Skip to main content

Impact of necrophytoremediation on petroleum hydrocarbon degradation, ecotoxicity and soil bacterial community composition in diesel-contaminated soil

Abstract

Hydrocarbon degradation is usually measured in laboratories under controlled conditions to establish the likely efficacy of a bioremediation process in the field. The present study used greenhouse-based bioremediation to investigate the effects of natural attenuation (NA) and necrophytoremediation (addition of pea straw (PS)) on hydrocarbon degradation, toxicity and the associated bacterial community structure and composition in diesel-contaminated soil. A significant reduction in total petroleum hydrocarbon (TPH) concentration was detected in both treatments; however, PS-treated soil showed more rapid degradation (87%) after 5 months together with a significant reduction in soil toxicity (EC50 = 91 mg diesel/kg). Quantitative PCR analysis revealed an increase in the number of 16S rRNA and alkB genes in the PS-amended soil. Substantial shifts in soil bacterial community were observed during the bioremediation, including an increased abundance of numerous hydrocarbon-degrading bacteria. The bacterial community shifted from dominance by Alphaproteobacteria and Gammaproteobacteria in the original soil to Actinobacteria during bioremediation. The dominance of two genera of bacteria, Sphingobacteria and Betaproteobacteria, in both NA- and PS-treated soil demonstrated changes occurring within the soil bacterial community through the incubation period. Additionally, pea straw itself was found to harbour a diverse hydrocarbonoclastic community including Luteimonas, Achromobacter, Sphingomonas, Rhodococcus and Microbacterium. At the end of the experiment, PS-amended soil exhibited reduced ecotoxicity and increased bacterial diversity as compared with the NA-treated soil. These findings suggest the rapid growth of species stimulated by the bioremediation treatment and strong selection for bacteria capable of degrading petroleum hydrocarbons during necrophytoremediation.

Graphical abstract

This is a preview of subscription content, access via your institution.

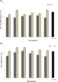
Fig. 1
Fig. 2
Fig. 3
Fig. 4
Fig. 5
Fig. 6

References

  • Adetutu EM, Ball AS, Weber J, Aleer S, Dandie CE, Juhasz AL (2012) Impact of bacterial and fungal processes on 14 C-hexadecane mineralisation in weathered hydrocarbon contaminated soil. Sci Total Environ 414:585–591

    CAS  Article  Google Scholar 

  • Al-Mutairi N, Bufarsan A, Al-Rukaibi F (2008) Ecorisk evaluation and treatability potential of soils contaminated with petroleum hydrocarbon-based fuels. Chemosphere 74:142–148

    CAS  Article  Google Scholar 

  • Al-Thani RF, Abd-El-Haleem DA, Al-Shammri M (2009) Isolation and characterization of polyaromatic hydrocarbons-degrading bacteria from different Qatari soils. Afr J Microbiol Res 3:761–766

    CAS  Google Scholar 

  • Andria V, Reichenauer TG, Sessitsch A (2009) Expression of alkane monooxygenase (alkB) genes by plant-associated bacteria in the rhizosphere and endosphere of Italian ryegrass (Lolium multiflorum L.) grown in diesel contaminated soil. Environ Pollut 157:3347–3350

    CAS  Article  Google Scholar 

  • Astm D (2004) 5660, Standard test method for assessing the microbial detoxification of chemically contaminated water and soil using a toxicity test with a luminescent marine bacterium. American Society for Testing and Materials

  • Barathi S, Vasudevan N (2003) Bioremediation of crude oil contaminated soil by bioaugmentation of Pseudomonas fluorescens NS1. J Environ Sci Health A 38:1857–1866

    CAS  Article  Google Scholar 

  • Bell TH, Yergeau E, Martineau C, Juck D, Whyte LG, Greer CW (2011) Identification of nitrogen-incorporating bacteria in petroleum-contaminated arctic soils by using [15N] DNA-based stable isotope probing and pyrosequencing. Appl Environ Microbiol 77:4163–4171

    CAS  Article  Google Scholar 

  • Bentsen NS, Felby C, Thorsen BJ (2014) Agricultural residue production and potentials for energy and materials services. Prog Energy Combust Sci 40:59–73

    Article  Google Scholar 

  • Boopathy R (2000) Factors limiting bioremediation technologies. Bioresour Technol 74:63–67

    CAS  Article  Google Scholar 

  • Chaineau C, Yepremian C, Vidalie J, Ducreux J, Ballerini D (2003) Bioremediation of a crude oil-polluted soil: biodegradation, leaching and toxicity assessments. Water Air Soil Pollut 144:419–440

    CAS  Article  Google Scholar 

  • Chen B, Yuan M, Qian L (2012) Enhanced bioremediation of PAH-contaminated soil by immobilized bacteria with plant residue and biochar as carriers. J Soils Sediments 12:1350–1359

    CAS  Article  Google Scholar 

  • Chen F, Li X, Zhu Q, Ma J, Hou H, Zhang S (2019) Bioremediation of petroleum-contaminated soil enhanced by aged refuse. Chemosphere 222:98–105

    CAS  Article  Google Scholar 

  • Coulon F, Pelletier E, Gourhant L, Delille D (2005) Effects of nutrient and temperature on degradation of petroleum hydrocarbons in contaminated sub-Antarctic soil. Chemosphere 58:1439–1448

    CAS  Article  Google Scholar 

  • Eduok S, Ebong G, Udoinyang E, Njoku J, Eyen E (2010) Bacteriological and polycyclic aromatic hydrocarbon accumulation in mangrove oyster (Crassostrea tulipa) from Douglas Creek, Nigeria. Pak J Nutr 9:35–42

    CAS  Google Scholar 

  • Guo W, Li D, Tao Y, Gao P, Hu J (2008) Isolation and description of a stable carbazole-degrading microbial consortium consisting of Chryseobacterium sp. NCY and Achromobacter sp. NCW. Curr Microbiol 57:251

    CAS  Article  Google Scholar 

  • Hammer Ø, Harper D, Ryan P (2001) PAST-palaeontological statistics, ver. 1.89. Palaeontol Electron 4:1–9

    Google Scholar 

  • Haritash A, Kaushik C (2009) Biodegradation aspects of polycyclic aromatic hydrocarbons (PAHs): a review. J Hazard Mater 169:1–15

    CAS  Article  Google Scholar 

  • Hasan SW, Ghannam MT, Esmail N (2010) Heavy crude oil viscosity reduction and rheology for pipeline transportation. Fuel 89:1095–1100

    CAS  Article  Google Scholar 

  • Hubálek T, Vosáhlová S, Matějů V, Kováčová N, Novotný Č (2007) Ecotoxicity monitoring of hydrocarbon-contaminated soil during bioremediation: a case study. Arch Environ Contam Toxicol 52:1–7

    Article  CAS  Google Scholar 

  • Hultgren J, Pizzul L, Castillo MDP, Granhall U (2009) Degradation of PAH in a creosote-contaminated soil. A comparison between the effects of willows (Salix viminalis), wheat straw and a nonionic surfactant. International journal of phytoremediation 12:54–66

    Article  CAS  Google Scholar 

  • Imfeld G, Braeckevelt M, Kuschk P, Richnow HH (2009) Monitoring and assessing processes of organic chemicals removal in constructed wetlands. Chemosphere 74:349–362

    CAS  Article  Google Scholar 

  • Johnny NA, Peter AS, David AA, Maurice E (2018) Hydrocarbonoclastic potentials of Enterobacteriaceae isolated from the crude oil polluted Iko river estuary and freshwater ecosystem of the Niger Delta region of Nigeria. GSC Biological and Pharmaceutical Sciences 2:38–46

    CAS  Article  Google Scholar 

  • Juvonen R, Martikainen E, Schultz E, Joutti A, Ahtiainen J, Lehtokari M (2000) A battery of toxicity tests as indicators of decontamination in composting oily waste. Ecotoxicol Environ Saf 47:156–166

    CAS  Article  Google Scholar 

  • Kang Y-S, Park W (2010) Protection against diesel oil toxicity by sodium chloride-induced exopolysaccharides in Acinetobacter sp. strain DR1. J Biosci Bioeng 109:118–123

    CAS  Article  Google Scholar 

  • Kang S-M, Khan AL, Hamayun M, Hussain J, Joo G-J, You Y-H, Kim J-G, Lee I-J (2012) Gibberellin-producing Promicromonospora sp. SE188 improves Solanum lycopersicum plant growth and influences endogenous plant hormones. J Microbiol 50:902–909

    CAS  Article  Google Scholar 

  • Kapoor RK, Gupta R, Singh A (2013) Patenting trends in bioremediation technologies for oil-contaminated sites. In: Biotechnology for Environmental Management and Resource Recovery. Springer

  • Karamalidis A, Evangelou A, Karabika E, Koukkou A, Drainas C, Voudrias E (2010) Laboratory scale bioremediation of petroleum-contaminated soil by indigenous microorganisms and added Pseudomonas aeruginosa strain Spet. Bioresour Technol 101:6545–6552

    CAS  Article  Google Scholar 

  • Kertesz M, Kawasaki A (2010) Hydrocarbon-degrading sphingomonads: sphingomonas, sphingobium, novosphingobium, and sphingopyxis. In: Timmis KN (ed) Handbook of hydrocarbon and lipid microbiology. Springer, Berlin

    Google Scholar 

  • Khudur LS, Ball AS (2018) RemScan: a tool for monitoring the bioremediation of total petroleum hydrocarbons in contaminated soil. MethodsX 5:705–709

    Article  Google Scholar 

  • Kielka E, Siedlecka A, Wolf M, Stróżak S, Piekarska K, Strub D (2018) Ecotoxicity assessment of camphor oxime using Microtox assay–preliminary research. E3S Web of Conferences. EDP Sciences:00066

  • Klankeo P, Nopcharoenkul W, Pinyakong O (2009) Two novel pyrene-degrading Diaphorobacter sp. and Pseudoxanthomonas sp. isolated from soil. J Biosci Bioeng 108:488–495

    CAS  Article  Google Scholar 

  • Koshlaf E, Shahsavari E, Aburto-Medina A, Taha M, Haleyur N, Makadia TH, Morrison PD, Ball AS (2016) Bioremediation potential of diesel-contaminated Libyan soil. Ecotoxicol Environ Saf 133:297–305

    CAS  Article  Google Scholar 

  • Koshlaf E, Shahsavari E, Haleyur N, Osborn AM, Ball AS (2019) Effect of biostimulation on the distribution and composition of the microbial community of a polycyclic aromatic hydrocarbon-contaminated landfill soil during bioremediation. Geoderma 338:216–225

    CAS  Article  Google Scholar 

  • Kuang S, Su Y, Wang H, Yu W, Lang Q, Matangi R (2018) Soil microbial community structure and diversity around the aging oil sludge in Yellow River Delta as determined by high-throughput sequencing. Archaea:2018

  • Kumar M, Joshi A, Kashyap R, Khanna S (2011) Production of xylanase by Promicromonospora sp MARS with rice straw under non sterile conditions. Process Biochem 46:1614–1618

    CAS  Article  Google Scholar 

  • Kvenvolden K, Cooper C (2003) Natural seepage of crude oil into the marine environment. Geo-Mar Lett 23:140–146

    CAS  Article  Google Scholar 

  • Lawal AT (2017) Polycyclic aromatic hydrocarbons. A review. Cogent Environ Sci 3:1339841

    Article  CAS  Google Scholar 

  • Li X, Zheng R, Zhang X, Liu Z, Zhu R, Zhang X, Gao D (2019) A novel exoelectrogen from microbial fuel cell: bioremediation of marine petroleum hydrocarbon pollutants. J Environ Manag 235:70–76

    CAS  Article  Google Scholar 

  • Lima TM, Procópio LC, Brandão FD, Leão BA, Tótola MR, Borges AC (2011) Evaluation of bacterial surfactant toxicity towards petroleum degrading microorganisms. Bioresour Technol 102:2957–2964

    CAS  Article  Google Scholar 

  • Liu P-WG, Chang TC, Whang L-M, Kao C-H, Pan P-T, Cheng S-S (2011) Bioremediation of petroleum hydrocarbon contaminated soil: effects of strategies and microbial community shift. Int Biodeterior Biodegradation 65:1119–1127

    Article  CAS  Google Scholar 

  • Lladó S, Covino S, Solanas A, Petruccioli M, D’annibale A, Vinas M (2015) Pyrosequencing reveals the effect of mobilizing agents and lignocellulosic substrate amendment on microbial community composition in a real industrial PAH-polluted soil. J Hazard Mater 283:35–43

    Article  CAS  Google Scholar 

  • Loibner AP, Szolar OH, Braun R, Hirmann D (2004) Toxicity testing of 16 priority polycyclic aromatic hydrocarbons using Lumistox®. Environ Toxicol Chem 23:557–564

    CAS  Article  Google Scholar 

  • Luz A, Pellizari V, Whyte L, Greer C (2004) A survey of indigenous microbial hydrocarbon degradation genes in soils from Antarctica and Brazil. Can J Microbiol 50:323–333

    CAS  Article  Google Scholar 

  • Ma J, Yang Y, Dai X, Chen Y, Deng H, Zhou H, Guo S, Yan G (2016) Effects of adding bulking agent, inorganic nutrient and microbial inocula on biopile treatment for oil-field drilling waste. Chemosphere 150:17–23

    CAS  Article  Google Scholar 

  • Makadia TH, Adetutu EM, Simons KL, Jardine D, Sheppard PJ, Ball AS (2011) Re-use of remediated soils for the bioremediation of waste oil sludge. J Environ Manag 92:866–871

    CAS  Article  Google Scholar 

  • Nocentini M, Pinelli D, Fava F (2000) Bioremediation of a soil contaminated by hydrocarbon mixtures: the residual concentration problem. Chemosphere 41:1115–1123

    CAS  Article  Google Scholar 

  • Pérez-De-Mora A, Engel M, Schloter M (2011) Abundance and diversity of n-alkane-degrading bacteria in a forest soil co-contaminated with hydrocarbons and metals: a molecular study on alkB homologous genes. Microb Ecol 62:959–972

    Article  CAS  Google Scholar 

  • Phillips T, Liu D, Seech A, Lee H, Trevors J (2000) Monitoring bioremediation in creosote-contaminated soils using chemical analysis and toxicity tests. J Ind Microbiol Biotechnol 24:132–139

    CAS  Article  Google Scholar 

  • Popp N, Schlömann M, Mau M (2006) Bacterial diversity in the active stage of a bioremediation system for mineral oil hydrocarbon-contaminated soils. Microbiology 152:3291–3304

    CAS  Article  Google Scholar 

  • Quatrini P, Scaglione G, DE Pasquale C, Riela S, Puglia A (2008) Isolation of Gram-positive n-alkane degraders from a hydrocarbon-contaminated Mediterranean shoreline. Applied microbiology 104:251–259

    CAS  Google Scholar 

  • Rahman KSM, Rahman T, Lakshmanaperumalsamy P, Banat IM (2002) Occurrence of crude oil degrading bacteria in gasoline and diesel station soils. Journal of Basic Microbiology: An International Journal on Biochemistry, Physiology, Genetics, Morphology, and Ecology of Microorganisms 42:284–291

    CAS  Article  Google Scholar 

  • Rayment G, Higginson FR (1992) Australian laboratory handbook of soil and water chemical methods. Inkata Press Pty Ltd.

  • Rhodes CJ (2010) Biofuel from algae: salvation from peak oil? In: Seaweeds and their role in globally changing environments. Springer, Berlin

    Google Scholar 

  • Röling WF, Milner MG, Jones DM, Fratepietro F, Swannell RP, Daniel F, Head IM (2004) Bacterial community dynamics and hydrocarbon degradation during a field-scale evaluation of bioremediation on a mudflat beach contaminated with buried oil. Appl Environ Microbiol 70:2603–2613

    Article  CAS  Google Scholar 

  • Ros M, Rodriguez I, Garcia C, Hernández T (2010) Microbial communities involved in the bioremediation of an aged recalcitrant hydrocarbon polluted soil by using organic amendments. Bioresour Technol 101:6916–6923

    CAS  Article  Google Scholar 

  • Salanitro JP, Dorn PB, Huesemann MH, Moore KO, Rhodes IA, Rice Jackson LM, Vipond TE, Western MM, Wisniewski HL (1997) Crude oil hydrocarbon bioremediation and soil ecotoxicity assessment. Environ Sci Technol 31:1769–1776

    CAS  Article  Google Scholar 

  • Schäfer H, Muyzer G (2001) Denaturing gradient gel electrophoresis in marine microbial ecology. Methods Microbiol 30:425–468

    Article  Google Scholar 

  • Schedule, B. J. C. 1999. Guideline on the investigation levels for soil and groundwater

    Google Scholar 

  • Shahsavari E, Adetutu EM, Anderson PA, Ball AS (2013) Plant residues--a low cost, effective bioremediation treatment for petrogenic hydrocarbon-contaminated soil. Sci Total Environ 443:766–774

    CAS  Article  Google Scholar 

  • Shahsavari E, Aburto-Medina A, Taha M, Ball AS (2016) A quantitative PCR approach for quantification of functional genes involved in the degradation of polycyclic aromatic hydrocarbons in contaminated soils. MethodsX 3:205–211

    Article  Google Scholar 

  • Shankar S, Kansrajh C, Dinesh M, Satyan R, Kiruthika S, Tharanipriya A (2014) Application of indigenous microbial consortia in bioremediation of oil-contaminated soils. Int J Environ Sci Technol 11:367–376

    CAS  Article  Google Scholar 

  • Sheppard PJ, Adetutu EM, Makadia TH, Ball AS (2011) Microbial community and ecotoxicity analysis of bioremediated, weathered hydrocarbon-contaminated soil. Soil Research 49:261–269

    CAS  Article  Google Scholar 

  • Sihag S, Pathak H, Jaroli D (2014) Factors affecting the rate of biodegradation of polyaromatic hydrocarbons. Int J Pure App Biosci 2:185–202

    Google Scholar 

  • Si-Zhong Y, Hui-Jun J, Zhi W, Rui-Xia H, Yan-Jun J, Xiu-Mei L, Shao-Peng Y (2009) Bioremediation of oil spills in cold environments: a review. Pedosphere 19:371–381

    Article  Google Scholar 

  • Suja F, Rahim F, Taha MR, Hambali N, Razali MR, Khalid A, Hamzah A (2014) Effects of local microbial bioaugmentation and biostimulation on the bioremediation of total petroleum hydrocarbons (TPH) in crude oil contaminated soil based on laboratory and field observations. Int Biodeterior Biodegradation 90:115–122

    CAS  Article  Google Scholar 

  • Sun G-D, Xu Y, Liu Y, Liu Z-P (2014) Microbial community dynamics of soil mesocosms using Orychophragmus violaceus combined with Rhodococcus ruber Em1 for bioremediation of highly PAH-contaminated soil. Appl Microbiol Biotechnol 98:10243–10253

    CAS  Article  Google Scholar 

  • Taiwo AM (2011) Composting as a sustainable waste management technique in developing countries. J Environ Sci Technol 4:93–102

    CAS  Article  Google Scholar 

  • Tang J, Wang M, Wang F, Sun Q, Zhou Q (2011) Eco-toxicity of petroleum hydrocarbon contaminated soil. J Environ Sci 23:845–851

    CAS  Article  Google Scholar 

  • VAN Beilen JB, Funhoff EG, VAN Loon A, Just A, Kaysser L, Bouza M, Holtackers R, Röthlisberger M, Li Z, Witholt B (2006) Cytochrome P450 alkane hydroxylases of the CYP153 family are common in alkane-degrading eubacteria lacking integral membrane alkane hydroxylases. Applied Environtal Microbiology 72:59–65

    Article  CAS  Google Scholar 

  • Van Gestel CA, Van der Waarde JJ, Derksen J, Van der Hoek EE, Veul MF, Bouwens S, Rusch B, Kronenburg R, Stokman GN (2001) The use of acute and chronic bioassays to determine the ecological risk and bioremediation efficiency of oil-polluted soils. Environmental Toxicology and Chemistry: An International Journal 20:1438–1449

    Article  Google Scholar 

  • Varjani SJ (2017) Microbial degradation of petroleum hydrocarbons. Bioresour Technol 223:277–286

    CAS  Article  Google Scholar 

  • Venkidusamy K, Megharaj M, Marzorati M, Lockington R, Naidu R (2016) Enhanced removal of petroleum hydrocarbons using a bioelectrochemical remediation system with pre-cultured anodes. Sci Total Environ 539:61–69

    CAS  Article  Google Scholar 

  • Vinas M, Sabaté J, Espuny MJ, Solanas AM (2005) Bacterial community dynamics and polycyclic aromatic hydrocarbon degradation during bioremediation of heavily creosote-contaminated soil. Appl Environ Microbiol 71:7008–7018

    CAS  Article  Google Scholar 

  • Wang Q, Garrity GM, Tiedje JM, Cole JR (2007) Naive Bayesian classifier for rapid assignment of rRNA sequences into the new bacterial taxonomy. Appl Environ Microbiol 73:5261–5267

    CAS  Article  Google Scholar 

  • Wang S, Wang X, Zhang C, Li F, Guo G (2016) Bioremediation of oil sludge contaminated soil by landfarming with added cotton stalks. Int Biodeterior Biodegradation 106:150–156

    CAS  Article  Google Scholar 

  • Whyte L, Smits T, Labbe D, Witholt B, Greer C, VAN Beilen J (2002) Gene cloning and characterization of multiple alkane hydroxylase systems in Rhodococcus strains Q15 and NRRL B-16531. Appl Environ Microbiol 68:5933–5942

    CAS  Article  Google Scholar 

  • Wu M, Chen L, Tian Y, Ding Y, Dick WA (2013) Degradation of polycyclic aromatic hydrocarbons by microbial consortia enriched from three soils using two different culture media. Environ Pollut 178:152–158

    CAS  Article  Google Scholar 

  • Xu Y, Lu M (2010) Bioremediation of crude oil-contaminated soil: comparison of different biostimulation and bioaugmentation treatments. J Hazard Mater 183:395–401

    CAS  Article  Google Scholar 

  • Yakimov MM, Denaro R, Genovese M, Cappello S, D’auria G, Chernikova TN, Timmis KN, Golyshin PN, Giluliano L (2005) Natural microbial diversity in superficial sediments of Milazzo Harbor (Sicily) and community successions during microcosm enrichment with various hydrocarbons. Environ Microbiol 7:1426–1441

    CAS  Article  Google Scholar 

  • Zhang K, Hua XF, Han HL, Wang J, Miao CC, Xu YY, Huang ZD, Zhang H, Yang JM, Jin WB, Liu YM, Liu Z (2008) Enhanced bioaugmentation of petroleum- and salt-contaminated soil using wheat straw. Chemosphere 73:1387–1392

    CAS  Article  Google Scholar 

Download references

Author information

Affiliations

Authors

Corresponding author

Correspondence to Eman Koshlaf.

Additional information

Publisher’s note

Springer Nature remains neutral with regard to jurisdictional claims in published maps and institutional affiliations.

Responsible Editor: Elena Maestri

Rights and permissions

Reprints and Permissions

About this article

Verify currency and authenticity via CrossMark

Cite this article

Koshlaf, E., Shahsavari, E., Haleyur, N. et al. Impact of necrophytoremediation on petroleum hydrocarbon degradation, ecotoxicity and soil bacterial community composition in diesel-contaminated soil. Environ Sci Pollut Res 27, 31171–31183 (2020). https://doi.org/10.1007/s11356-020-09339-2

Download citation

  • Received:

  • Accepted:

  • Published:

  • Issue Date:

  • DOI: https://doi.org/10.1007/s11356-020-09339-2

Keywords

  • Bioremediation
  • Bacterial community
  • Pea straw
  • Illumina