Skip to main content

Ascorbic acid alleviation of manganese-induced toxicity in Vallisneria natans (Lour.) Hara

Abstract

We investigated the growth and physiological responses of the submerged aquatic plant species Vallisneria natans (Lour.) Hara to 80 mg L−1 manganese (Mn) with different doses of ascorbic acid (AsA 0, 5, 10, 20, 50, 100, 200 mg L−1) after 21 days of treatment. Mn stress significantly reduced the final leaf number and superoxide dismutase (SOD), catalase (CAT), and ascorbate peroxidase (APX) activities of V. natans, while increased the malondialdehyde (MDA), hydrogen peroxide (H2O2) and proline contents, and peroxidase (POD) activity, with no significant differences in plant relative growth rate (RGR) and photosynthetic pigment contents. With increasing doses of AsA supplementation (≤ 50 mg L−1), the MDA content gradually decreased, while the proline, soluble protein, and photosynthetic pigment contents, antioxidase (except POD) activities, and RGR of V. natans increased. AsA levels ≥ 100 mg L−1 exacerbated Mn toxicity in V. natans by significantly reducing the antioxidase activities and photosynthetic pigment contents and even triggering plant lethal effects. These results suggest that the Mn stress induced in this investigation could bring about oxidative stress and influence the growth of V. natans. Moreover, the optimal AsA dose that can alleviate Mn-induced oxidative stress was 41.37–50.25 mg L−1 according to the regression analysis based on plant growth and enzymatic responses.

This is a preview of subscription content, access via your institution.

Fig. 1
Fig. 2
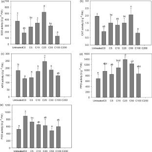
Fig. 3
Fig. 4
Fig. 5

References

  • Aguiar AO, Duarte RA, Ladeira ACQ (2013) The application of MnO2 in the removal of manganese from acid mine water. Water Air Soil Pollut 224:1690–3353

    Google Scholar 

  • Alam S, Akiha F, Kamei S (2005) Mechanism of potassium alleviation of manganese phytotoxicity in barley. J Plant Nutr 28:889–901

    CAS  Google Scholar 

  • Alam S, Kamei S, Kawai S (2001) Amelioration of manganese toxicity in barley with iron. J Plant Nutr 24:1421–1433

    CAS  Google Scholar 

  • Alam S, Kodama R, Akiha F, Kamei S, Kawai S (2006) Alleviation of manganese phytotoxicity in barley with calcium. J Plant Nutr 29:59–74

    CAS  Google Scholar 

  • Aziz A, Akram NA, Ashraf M (2018) Influence of natural and synthetic vitamin C (ascorbic acid) on primary and secondary metabolites and associated metabolism in quinoa (Chenopodium quinoa Willd.) plants under water deficit regimes. Plant Physiol Biochem 123:192–203

    CAS  Google Scholar 

  • Bates L, Waldren R, Teare I (1973) Rapid determination of free proline for water-stress studies. Plant Soil 39:205–207

    CAS  Article  Google Scholar 

  • Beale SI (1999) Enzymes of chlorophyll biosynthesis. Photosynth Res 60:43–73

    CAS  Google Scholar 

  • Beauchamp C, Fridovich I (1971) Superoxide dismutase: improved assays and an assay applicable to acrylamide gels. Anal Biochem 44:276–287

    CAS  Google Scholar 

  • Bergmeyer HU (1984) Methods of enzymatic analysis. Academic press, New York, pp 885–894

    Google Scholar 

  • Che J, Yamaji N, Shao JF, Ma JF, Shen RF (2016) Silicon decreases both uptake and root-to-shoot translocation of manganese in rice. J Exp Bot 67:1535–1544

    CAS  Google Scholar 

  • Chen G, Liu X, Brookes PC, Xu J (2015a) Opportunities for phytoremediation and bioindication of arsenic contaminated water using a submerged aquatic plant: Vallisneria natans (lour.) Hara. Int J Phytoremediat 17:249–255

    CAS  Google Scholar 

  • Chen M, Zhang LL, Li J, He XJ, Cai JC (2015b) Bioaccumulation and tolerance characteristics of a submerged plant (Ceratophyllum demersum L.) exposed to toxic metal lead. Ecotox Environ Safe 122:313–321

    CAS  Google Scholar 

  • Das AP, Sukla LB, Pradhan N, Nayak S (2011) Manganese biomining: a review. Bioresour Technol 102:7381–7387

    CAS  Google Scholar 

  • Duan N, Wang F, Zhou CB, Zhu CL, Yu HB (2010) Analysis of pollution materials generated from electrolytic manganese industries in China. Resour Conserv Recycl 54:506–511

    Google Scholar 

  • Fecht M, Maier P, Horst W (2002) Apoplastic peroxidases and ascorbate are involved in manganese toxicity and tolerance of Vigna unguiculata. Physiol Plant 117:237–244

    Google Scholar 

  • Florea RM, Stoica AI, Baiulescu GE, Capotă P (2005) Water pollution in gold mining industry: a case study in Roşia Montană district, Romania. Environ Geol 48:1132–1136

    CAS  Google Scholar 

  • Fulkerson WJ, Slack K (1995) Leaf number as a criterion for determining defoliation time for Lolium perenne: 2. Effect of defoliation frequency and height. Grass Forage Sci 50:16–20

    Google Scholar 

  • Ge XX, Cai GP, Zeng GM (2004) Study on harmless disposal and comprehensive utilization of manganese sulfate waste residue. China’s Manganese Indust 22:13–17 (in Chinese)

    Google Scholar 

  • Gill SS, Tuteja N (2010) Reactive oxygen species and antioxidant machinery in abiotic stress tolerance in crop plants. Plant Physiol Biochem 48:909–930

    CAS  Google Scholar 

  • González EM, Ancos BD, Cano MP (1999) Partial characterization of polyphenol oxidase activity in raspberry fruits. J Agric Food Chem 47:4068–4072

    Google Scholar 

  • Guo T (2012) Alleviative effects of exogenous ascorbic acid on aluminum toxicity in barley seedlings. Journal of triticeae crops 32:895–899 (in Chinese)

    CAS  Google Scholar 

  • Han Y, Chen G, Chen YH, Shen ZG (2015) Cadmium toxicity and alleviating effects of exogenous salicylic acid in Iris hexagona. B Environ Contam Tox 95:796–802

    CAS  Google Scholar 

  • Hauck M, Mulack C, Paul A (2002) Manganese uptake in the epiphytic lichens Hypogymnia physodes and Lecanora conizaeoides. Environ Exp Bot 48:107–117

    CAS  Google Scholar 

  • Heath RL, Packer L (1968) Photoperoxidation in isolated chloroplasts: I. Kinetics and stoichiometry of fatty acid peroxidation. Arch Biochem Biophys 125:189–198

    CAS  Google Scholar 

  • Hoagland DR, Arnon DI (1950) The water-culture method for growing plants without soil. Calif Agric Exp Stn Circ 347:357–359

    Google Scholar 

  • Islam F, Ali S, Farooq MA, Wang J, Gill RA, Zhu JW, Ali B, Zhou WJ (2017) Butachlor-induced alterations in ultrastructure, antioxidant, and stress-responsive gene regulations in rice cultivars. Clean-Soil Air Water 45:1500851

    Google Scholar 

  • Khan T, Mazid M, Mohammad F (2011) A review of ascorbic acid potentialities against oxidative stress induced in plants. J Agrobiol 28:97–111

    Google Scholar 

  • Knudson LL, Tibbitts TW, Edwards GE (1977) Measurement of ozone injury by determination of leaf chlorophyll concentration. Plant Physiol 60:606–608

    CAS  Google Scholar 

  • Lichtenthaler HK, Wellburn AR (1983) Determinations of total carotenoids and chlorophylls a and b of leaf extracts in different solvent. Biochem Soc Trans 11:1982–1983

    Google Scholar 

  • Lidon FC, Barreiro MG, Ramalho JC (2004) Manganese accumulation in rice: implications for photosynthetic functioning. J Plant Physiol 161:1235–1244

    CAS  Google Scholar 

  • Lisko KA, Aboobucker SI, Torres R, Lorence A (2014) Engineering elevated vitamin C in plants to improve their nutritional content, growth, and tolerance to abiotic stress. In: Jetter R (ed) Phytochemicals-biosynthesis, function and application, vol 44. Springer, pp 109-128

  • Lizieri C, Aguiar R, Kuki KN (2011) Manganese accumulation and its effects on three tropical aquatic macrophytes: Azolla caroliniana, Salvinia minima and Spirodela polyrhiza. Rodriguésia 62:909–917

    Google Scholar 

  • Lizieri C, Kuki KN, Aguiar R (2012) The morphophysiological responses of free-floating aquatic macrophytes to a supra-optimal supply of manganese. Water Air Soil Pollut 223:2807–2820

    CAS  Google Scholar 

  • Mohan BS, Hosetti BB (2006) Phytotoxicity of cadmium on the physiological dynamics of Salvinia natans L. grown in macrophyte ponds. J Environ Biol 27:701–704

    CAS  Google Scholar 

  • Mora MDLL, Rosas A, Ribera A, Rengel Z (2009) Differential tolerance to Mn toxicity in perennial ryegrass genotypes: involvement of antioxidative enzymes and root exudation of carboxylates. Plant Soil 320:79–89

    CAS  Google Scholar 

  • Mu D, Ru S, Li T, Zhao J (2016) Effect of copper stress on physiological metabolism in sterile seedlings of Hydrilla verticillata (L. f.) Royle. Acta Hydrobiologica Sinica 40:419–424 (in Chinese)

    Google Scholar 

  • Nakano Y, Asada K (1981) Hydrogen peroxide is scavenged by ascorbate-specific peroxidase in spinach chloroplasts. Plant Cell Physiol 22:867–880

    CAS  Google Scholar 

  • Nan N, Zhang B, Li H, Zhang J (2011) Water quality purification ability of main wetland plant community in Hongze Lake. Res Soil Water Conserv 18:228–235 (in Chinese)

    Google Scholar 

  • Pan G, Liu W, Zhang H, Liu P (2018) Morphophysiological responses and tolerance mechanisms of Xanthium strumarium to manganese stress. Ecotox Environ Safe 165:654–661

    CAS  Google Scholar 

  • Patterson BD, MacRae EA, Ferguson IB (1984) Estimation of hydrogen peroxide in plant extracts using titanium (IV). Anal Biochem 139:487–492

    CAS  Google Scholar 

  • Qian HF, Peng XF, Han X, Ren J, Zhan KY, Zhu M (2014) The stress factor, exogenous ascorbic acid, affects plant growth and the antioxidant system in arabidopsis thaliana. Russ J Plant Physl +61: 467-475.

  • Rama DS, Prasad MNV (1998) Copper toxicity Ceratophyllum demersum L. (Coontail), a free floating macrophyte: response of antioxidant enzymes and antioxidants. Plant Sci 138:157–165

    Google Scholar 

  • Rokebul AM, Peel MD, Mott IW, Wu Y (2017) Physiological processes associated with salinity tolerance in an alfalfa half-sib family. J Agron Crop Sci 203:506–518

    Google Scholar 

  • Saha J, Majumder B, Mumtaz B, Biswas AK (2017) Arsenic induced oxidative stress and thiol metabolism in two cultivars of rice and its possible reversal by phosphate. Acta Physiol Plant 39:263

    Google Scholar 

  • Sakharov IY, Ardila GB (1999) Variations of peroxidase activity in cocoa (Theobroma cacao L.) beans during their ripening, fermentation and drying. Food Chem 65:51–54

    CAS  Google Scholar 

  • Santamaria AB (2008) Manganese exposure, essentiality & toxicity. Indian J Med Res 128:484–500

    CAS  Google Scholar 

  • Santos EF, Kondo Santini JM, Paixão AP, Júnior EF, Lavres J, Campos M, Reis ARD (2017) Physiological highlights of manganese toxicity symptoms in soybean plants: Mn toxicity responses. Plant Physiol Biochem 113:6–19

    CAS  Google Scholar 

  • Sarmadian S, Safahieh A, Zolgharnein H, Archangi B, Tabar MH (2013) Spatial variation of Fe, Mn and Ni concentrations in sediment and water of Musa Estuary, Persian Gulf. Int J Biosci 3:227–231

    Google Scholar 

  • Sedmak JJ, Grossberg SE (1977) A rapid, sensitive, and versatile assay for protein using Coomassie brilliant blue G250. Anal Biochem 79:544–552

    CAS  Google Scholar 

  • Shi G, Cai Q (2009) Leaf plasticity in peanut (Arachis hypogaea L.) in response to heavy metal stress. Environ Exp Bot 67:112–117

    CAS  Google Scholar 

  • Singh R, Tripathi RD, Dwivedi S, Kumar A, Trivedi PK, Chakrabarty D (2010) Lead bioaccumulation potential of an aquatic macrophyte Najas indica are related to antioxidant system. Bioresour Technol 101:3025–3032

    CAS  Google Scholar 

  • Sivaci A, Kaya A, Duman S (2014) Effects of ascorbic acid on some physiological changes of pepino (Solanum muricatum Ait.) under chilling stress. Acta Biol Hung 65:305–318

    CAS  Google Scholar 

  • Spanic V, Vuletic MV, Abicic I, Marcek T (2017) Early response of wheat antioxidant system with special reference to Fusarium head blight stress. Plant Physiol Biochem 115:34–43

    CAS  Google Scholar 

  • Sun W, Wang W (2005) Functional mechanism and enzymatic and molecular characteristic of ascorbate peroxidase in Plants. Plant Physiol Commun 41:143–147 (in Chinese)

    CAS  Google Scholar 

  • Tang F, Ding X, Ding G, Liu D, He J, Shen J, Chu B (2005) Effects of dioxide germanium on the protocorm of Dendrobium Officinale in Vitro. J Nanjing Normal Uni (Nat Sci); 28:86–89 (in Chinese)

  • Ullah HA, Javed F, Wahid A, Sadia B (2016) Alleviating effect of exogenous application of ascorbic acid on growth and mineral nutrients in cadmium stressed barley (Hordeum vulgare) Seedlings. Int J Agric Biol 18:73–79

    CAS  Google Scholar 

  • Ullah I, Waqas M, Khan MA, Lee I, Kim W (2017) Exogenous ascorbic acid mitigates flood stress damages of Vigna angularis. Appl Biol Chem 60:603–614

    CAS  Google Scholar 

  • Vanacker H, Tim LWC, Foyer CH (1998) Pathogen-induced changes in the antioxidant status of the apoplast in barley leaves. Plant Physiol 117:1103–1114

    CAS  Google Scholar 

  • Wang P, Zhang S, Wang C, Lu J (2012) Effects of Pb on the oxidative stress and antioxidant response in a Pb bioaccumulator plant Vallisneria natans. Ecotox Environ Safe 78:28–34

    CAS  Google Scholar 

  • Wang R, Liu S, Zhou F, Ding C (2014) Exogenous ascorbic acid and glutathione alleviate oxidative stress induced by salt stress in the chloroplasts of Oryza sativa L. Z Naturforsch C 69:226–236

    CAS  Google Scholar 

  • Wang W, Zhao XQ, Hu ZM, Shao JF, Che J, Chen RF, Dong XY, Shen RF (2015) Aluminium alleviates manganese toxicity to rice by decreasing root symplastic Mn uptake and reducing availability to shoots of Mn stored in roots. Ann Bot-London 116:237–246

    Google Scholar 

  • Wang Z, Li Q, Wu W, Guo J, Yang Y (2017) Cadmium stress tolerance in wheat seedlings induced by ascorbic acid was mediated by NO signaling pathways. Ecotox Environ Safe 135:75–81

    CAS  Google Scholar 

  • Xu B, Shi G , Xu Q , Wang X, Zhao J, Hu J (2006) Protective effects of exogenous ascorbic acid on antioxidant system in Hydrilla verticillata under Cd2+. J Appl Ecol 17:1768-1770 (in Chinese).

    CAS  Google Scholar 

  • Xu Y, Huang B (2017) Exogenous ascorbic acid mediated abiotic stress tolerance in plants. In: Hossain M, Munné-Bosch S, Burritt D, Diaz-Vivancos P, Fujita M, Lorence A (eds) Ascorbic Acid in Plant Growth. Development and Stress Tolerance. Springer, Cham, pp 233–253

    Google Scholar 

  • Xu Y, Xu Q, Huang B (2015) Ascorbic acid mitigation of water stress-inhibition of root growth in association with oxidative defense in tall fescue (Festuca arundinacea Schreb). Front Plant Sci 6:807–820

    Google Scholar 

  • Yadava P, Kaur P, Singh I (2013) Exogenous application of ascorbic acid alleviates oxidative stress in maize. Indian J Plant Physiol 18:339–343

    Google Scholar 

  • Yin J, Fan P, Zhong G, Wu Z (2019) Responses of Vallisneria natans (Lour.) Hara to the combined effects of Mn and pH. Ecotoxicology 28:1177–1189

    CAS  Google Scholar 

  • Yu C, Xie F, Ma L (2014) Effects of exogenous application of ascorbic acid on genotoxicity of Pb in Vicia faba roots. Int J Agric Biol 16:831–835

    CAS  Google Scholar 

  • Zahoor M, Irshad M, Rahman H, Qasim M, Afridi SG, Qadir M, Hussain A (2017) Alleviation of heavy metal toxicity and phytostimulation of Brassica campestris L. by endophytic Mucor sp. MHR-7. Ecotox Environ Safe 142:139–149

    CAS  Google Scholar 

  • Zhang Y, Yi M, Wang C, Dong Y, Liu X, Wen X, Li Y (2012) Reaserch on phytoremediation of cadmium contaminated water by three submerged macrophytes. J Shanghai Ocean Uni; 21:784–793 (in Chinese)

  • Zhang Y, Zhao S, Xu M, Wang G, Zheng J (2009) Effects of Pb stress on activity of antioxidant enzyme system in tomato seedlings. J Zhejiang Agr Sci. 03:452–456 (in Chinese)

  • Zhao J, Wang W, Zhou H, Wang R, Zhang P, Wang H, Pan X, Xu J (2017) Manganese toxicity inhibited root growth by disrupting auxin biosynthesis and transport in Arabidopsis. Front Plant Sci 8:1–8

    Google Scholar 

  • Zhong G, Wu Z, Yin J, Chai L (2018) Responses of Hydrilla verticillata (L.f.) Royle and Vallisneria natans (Lour.) Hara to glyphosate exposure. Chemosphere 193:385–393

    CAS  Google Scholar 

  • Zhou J, Ren J, Wang X, Liu T, Hou X, Li Y (2017) Ascorbic acid alleviates toxicity induced by excess copper in Brassica campestris ssp. Chinensis Makino. Commun Soil Sci Plant Anal 48:656–664

    CAS  Google Scholar 

  • Zhu Z, Song S, Li P (2016) Growth and physiological responses of submerged plant Vallisneria natans to water column ammonia nitrogen and sediment copper. Peerj 4:e1953

    Google Scholar 

Download references

Funding

This research was funded by the National Natural Science Foundation of China (Nos. 31270410, 30970303, and 30670206).

Author information

Affiliations

Authors

Corresponding author

Correspondence to Zhonghua Wu.

Ethics declarations

Ethical approval

This article does not contain any studies with human participants or animals performed by any of the authors. All the authors declare that they have no conflict of interest.

Additional information

Publisher’s note

Springer Nature remains neutral with regard to jurisdictional claims in published maps and institutional affiliations.

Responsible editor: Gangrong Shi

Electronic supplementary material

ESM 1

(XLSX 43 kb)

Rights and permissions

Reprints and Permissions

About this article

Verify currency and authenticity via CrossMark

Cite this article

Fan, P., Yin, J., Zhong, G. et al. Ascorbic acid alleviation of manganese-induced toxicity in Vallisneria natans (Lour.) Hara. Environ Sci Pollut Res 27, 32695–32706 (2020). https://doi.org/10.1007/s11356-020-09479-5

Download citation

  • Received:

  • Accepted:

  • Published:

  • Issue Date:

  • DOI: https://doi.org/10.1007/s11356-020-09479-5

Keywords

  • Aquatic plant
  • Heavy metal stress
  • Mitigating agent
  • Alleviation effect