Skip to main content

Utilization of oil-based mud drilling cuttings wastes from shale gas extraction for cement clinker production

Abstract

A large amount of oil-based mud drilling cuttings (OBMDC) are generated during shale gas extraction, which adversely affects the environment. In order to realize the resource utilization of waste, the object of this paper is to study the feasibility of OBMDC to produce cement clinker. The results showed that at relatively low calcination temperature, adding a certain amount of OBMDC can produce cement clinker successfully and reduce fuel consumption. The compressive strength, hydration performance, and physical characteristics of clinker with 0, 3, 6, and 9% OBMDC were investigated by chemical analysis methods, X-ray diffraction, isothermal calorimetry, mercury intrusion, and energy dispersive spectroscopy. The results showed that the formulated cement has good hydration performance and the compressive strength also meets relevant standards. The heavy metal ions leaching test showed that the preparation of cement clinker by a low amount of OBMDC could effectively reduce the toxicity of OBMDC. In general, the preparation of cement clinker by OBMDC can realize the resource utilization of waste, effectively reduce its toxicity, and play a positive role in environmental protection.

This is a preview of subscription content, access via your institution.

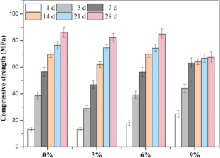
Fig. 1
Fig. 2
Fig. 3
Fig. 4
Fig. 5
Fig. 6
Fig. 7
Fig. 8
Fig. 9

References

  • Abdul-Wahab SA, Al-Rawas GA, Ali S, Al-Dhamri H (2016) Impact of the addition of oil-based mud on carbon dioxide emissions in a cement plant. J Clean Prod 112:4214–4225

    CAS  Article  Google Scholar 

  • Al-Dhamri H, Black L (2014): Use of oil-based mud cutting waste in cement clinker manufacturing, Cement and Concrete Science Conference

  • Boughanmi S, Labidi I, Megriche A, El Maaoui M, Nonat A (2018) Natural fluorapatite as a raw material for Portland clinker. Cem Concr Res 105:72–80

    CAS  Article  Google Scholar 

  • Chen Z, Chen Z, Yin F, Wang G, Chen H, He C, Xu Y (2017) Supercritical water oxidation of oil-based drill cuttings. J Hazard Mater 332:205–213

    CAS  Article  Google Scholar 

  • Courard L, Degée H, Darimont A (2014) Effects of the presence of free lime nodules into concrete: experimentation and modelling. Cem Concr Res 64:73–88

    CAS  Article  Google Scholar 

  • Dhir RK, Csetenyi LJ, Dyer TD, Smith GW (2010) Cleaned oil-drill cuttings for use as filler in bituminous mixtures. Constr Build Mater 24:322–325

    Article  Google Scholar 

  • Fedyaeva ON, Antipenko VR, Vostrikov AA (2017) Heavy oil upgrading at oxidation of activated carbon by supercritical water-oxygen fluid. J Supercrit Fluids 126:55–64

    CAS  Article  Google Scholar 

  • Ghavami M, Hasanzadeh B, Zhao Q, Javadi S, Kebria DY (2018) Experimental study on microstructure and rheological behavior of organobentonite/oil-based drilling fluid. J Mol Liq 263:147–157

    CAS  Article  Google Scholar 

  • Güereca LP, Torres N, Juárez-López CR (2015): The co-processing of municipal waste in a cement kiln in Mexico. A life-cycle assessment approach. J Clean Prod 107, 741–748

  • Guerra AB, Oliveira JS, Rcb SP, Araã°jo W, Carlos AC, Atr V, Freitas AT, Domingos YS, de Farias MF, Gjt F (2018) Metagenome enrichment approach used for selection of oil-degrading bacteria consortia for drill cutting residue bioremediation. Environ Pollut 235:869–880

    CAS  Article  Google Scholar 

  • Guo X, Wang S, Lu L, Wang H (2012) Influence of barium oxide on the composition and performance of alite-rich Portland cement. Adv Cem Res 24:139–144

    CAS  Article  Google Scholar 

  • Hashem FS, Amin MS, Hekal EE (2011) Stabilization of Cu (II) wastes by C3S hydrated matrix. Constr Build Mater 25:3278–3282

    Article  Google Scholar 

  • Hekal EE, Hashem FS, Amin MS (2010) Chromium (III) immobilization and its influence on C3S hydration[J]. Practice Periodical of Hazardous, Toxic, and Radioactive Waste Management 14(4):246–249

    CAS  Article  Google Scholar 

  • Herfort D, Moir GK, Johansen V, Sorrentino F, Arceo HB (2010) The chemistry of Portland cement clinker. Adv Cem Res 22:187–194

    CAS  Article  Google Scholar 

  • Hou Y, Qi S, You H, Huang Z, Niu Q (2018) The study on pyrolysis of oil-based drilling cuttings by microwave and electric heating. J Environ Manag 228:312–318

    CAS  Article  Google Scholar 

  • Ji GD, Yang YS, Zhou Q, Sun T, Ni JR (2004) Phytodegradation of extra heavy oil-based drill cuttings using mature reed wetland: an in situ pilot study. Environ Int 30:509–517

    CAS  Article  Google Scholar 

  • Jiang J, Lu Z, Li J, Xie Y, Luo K, Niu Y (2019) Preparation and properties of nanopore-rich lightweight cement paste based on swelled bentonite. Constr Build Mater 199:72–81

    CAS  Article  Google Scholar 

  • Jin R, Yang L, Zheng M, Xu Y, Li C, Liu G (2018) Source identification and quantification of chlorinated and brominated polycyclic aromatic hydrocarbons from cement kilns co-processing solid wastes. Environ Pollut 242:1346–1352

    CAS  Article  Google Scholar 

  • Johner JCF, Hatami T, Zabot GL, Meireles MAA (2018) Kinetic behavior and economic evaluation of supercritical fluid extraction of oil from Pequi (Caryocar brasiliense) for various grinding times and solvent flow rates. J Supercrit Fluids 140:188–195

    CAS  Article  Google Scholar 

  • Lin C, Lin C, Chen J (1997) An NMR, XRD and EDS study of solidification/stabilization of chromium with Portland cement and C 3S. J Hazard Mater 56:21–34

    CAS  Article  Google Scholar 

  • Liu G, Zhan J, Zheng M, Li C, Li L, Jiang X, Wang M, Zhao Y, Jin R (2015) Field pilot study on emissions, formations and distributions of PCDD/Fs from cement kiln co-processing fly ash from municipal solid waste incinerations. J Hazard Mater 299:471–478

    CAS  Article  Google Scholar 

  • Ludwig H, Zhang W (2015) Research review of cement clinker chemistry. Cem Concr Res 78:24–37

    CAS  Article  Google Scholar 

  • Ma L, Wei L, Pei X, Zhu X, Xu D (2019) CFD-DEM simulations of particle separation characteristic in centrifugal compounding force field. Powder Technol 343:11–18

    CAS  Article  Google Scholar 

  • Odler I, Schmidt O (1980) Structure and properties of Portland cement clinker doped with zinc oxide. J Am Ceram Soc 63:13–16

    CAS  Article  Google Scholar 

  • Park J, Jeon W, Lee J, Nam B, Lee I (2018): Effects of supercritical fluids in catalytic upgrading of biomass pyrolysis oil. Chem Eng J

    Google Scholar 

  • Pereira LB, Sad CMS, Da Silva M, Corona RRB, Dos Santos FD, Gonçalves GR, Castro EVR, Filgueiras PR, Lacerda V (2019) Oil recovery from water-based drilling fluid waste. FUEL 237:335–343

    CAS  Article  Google Scholar 

  • Sun Y, Wang D, Tsang DCW, Wang L, Ok YS, Feng Y (2019) A critical review of risks, characteristics, and treatment strategies for potentially toxic elements in wastewater from shale gas extraction. Environ Int 125:452–469

    CAS  Article  Google Scholar 

  • Wang CQ, Lin XY, Wang D, He M, Zhang SL (2018) Utilization of oil-based drilling cuttings pyrolysis residues of shale gas for the preparation of non-autoclaved aerated concrete. Constr Build Mater 162:359–368

    CAS  Article  Google Scholar 

  • Weng J, Gong Z, Liao L, Lv G, Tan J (2018) Comparison of organo-sepiolite modified by different surfactants and their rheological behavior in oil-based drilling fluids. Appl Clay Sci 159:94–101

    CAS  Article  Google Scholar 

  • Xiaodong S, Yan Y (2012) Research progress of cement materials. Higher Education Press

  • Xu T, Wang LA, Wang X, Li T, Zhan X (2018) Heavy metal pollution of oil-based drill cuttings at a shale gas drilling field in Chongqing, China: a human health risk assessment for the workers. Ecotox Environ Safe 165:160–163

    CAS  Article  Google Scholar 

  • Ye Y, Li J, Zhang Q, Feng J, Zhu J, Yin D (2017) Nanoemulsion for oil-contaminated oil-based drill cuttings removel in lab. Int J Hydrogen Energ 42:18734–18740

    CAS  Article  Google Scholar 

  • Zaker A, Chen Z, Wang X, Zhang Q (2019) Microwave-assisted pyrolysis of sewage sludge: a review. Fuel Process Technol 187:84–104

    CAS  Article  Google Scholar 

  • Zezulová A, Staněk T, Opravil T (2016) The influence of barium sulphate and barium carbonate on the Portland cement. Procedia Engineering 151:42–49

    Article  Google Scholar 

  • Zha X, Liao X, Zhao X, Liu F, He AQ, Xiong WX (2018) Turning waste drilling fluids into a new, sustainable soil resources for landscaping. Ecol Eng 121:130–136

    Article  Google Scholar 

  • Zhong H, Shen G, Qiu Z, Lin Y, Fan L, Xing X, Li J (2019) Minimizing the HTHP filtration loss of oil-based drilling fluid with swellable polymer microspheres. J Pet Sci Eng 172:411–424

    CAS  Article  Google Scholar 

  • Zhuang G, Gao J, Peng S, Zhang Z (2019) Synergistically using layered and fibrous organoclays to enhance the rheological properties of oil-based drilling fluids. Appl Clay Sci 172:40–48

    CAS  Article  Google Scholar 

Download references

Funding

This work was supported by the National Key R&D Plan (grant no. 2016YFC0701004), the National Natural Science Fund (grant no. 51402246), and the Sichuan Science and Technology Program (grant no. 2019ZDZX0024).

Author information

Affiliations

Authors

Corresponding author

Correspondence to Zhenyu Lai.

Additional information

Publisher’s note

Springer Nature remains neutral with regard to jurisdictional claims in published maps and institutional affiliations.

Responsible Editor: Philippe Garrigues

Rights and permissions

Reprints and Permissions

About this article

Verify currency and authenticity via CrossMark

Cite this article

Lai, H., Lv, S., Lai, Z. et al. Utilization of oil-based mud drilling cuttings wastes from shale gas extraction for cement clinker production . Environ Sci Pollut Res 27, 33075–33084 (2020). https://doi.org/10.1007/s11356-020-09541-2

Download citation

  • Received:

  • Accepted:

  • Published:

  • Issue Date:

  • DOI: https://doi.org/10.1007/s11356-020-09541-2

Keywords

  • Oil-based mud drilling cuttings
  • Cement clinker
  • Leaching toxicity
  • Hydration