Abstract
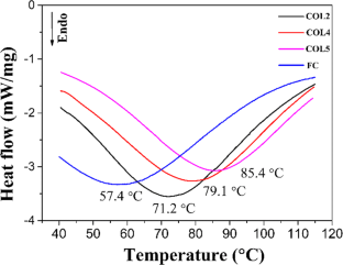
The collagens (COL2, COL4, and COL5) were extracted from chrome-tanned leather shavings via three distinctive routes of acid method. The dechroming degree of COL2 extracted with the easiest operation was the highest (95.6% ± 1.2%) and the yield exceeded 90%; however, the total amount of acid was the most and the cost was the highest. In the second route, although the three-step dechroming process brought cumbersome operation, the dechroming degree and yield of COL4 were 90.5% ± 0.8% and 92.2% ± 0.6%, respectively, and the acid amount was less than that in the first route. For COL5, the dechroming degree and yield was the lowest; nevertheless, this route had the advantages of lowest cost and simpler operation. Electrophoretic patterns showed that all the collagens contained α1, α2, and β chains without low molecular weight components and were close to those of type I collagen. Compared with native collagen extracted from fresh calf skin, the regenerated collagens also maintained unique triple helix conformation determined via ultraviolet, infrared spectra and X-ray diffraction, confirmed by the similar values of AIII/A1455 and Δν. Additionally, the collagens existed in the form of fibrils with D-period pattern of ~ 67 nm. Furthermore, the denaturation temperatures of COL2, COL4, and COL5 were 71.2, 79.1, and 85.4 °C, respectively, which were relevant to the tighter arrangement of fibrils with the increased chromium content.








Similar content being viewed by others
References
Albu MG, Ghica MV, Giurginca M, Trandafir V, Popa L, Cotrut C (2009) Spectral characteristics and antioxidant properties of tannic acid immobilized on collagen drug-delivery systems. Rev Chim 60:666–672
Albu MG, Ghica MV, Leca M, Popa L, Borlescu C, Cremenescu E, Giurginca M, Trandafir V (2010) Doxycycline delivery from collagen matrices Crosslinked with tannic acid. Mol Cryst Liq Cryst 523:97–105. https://doi.org/10.1080/15421401003724159
Andrews ME, Murali J, Muralidharan C, Madhulata W, Jayakumar R (2003) Interaction of collagen with corilagin. Colloid Polym Sci 281(8):766–770. https://doi.org/10.1007/s00396-002-0843-4
Benjakul S, Kishimura H, Sriket C, Kittiphattanabawon P (2019) Characteristics of acid and pepsin solubilized collagens from Nile tilapia (Oreochromis niloticus) scale. Emir J Food Agr 31(2):95–101. https://doi.org/10.9755/ejfa.2019.v31.i2.1911
Cao J, Duan Q, Liu X, Shen XR, Li C (2019) Extraction and physicochemical characterization of pepsin soluble collagens from Golden pompano (Trachinotus blochii) skin and bone. J Aquat Food Prod T 28:837–847. https://doi.org/10.1080/10498850.2019.1652216
Chaudhary R, Pati A (2016) Poultry feed based on protein hydrolysate derived from chrome-tanned leather solid waste: creating value from waste. Environ Sci Pollut Res Int 23(8):8120–8124. https://doi.org/10.1007/s11356-016-6302-4
Chinese Pharmacopeia Commission (2015) Chinese Pharmacopoeia. China Medical Science Press, Beijing
Chinh NT, Manh VQ, Trung VQ, Lam TD, Huynh MD, Tung NQ, Trinh ND, Hoang T (2019) Characterization of collagen derived from tropical freshwater carp fish scale wastes and its amino acid sequence. Nat Prod Commun 14(7):1–12. https://doi.org/10.1177/1934578X19866288
Dang XG, Yang M, Zhang BM, Chen H, Wang YJ (2019) Recovery and utilization of collagen protein powder extracted from chromium leather scrap waste. Environ Sci Pollut Res Int 26(7):7277–7283. https://doi.org/10.1007/s11356-019-04226-x
Doillon CJ, Whyne CF, Brandwein S, Silver FH (1986) Collagen-based wound dressings: control of the pore structure and morphology. J Biomed Mater Res 20:1219–1228. https://doi.org/10.1002/jbm.820200811
Erdem M (2006) Chromium recovery from chrome shaving generated in tanning process. J Hazard Mater 129(1–3):143–146. https://doi.org/10.1016/j.jhazmat.2005.08.021
Fathima A, Aravindhan R, Rao JR, Nair BU (2014) Biomass of Termitomyces clypeatus for chromium(III) removal from chrome tanning wastewater. Clean Technol Envir 17(2):541–547. https://doi.org/10.1007/s10098-014-0799-3
Ferreira MJ, Almeida MF, Pinho SC, Santos IC (2010) Finished leather waste chromium acid extraction and anaerobic biodegradation of the products. Waste Manag 30(6):1091–1100. https://doi.org/10.1016/j.wasman.2009.12.006
General Administration of Quality Supervision, Inspection and Quarantine of the People's Republic of China (1987) GB 7916–1987, Hygienic standard for cosmetics. China Standards Press, Beijing
Giraud-Guille M-M, Besseau L, Chopin C, Durand P, Herbage D (2000) Structural aspects of fish skin collagen which forms ordered arrays via liquid crystalline states. Biomaterials 21(9):899–906. https://doi.org/10.1016/S0142-9612(99)00244-6
He L, Lan W, Wang Y, Ahmed S, Liu Y (2019) Extraction and characterization of self-assembled collagen isolated from grass carp and Crucian carp. Foods 8(9):396. https://doi.org/10.3390/foods8090396
Laemmli UK (1970) Cleavage of structural proteins during the assembly of the head of bacteriophage T4. Nature 277:680–685. https://doi.org/10.1038/227680a0
Li D, Yang W, Li GY (2008) Extraction of native collagen from limed bovine split wastes through improved pretreatment methods. J Chem Technol Biotechnol 83(7):1041–1048. https://doi.org/10.1002/jctb.1912
Li CH, Tian HL, Duan L, Tian ZH, Li GY (2013) Characterization of acylated pepsin-solubilized collagen with better surface activity. Int J Biol Macromol 57:92–98. https://doi.org/10.1016/j.ijbiomac.2013.02.021
Li CH, Tian ZH, Liu WT, Li GY (2015) Structural properties of pepsin-solubilized collagen acylated by lauroyl chloride along with succinic anhydride. Mater Sci Eng C 55:327–334. https://doi.org/10.1016/j.msec.2015.05.055
Liao W, Liu YC, Xia GH, Shen XR, Duan ZW, Yang J (2017) Characterization of three-spot seahorse (Hippocampus trimaculatus) skin collagen and its fibrillar gel reinforced by EDC: a comparative study. J Food Biochem 41(5):e12391. https://doi.org/10.1111/jfbc.12391
Liao W, Xia GH, Li YC, Shen XR, Li C (2018) Comparison of characteristics and fibril-forming ability of skin collagen from barramundi (Lates calcarifer) and tilapia (Oreochromis niloticus). Int J Biol Macromol 107:549–559. https://doi.org/10.1016/j.ijbiomac.2017.09.022
Luo QB, Chi CF, Yang F, Zhao YQ, Wang B (2018) Physicochemical properties of acid- and pepsin-soluble collagens from the cartilage of Siberian sturgeon. Environ Sci Pollut Res Int 25(31):31427–31438. https://doi.org/10.1007/s11356-018-3147-z
Malek A, Hachemi M, Didier V (2009) New approach of depollution of solid chromium leather waste by the use of organic chelates: economical and environmental impacts. J Hazard Mater 170:156–162. https://doi.org/10.1016/j.jhazmat.2009.04.118
Niculescu M, Bajenaru S, Gaidau C, Simion D, Filipescu L (2009) Extraction of the protein components as ammo-acids hydrolysates from chrome leather wastes through hydrolytic processes. Rev Chim 10(60):1070–1078
Ocak B (2018) Film-forming ability of collagen hydrolysate extracted from leather solid wastes with chitosan. Environ Sci Pollut Res Int 25(5):4643–4655. https://doi.org/10.1007/s11356-017-0843-z
Pati A, Chaudhary R (2015) Soybean plant growth study conducted using purified protein hydrolysate-based fertilizer made from chrome-tanned leather waste. Environ Sci Pollut Res Int 22:20316–20321. https://doi.org/10.1007/s11356-015-5549-5
Pati A, Chaudhary R, Subramani S (2014) A review on management of chrome-tanned leather shavings: a holistic paradigm to combat the environmental issues. Environ Sci Pollut Res Int 21(19):11266–11282. https://doi.org/10.1007/s11356-014-3055-9
Pei HY (2002) Study on collagen hydrolysates extracted from chromium-containing leather waste. Zhengzhou University, Zhengzhou
Pei Y, Chu S, Zheng Y, Zhang J, Liu H, Zheng X, Tang K (2018) Dissolution of collagen fibers from tannery solid wastes in 1-Allyl-3-methylimidazolium chloride and modulation of regenerative morphology. ACS Sustain Chem Eng 7(2):2530–2537. https://doi.org/10.1021/acssuschemeng.8b05428
Pietrucha K (2005) Changes in denaturation and rheological properties of collagen–hyaluronic acid scaffolds as a result of temperature dependencies. Int J Biol Macromol 36(5):299–304. https://doi.org/10.1016/j.ijbiomac.2005.07.004
Rao JR, Thanikavekan P, Sreeram KJ, Nair BU (2002) Green route for the utilization of chrome shavings (chromium-containing solid waste) in tanning industry. Environ Sci Technol 36:1372–1376. https://doi.org/10.1021/es015635s
Sasia AA, Sang P, Onyuka A (2019) Recovery of collagen hydrolysate from chrome leather shaving tannery waste through two-step hydrolysis using magnesium oxide and bating enzyme. JSLTC 103:80–84
Şaşmaz S, Karaağaç B, Uyanık N (2019) Utilization of chrome-tanned leather wastes in natural rubber and styrene-butadiene rubber blends. J Mater Cycles Waste 21(1):166–175. https://doi.org/10.1007/s10163-018-0775-9
Scopel BS, Ribeiro ME, Dettmer A, Baldasso C (2017) Cornstarch-gelatin films: commercial gelatin versus chromed leather waste gelatin and evaluation of drying conditions. J Polym Environ 26(5):1998–2006. https://doi.org/10.1007/s10924-017-1097-z
Song WK, Liu D, Sun LL, Li BF, Hou H (2019) Physicochemical and biocompatibility properties of type I collagen from the skin of Nile Tilapia (Oreochromis niloticus) for biomedical applications. Mar Drugs 17(3):137. https://doi.org/10.3390/md17030137
Stockman G (1996) Practical consideration of the production scale hydrolysis of blue shaving. JALCA 91(7):190–192
Tian ZH, Li CH, Duan L, Li GY (2014) Physicochemical properties of collagen solutions cross-linked by glutaraldehyde. Connect Tissue Res 55(3):239–247. https://doi.org/10.3109/03008207.2014.898066
Tian ZH, Wu K, Liu WT, Shen LR, Li GY (2015) Two-dimensional infrared spectroscopic study on the thermally induced structural changes of glutaraldehyde-crosslinked collagen. Spectrochim Acta A 140:356–363. https://doi.org/10.1016/j.saa.2015.01.003
Tian ZH, Liu WT, Li GY (2016) The microstructure and stability of collagen hydrogel cross-linked by glutaraldehyde. Polym Degrad Stab 130:264–270. https://doi.org/10.1016/j.polymdegradstab.2016.06.015
Veeruraj A, Arumugam M, Ajithkumar T, Balasubramanian T (2015) Isolation and characterization of collagen from the outer skin of squid (Doryteuthis singhalensis). Food Hydrocoll 43:708–716. https://doi.org/10.1016/j.foodhyd.2014.07.025
Velusamy M, Chakali B, Ganesan S, Tinwala F, Venkatachalam SS (2019) Investigation on pyrolysis and incineration of chrome-tanned solid waste from tanneries for effective treatment and disposal: an experimental study. Environ Sci Pollut Res Int. https://doi.org/10.1007/s11356-019-07025-6
Wu KJ, Wang CY, Lu HK (2004) Effect of glutaraldehyde on the humoral immunogenicity and structure of porcine dermal collagen membranes. Arch Oral Biol 49(4):305–311. https://doi.org/10.1016/j.archoralbio.2003.10.002
Wu K, Liu WT, Li GY (2013) The aggregation behavior of native collagen in dilute solution studied by intrinsic fluorescence and external probing. Spectrochim Acta A Mol Biomol Spectrosc 102:186–193
Yang H, Xu SC, Shen LR, Liu WT, Li GY (2016) Changes in aggregation behavior of collagen molecules in solution with varying concentrations of acetic acid. Int J Biol Macromol 92:581–586
Yang J, Shan Z, Zhang Y, Chen L (2018) Stabilization and cyclic utilization of chrome leather shavings. Environ Sci Pollut Res Int 26(5):4680–4689. https://doi.org/10.1007/s11356-018-3687-2
Zhang ZK, Li GY, Shi B (2006) Physicochemical properties of collagen, gelatin and collagen hydrolysate derived from bovine limed split wastes. JSLTC 90:23–28
Zhang Y, Liu WT, Li GY, Shi B, Miao YQ, Wu XH (2007) Isolation and partial characterization of pepsin-soluble collagen from the skin of grass carp (Ctenopharyngodon idella). Food Chem 103(3):906–912. https://doi.org/10.1016/j.foodchem.2006.09.053
Funding
This work was financially supported by the National Natural Science Foundation of China (No. 21706151), Natural Science Foundation of Shaanxi Province (No. 2019JQ-027) and National Demonstration Center for Experimental Light Chemistry Engineering Education (No. 2018QGSJ02-16).
Author information
Authors and Affiliations
Corresponding author
Additional information
Responsible Editor: Ta Yeong Wu
Publisher’s note
Springer Nature remains neutral with regard to jurisdictional claims in published maps and institutional affiliations.
Electronic supplementary material
ESM 1
(PDF 123 kb).
Rights and permissions
About this article
Cite this article
Tian, Z., Wang, Y., Wang, H. et al. Regeneration of native collagen from hazardous waste: chrome-tanned leather shavings by acid method. Environ Sci Pollut Res 27, 31300–31310 (2020). https://doi.org/10.1007/s11356-020-09183-4
Received:
Accepted:
Published:
Issue Date:
DOI: https://doi.org/10.1007/s11356-020-09183-4


