species Nitzschia palea in urban downstream had average relative abundances of 18.8 ± 4.7%. There were significant correlations between the relative abundances of the dominant species and environmental variables, suggesting that the environmental variables had significant effects on the diatom distribution. Our results demonstrate that the diatom communities are relatively stable among seasons in different sampling areas, suggesting that diatoms can be used as reliable indicators for the biological monitoring of water quality in megacity streams across seasons.




Similar content being viewed by others
Explore related subjects
Discover the latest articles and news from researchers in related subjects, suggested using machine learning.References
Beijing Municipal Bureau of Statistics (BMBS) (2019) Statistical Communique on the 2018 National Economic and Social Development of the City of Beijing. http://tjj.beijing.gov.cn/tjsj/tjgb/ndgb/201603/t20160329_346055.html (accessed 12.23.2019)
Bere T, Mangadze T, Mwedzi T (2014) The application and testing of diatom-based indices of stream water quality in Chinhoyi Town, Zimbabwe. Water SA 40:503–512
Bere T, Tundisi JG (2011) Influence of ionic strength and conductivity on benthic diatom communities in a tropical river (Monjolinho) São Carlos-SP, Brazil. Hydrobiologia 661:261–276
Besse-Lototskaya A, Verdonschot PFM, Coste M, Vijver BV (2011) Evaluation of European diatom trophic indices. Ecol Indic 11:456–467
Chen S, Zhang W, Zhang J et al (2019) Local habitat heterogeneity determines the differences in benthic diatom metacommunities between different urban river types. Sci Total Environ 669:711–720
Chen X, Zhou W, Pickett STA, Li W, Han L (2016a) Spatial-temporal variations of water quality and its relationship to land use and land cover in Beijing, china. Int J Environ Res Public Health 13(5):449
Chen X, Zhou W, Pickett STA, Li W, Han L, Ren Y (2016b) Diatoms are better indicators of urban stream conditions: a case study in Beijing, China. Ecol Indic 60:265–274
Chinese State Environment Protection Bureau (CSEPB) (2002) Water and wastewater monitoring analysis methods, 4th edn. Chinese Environment Science Press, Beijing
Dionisio-Sese ML, Miyachi S (1992) The effect of sodium-chloride on carbonic anhydrase activity in marine microalgae. J Phycol 28:619–624
Eloranta P, Andersson K (1998) Diatom indices in water quality monitoring of some South-Finnish rivers. Verh Int Ver Limnol 26:1213–1215
Gray JB, Vis ML (2013) Reference diatom assemblage response to restoration of an acid mine drainage stream. Ecol Indic 29:234–245
Hopkins KG, Morse NB, Bain DJ et al (2015) Assessment of regional variation in streamflow responses to urbanization and the persistence of physiography. Environ Sci Technol 49:2724–2732
Huang G, Chen Y, Wang X, Hughes RM, Xu L (2019) Using multiple indicators to assess spatial and temporal changes in ecological condition of a drinking water reservoir in central China. Ann Limnol Int J Lim 55:9
Kelly MG, Whitton BA (1995) The trophic Diatom Index: a new index for monitoring eutrophication in rivers. J. Appl. Phycol. 7:433–444
Kelly MG, Juggins S, Guthrie R et al (2008) Assessment of ecological status in UK rivers using diatoms. Freshwater Biol 53:403–422
Kelly M, Bennion H, Burgess A et al (2009) Uncertainty in ecological status assessments of lakes and rivers using diatoms. Hydrobiologia 633:5–15
King RS, Baker ME, Whigham DF et al (2005) Spatial considerations for linking watershed land cover to ecological indicators in streams. Ecol Appl 15:137–153
Krammer K, Lange-Bertalot H (1986) Bacillariophyceae. 1: Teil: Naviculaceae. Gustav Fischer Verlag, Jena.
Krammer K, Lange-Bertalot H (1988) Bacillariophyceae. 2: Teil: Bacillariaceae, Epthimiaceae, Surirellaceae. VEB Gustav Fischer Verlag, Jena.
Krammer K, Lange-Bertalot H (1991a) Bacillariophyceae. 3: Centrales, Fragilariaceae, Eunotiaceae. VEB Gustav Fischer Verlag, Stuttgart.
Krammer K, Lange-Bertalot H (1991b) Bacillariophyceae. 4: Achnanthes, Kritische Ergänzungen zu Navicula (Lineolatae) und Gomphonema Gesamt literaturverzeichnis Teil 4. VEB Gustav Fischer Verlag, Stuttgart.
Lavoie I, Campeau S, Darchambeau F, Cabana G, Dillon P (2008) Are diatoms good indicators of temporal variability in stream water quality? Freshwater Biol 53:827–841
Lavoie I, Morin S, Laderriere V, Fortin C (2018) Freshwater diatoms as indicators of combined long-term mining and urban stressors in Junction Creek (Ontario, Canada). Environments 5:30
Milner AM, Conn SC, Brown LE (2006) Persistence and stability of macroinvertebrate communities in streams of Denali National Park, Alaska: implications for biological monitoring. Freshwater Biol 51:373–387
Munn MD, Waite I, Konrad CP (2018) Assessing the influence of multiple stressors on stream diatom metrics in the upper Midwest, USA. Ecol Indic 85:1239–1248
Mykra H, Saarinen T, Tolkkinen M et al (2012) Spatial and temporal variability of diatom and macroinvertebrate communities: how representative are ecological classifications within a river system? Ecol Indic 18:208–217
Oprei A, Zlatanovic S, Multz M (2019) Grazers superimpose humidity effect on stream biofilm resistance and resilience to dry-rewet stress. Sci Total Environ 659:841–850
Pajunen V, Jyrkankallio-Mikkola J, Luoto M et al (2019) Are drivers of microbial diatom distributions context dependent in human-impacted and pristine environments? Ecol APP 5:e01917
Passy SI (2008) Continental diatom biodiversity in stream benthos declines as more nutrients become limiting. Proc Natl Acad Sci USA 105:9663–9667
Passy SI, Larson CA (2011) Succession in stream biofilms is an environmentally driven gradient of stress tolerance. Microb Ecol 62:414–424
Paul MJ, Meyer JL (2001) Streams in the urban landscape. Annu Rev Ecol Syst 32:333–365
Pickett STA, Cadenasso ML, Grove JM et al (2011) Urban ecological systems: scientific foundations and a decade of progress. J Environ Manage 92:331–362
Potapova M, Charles DF (2003) Distribution of benthic diatoms in U.S. rivers in relation to conductivity and ionic composition. Freshwater Biol 48:1311–1328
Potapova M, Charles DF (2007) Diatom metrics for monitoring eutrophication in rivers of the United States. Ecol Indic 7:48–70
Potapova M, Coles JE, Giddings EMP, Zappia H (2005) A comparison of the influences of urbanization in contrasting environmental settings on stream benthic algal assemblages. Am Fish Soc Sympos 41:333–359
Shen Z, Hou X, Li W, Aini G (2014) Relating landscape characteristics to non-point source pollution in a typical urbanized watershed in the municipality of Beijing. Landscape Urban Plan 123:96–107
Sliva L, Williams DD (2001) Buffer zone versus whole catchment approaches to studying land use impact on river water quality. Water Res 35:3462–3472
Smucker NJ, Vis ML (2009) Use of diatoms to assess agricultural and coal mining impacts on streams and a multiassemblage case study. J N Am Benthol Soc 28:659–675
Smucker NJ, Vis ML (2010) Using diatoms to assess human impacts on streams benefits from multiple-habitat sampling. Hydrobiologia 654:93–109
Smucker NJ, Vis ML (2011) Diatom biomonitoring of streams: reliability of reference sites and the response of metrics to environmental variations across temporal scales. Ecol Indic 11:1647–1657
Snell MA, Barker PA, Surridge BWJ et al (2019) Strong and recurring seasonality revealed within stream diatom assemblages. Scientific reports 9(1):3313
Soininen J, Eloranta P (2004) Seasonal persistence and stability of diatom communities in rivers: are there habitat specific differences? Eur J Phycol 39:153–160
Soininen J, Jamoneau A, Rosebery J et al (2016) Global patterns and drivers of species and trait composition in diatoms. Global Ecol Biogeogr 25:940–950
Somers KA, Bernhardt ES, Grace JB et al (2013) Streams in the urban heat island: spatial and temporal variability in temperature. Freshw Sci 32:309–326
Stenger-Kovács C, Lengyel E, Crossetti LO et al (2013) Diatom ecological guilds as indicators of temporally changing stressors and disturbances in the small torna-stream, hungary. Ecol Indic 24:138–147
Stevenson RJ, Pan Y, Van Dam H (2010) Assessing environmental conditions in rivers and streams with diatoms. In: Smol JP, Stoermer EF (eds) The Diatoms: Applications for the Environmental and Earth Sciences. Cambridge University Press, Cambridge, pp 57–85
Tang T, Stevenson RJ, Infante D (2016) Accounting for regional variation in both natural environment and human disturbance to improve performance of multimetric indices of lotic benthic diatoms. Sci Total Environ 568:1124–1134
ter Braak CJF, Smilauer P (2002) CANCO reference manual and CanoDraw for Windows user’s guide: software for canonical community ordination (version 4.5). Microcomputer Power, Ithaca
Virtanen LK, Soininen J (2016) Temporal variation in community-environment relationships and stream classifications in benthic diatoms: implications for bioassessment. Limnologica 58:11–19
Walsh CJ, Roy AH, Feminella JW et al (2005) The urban stream syndrome: current knowledge and the search for a cure. J N Am Benthol Soc 24:706–723
Walker CE, Pan YD (2006) Using diatom assemblages to assess urban stream conditions. Hydrobiologia 561:179–189
Wenger SJ, Roy AH, Jackson CR et al (2009) Twenty-six key research questions in urban stream ecology: an assessment of the state of the science. J N Am Benthol Soc 28:1080–1098
Zhou W, Qian Y, Li X, Li W, Han L (2014) Relationships between land cover and the surface urban heat island: seasonal variability and effects of spatial and thematic resolution of land cover data on predicting land surface temperatures. Landsc Ecol 29:153–167
Acknowledgements
Special thanks to the Beijing Urban Ecosystem Research Station for the assistance in the field or laboratory, and to the State Key Laboratory of Environmental Aquatic Chemistry for providing the microscope for diatom detection. We thank all the participants in the sample collection and data analysis.
Funding
The present study was financially supported by the National Natural Science Foundation of China (41907333), and the Natural Science Foundation of Hunan Province, China (2019JJ50707).
Author information
Authors and Affiliations
Corresponding author
Additional information
Responsible Editor: Philippe Garrigues
Publisher’s note
Springer Nature remains neutral with regard to jurisdictional claims in published maps and institutional affiliations.
Rights and permissions
About this article
Cite this article
Chen, X., Zhou, W., Luo, G. et al. Spatial and temporal variations of the diatom communities in megacity streams and its implications for biological monitoring. Environ Sci Pollut Res 27, 37581–37591 (2020). https://doi.org/10.1007/s11356-020-09743-8
Received:
Accepted:
Published:
Issue Date:
DOI: https://doi.org/10.1007/s11356-020-09743-8


