Skip to main content

Role of transitory starch on growth, development and metal accumulation of Triticum aestivum cultivars grown under textile effluent fertilization

Abstract

Accumulation of transitory starch in leaves is an environment-dependent multifaceted process affected through stress caused by nutrient deficiency or excess of heavy metals in growing medium. On the other hand, textile effluent is one of the major pollution causing industrial waste due to the presence of heavy metal and organic contaminants. Besides the presence of higher pollution load, this effluent also contains some minerals essential for plant growth and metabolism and can serve as source of nutrients to plants. In presented experiment, a mesocosm study was conducted to evaluate the phenotypic, biochemical performance and trace element status of Triticum aestivum (cv. LOK-101 and GW-496) cultivars in response to transitory starch activity grown under textile effluent fertilization. Improved activity of transitory starch under textile effluent fertilization deals with plant growth by providing carbon in the form of soluble sugar. Study also finds a strong correlation of photosynthetic pigments, carbohydrates and plant biomass to transitory starch. As expected, the elemental concentration (Zn, Cu, Mn, Fe, Co, Pb, Cd, and As) in plants increased with increasing dose of textile effluent. The study concluded that the transitory starch is one of the key components in plant leaves that regulate plant growth under stress condition. Furthermore, the study also concluded that the lower dose of textile effluent significantly favours growth and nutrient status of plants without any negative impact. Therefore, the application of lower concentration of textile effluent as basal dose in agriculture may serve as source of nutrient/micronutrient to plants and also can be a sustainable way for effluent management.

This is a preview of subscription content, access via your institution.

Fig. 1
Fig. 2
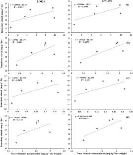
Fig. 3
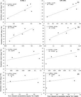
Fig. 4
Fig. 5
Fig. 6
Fig. 7
Fig. 8

References

  • Ali B, Gill RA, Yang S, Gill MB, Farooq MA, Liu D, Zhou W (2015) Regulation of cadmium-induced proteomic and metabolic changes by 5-aminolevulinic acid in leaves of Brassica napus L. PLoS One 10(4):e0123328

    Google Scholar 

  • Baroja-Fernández E, Muñoz FJ, Akazawa T, Pozueta-Romero J (2001) Reappraisal of the currently prevailing model of starch biosynthesis in photosynthetic tissues: a proposal involving the cytosolic production of ADP-glucose by sucrose synthase and occurrence of cyclic turnover of starch in the chloroplast. Plant Cell Physiol 42:1311–1320

    Google Scholar 

  • Bates LS, Waldren RP, Teare ID (1973) Rapid determination of free proline for water-stress studies. Plant Soil 39:205–207

    CAS  Google Scholar 

  • Bose S, Bhattacharyya AK (2008) Heavy metal accumulation in wheat plant grown in soil amended with industrial sludge. Chemosphere 70:1264–1272

    CAS  Google Scholar 

  • Boussadia O, Steppe K, Zgallai H, Hadj SB, Braham M, Lemeur R, Van Labeke MC (2010) Effects of nitrogen deficiency on leaf photosynthesis, carbohydrate status and biomass production in two olive cultivars ‘Meski’ and ‘Koroneiki’. Sci Hortic 123:336–342

    CAS  Google Scholar 

  • Boussen S, Soubrand M, Bril H, Ouerfelli K, Abdeljaouad S (2013) Transfer of lead, zinc and cadmium from mine tailings to wheat (Triticum aestivum) in carbonated Mediterranean (Northern Tunisia) soils. Geoderma 192:227–236

    CAS  Google Scholar 

  • Breuil C, Saddler JN (1985) Comparison of the 3, 5-dinitrosalicylic acid and Nelson-Somogyi methods of assaying for reducing sugars and determining cellulase activity. Enzym Microb Technol 7:327–332

    CAS  Google Scholar 

  • Chiroma TM, Ebewele RO, Hymore FK (2014) Comparative assessment of heavy metal levels in soil, vegetables and urban grey wastewater used for irrigation in Yola and Kano. J Eng Sci 3:01–09

  • Claudia P (2016) Disentangling the role of transitory starch storages in plant development and in osmotic stress response. Doctoral dissertation. Alma Mater Studiorum Universita di Bologna. https://doi.org/10.6092/unibo/amsdottorato/7580

  • Dubois M, Gilles K, Hamilton JK, Rebers PA, Smith F (1951) A colorimetric method for the determination of sugars. Nature 168:167–167

    CAS  Google Scholar 

  • El-Hendawy SE, Hassan WM, Al-Suhaibani NA, Refay Y, Abdella KA (2017) Comparative performance of multivariable agro-physiological parameters for detecting salt tolerance of wheat cultivars under simulated saline field growing conditions. Front Plant Sci 8:435

    Google Scholar 

  • El-Metwally IM, El-Saidy AE (2016) Physiological and chemical response of faba bean to water regime and cobalt supplement in sandy soils. Int J Pharm Tech Res 9:158–169

  • El-Sheekh MM, El-Naggar AH, Osman MEH, El-Mazaly E (2003) Effect of cobalt on growth, pigments and the photosynthetic electron transport in Monoraphidium minutum and Nitzchia perminuta. Braz J Plant Physiol 15:159–166

    CAS  Google Scholar 

  • Geigenberger P (2011) Regulation of starch biosynthesis in response to a fluctuating environment. Plant Physiol 155:1566–1577

    CAS  Google Scholar 

  • Goodwin TW (1976) Chemistry and biochemistry of plant pigments. 2nd Edn. Chemistry and Biochemistry of Plant Pigments. Academic Press, London

  • Gronwall J, Jonsson AC (2017) Regulating effluents from India’s textile sector: new commands and compliance monitoring for zero liquid discharge. Law Environ Dev J 13:1–13

  • Gupta R, Mittal A (2017) Effect of textile industry effluent on growth and biochemical parameters of Tagetes erecta. Indian J Sci Technol 10:1–7

    Google Scholar 

  • Gupta S, Satpati S, Nayek S, Garai D (2010) Effect of wastewater irrigation on vegetables in relation to bioaccumulation of heavy metals and biochemical changes. Environ Monit Assess 165:69–177

    Google Scholar 

  • Hassan NU, Mahmood Q, Waseem A, Irshad M, Pervez A (2013) Assessment of heavy metals in wheat plants irrigated with contaminated wastewater. Pol J Environ Stud 22:115–123

    Google Scholar 

  • Higuchi K, Kanai M, Tsuchiya M, Ishii H, Shibuya N, Fujita N, Nakamura Y, Suzui N, Fujimaki S, Miwa E (2015) Common reed accumulates starch in its stem by metabolic adaptation under Cd stress conditions. Front Plant Sci 6:1–6

    Google Scholar 

  • Jarvis CE, Walker JR (1993) Simultaneous, rapid, spectrophotometric determination of total starch, amylose and amylopectin. J Sci Food Agric 63:53–57

    CAS  Google Scholar 

  • Jiang CZ, Ishihara K, Satoh K, Katoh S (1999) Loss of the photosynthetic capacity and proteins in senescing leaves at top positions of two cultivars of rice in relation to the source capacities of the leaves for carbon and nitrogen. Plant Cell Physiol 40:496–503

    CAS  Google Scholar 

  • Kalaji HM, Bąba W, Gediga K, Goltsev V, Samborska IA, Cetner MD, Dimitrova S, Piszcz U, Bielecki K, Karmowska K, Dankov K (2018) Chlorophyll fluorescence as a tool for nutrient status identification in rapeseed plants. Photosynth Res 136:239–343

    Google Scholar 

  • Kaushik P, Garg VK, Singh B (2005) Effect of textile effluents on growth performance of wheat cultivars. Bioresour Technol 96:1189–1193

    CAS  Google Scholar 

  • Khan MG, Daniel G, Konjit M, Thomas A, Eyasu SS, Awoke G (2011) Impact of textile waste water on seed germination and some physiological parameters in pea (Pisum sativum L.), Lentil (Lens esculentum L.) and gram (Cicer arietinum L.). Asian J Plant Sci 10:269–273

    CAS  Google Scholar 

  • Lemoine R, La Camera S, Atanassova R, Dédaldéchamp F, Allario T, Pourtau N, Bonnemain JL, Laloi M, Coutos-Thévenot P, Maurousset L, Faucher M (2013) Source-to-sink transport of sugar and regulation by environmental factors. Front Plant Sci 4:272

    Google Scholar 

  • Liang X, Zhang L, Natarajan SK, Becker DF (2013) Proline mechanisms of stress survival. Antioxid Redox Signal 19:998–1011

    CAS  Google Scholar 

  • Lowry OH, Rosebrough NJ, Farr AL, Randall RJ (1951) Protein measurement with the Folin phenol reagent. J Biol Chem 193:265–275

    CAS  Google Scholar 

  • Lu YAN, Sharkey TD (2006) The importance of maltose in transitory starch breakdown. Plant Cell Environ 29:353–366

    CAS  Google Scholar 

  • Manios T, Stentiford EI, Millner PA (2003) The effect of heavy metals accumulation on the chlorophyll concentration of Typha latifolia plants, growing in a substrate containing sewage sludge compost and watered with metaliferus water. Ecol Eng 20:65–74

    Google Scholar 

  • Nyitrai P, Bóka K, Gáspá L, Sárvári É, Keresztes Á (2004) Rejuvenation of ageing bean leaves under the effect of low-dose stressors. Plant Biol 6:708–714

    CAS  Google Scholar 

  • Orzechowski S (2008) Starch metabolism in leaves. Acta Biochim Pol 55:435–445

    CAS  Google Scholar 

  • Page V, Feller U (2015) Heavy metals in crop plants: transport and redistribution processes on the whole plant level. Agronomy 5:447–463

    CAS  Google Scholar 

  • Pfister B, Zeeman SC (2016) Formation of starch in plant cells. Cell Mol Life Sci 73:2781–2807

    CAS  Google Scholar 

  • Poorter H, Niklas KJ, Reich PB, Oleksyn J, Poot P, Mommer L (2012) Biomass allocation to leaves, stems and roots: meta-analyses of interspecific variation and environmental control. New Phytol 193:30–50

    CAS  Google Scholar 

  • Radford PJ (1967) Growth analysis formulae-their use and abuse 1. Crop Sci 7:171–175

    Google Scholar 

  • Rees M, Osborne CP, Woodward FI, Hulme SP, Turnbull LA, Taylor SH (2010) Partitioning the components of relative growth rate: how important is plant size variation? Am Nat 176:E152–E161

    Google Scholar 

  • Robertson MJ, Muchow RC, Wood AW, Campbell JA (1996) Accumulation of reducing sugars by sugarcane: effects of crop age, nitrogen supply and cultivar. Field Crop Res 49:39–50

    Google Scholar 

  • Rosa M, Hilal M, Gonzalez JA, Prado FE (2009) Low-temperature effect on enzyme activities involved in sucrose–starch partitioning in salt-stressed and salt-acclimated cotyledons of quinoa (Chenopodium quinoa Willd.) seedlings. Plant Physiol Biochem 47:300–307

    CAS  Google Scholar 

  • Santelia D, Lunn JE (2017) Transitory starch metabolism in guard cells: unique features for a unique function. Plant Physiol 174:539–549

    CAS  Google Scholar 

  • Shah SH, Houborg R, McCabe MF (2017) Response of chlorophyll, carotenoid and SPAD-502 measurement to salinity and nutrient stress in wheat (Triticum aestivum L.). Agronomy 7:2–21

    Google Scholar 

  • Shukla UC, Singh J, Joshi PC, Kakkar P (2003) Effect of bioaccumulation of cadmium on biomass productivity, essential trace elements, chlorophyll biosynthesis, and macromolecules of wheat seedlings. Biol Trace Elem Res 92:257–273

    CAS  Google Scholar 

  • Shukla S, Felderhoff TJ, Saballos A, Vermerris W (2017) The relationship between plant height and sugar accumulation in the stems of sweet sorghum (Sorghum bicolor (L.) Moench). Field Crop Res 203:181–191

    Google Scholar 

  • Singh R, Rathore D (2018) Oxidative stress defence responses of wheat (Triticum aestivum L.) and chilli (Capsicum annum L.) cultivars grown under textile effluent fertilization. Plant Physiol Biochem 123:342–358

    CAS  Google Scholar 

  • Singh R, Rathore D (2019) Impact assessment of azulene and chromium on growth and metabolites of wheat and chilli cultivars under biosurfactant augmentation. Ecotoxicol Environ Saf 186:109789

    Google Scholar 

  • Singh R, Singh DP, Kumar N, Bhargava SK, Barman SC (2010) Accumulation and translocation of heavy metals in soil and plants from fly ash contaminated area. J Environ Biol 31:421–430

    CAS  Google Scholar 

  • Singh S, Parihar P, Singh R, Singh VP, Prasad SM (2016) Heavy metal tolerance in plants: role of transcriptomics, proteomics, metabolomics, and ionomics. Front Plant Sci 6:1143

    Google Scholar 

  • Sperotto RA, Ricachenevsky FK, Williams LE, Vasconcelos MW, Menguer PK (2014) From soil to seed: micronutrient movement into and within the plant. Front Plant Sci 5:438

    Google Scholar 

  • Sridhar BM, Diehl SV, Han FX, Monts DL, Su Y (2005) Anatomical changes due to uptake and accumulation of Zn and Cd in Indian mustard (Brassica juncea). Environ Exp Bot 54:131–141

    Google Scholar 

  • Syvertsen JP, Bausher MG, Albrigo LG (1980) Water relations and related leaf characteristics of healthy and blight affected citrus trees. J Am Soc Hortic Sci 105:431–434

    Google Scholar 

  • Taybi T, Cushman JC, Borland AM (2017) Leaf carbohydrates influence transcriptional and post-transcriptional regulation of nocturnal carboxylation and starch degradation in the facultative CAM plant Mesembryanthemum crystallinum. J Plant Physiol 218:144–154

    CAS  Google Scholar 

  • Thalmann M, Santelia D (2017) Starch as a determinant of plant fitness under abiotic stress. New Phytol 214:943–951

    CAS  Google Scholar 

  • Walker RL, Burns IG, Moorby J (2001) Responses of plant growth rate to nitrogen supply: a comparison of relative addition and N interruption treatments. J Exp Bot 52:309–317

    CAS  Google Scholar 

  • Wei L, Wang L, Yang Y, Liu G, Wu Y, Guo T, Kang G (2015) Abscisic acid increases leaf starch content of polyethylene glycol-treated wheat seedlings by temporally increasing transcripts of genes encoding starch synthesis enzymes. Acta Physiol Plant 37:206

    Google Scholar 

  • Weise SE, van Wijk KJ, Sharkey TD (2011) The role of transitory starch in C3, CAM, and C4 metabolism and opportunities for engineering leaf starch accumulation. J Exp Bot 62:3109–3118

    CAS  Google Scholar 

  • Wolf S (1993) Effect of leaf age on photosynthesis, carbon transport and carbon allocation in potato plants. Potato Res 36:253–262

    CAS  Google Scholar 

  • Yaseen M, Aziz MZ, Komal A, Naveed M (2017) Management of textile wastewater for improving growth and yield of field mustard (Brassica campestris L.). Int J Phytoremediation 19:798–804

    CAS  Google Scholar 

  • Zanella M, Borghi GL, Pirone C, Thalmann M, Pazmino D, Costa A, Santelia D, Trost P, Sparla F (2016) β-Amylase 1 (BAM1) degrades transitory starch to sustain proline biosynthesis during drought stress. J Exp Bot 67:1819–1826

    CAS  Google Scholar 

  • Zappala MN, Ellzey JT, Bader J, Peralta-Videa JR, Gardea-Torresdey J (2014) Effects of copper sulfate on seedlings of Prosopis pubescens (screwbean mesquite). Int J Phytoremediation 16:1031–1041

    CAS  Google Scholar 

Download references

Acknowledgements

The authors are thankful to the School of Environment and Sustainable Development, Central University of Gujarat and Research Division (Gujarat Forestry Research and Training Complex, Gandhinagar) for providing the space and necessary experimental facility. The authors are also thankful to the Central Institute of Medicinal and Aromatic Plants (CIMAP), Lucknow, for the metal analysis.

Funding

One of the authors (Miss Ratan Singh) would like to thank the Ministry of Social Justice and Empowerment for providing the RGNFD fellowship (RGNF-2012-13DGEN-UTT-56466).

Author information

Affiliations

Authors

Contributions

RS and DR equally contributed to designing the study, performing the experiments and analysing the data, and manuscript writing.

Corresponding author

Correspondence to Dheeraj Rathore.

Ethics declarations

Conflict of interest

The authors declare that they have no conflicts of interest.

Additional information

Publisher’s note

Springer Nature remains neutral with regard to jurisdictional claims in published maps and institutional affiliations.

Responsible Editor: Gangrong Shi

Electronic supplementary material

ESM 1

(DOCX 3195 kb).

Rights and permissions

Reprints and Permissions

About this article

Verify currency and authenticity via CrossMark

Cite this article

Singh, R., Rathore, D. Role of transitory starch on growth, development and metal accumulation of Triticum aestivum cultivars grown under textile effluent fertilization. Environ Sci Pollut Res 27, 24201–24217 (2020). https://doi.org/10.1007/s11356-020-08735-y

Download citation

  • Received:

  • Accepted:

  • Published:

  • Issue Date:

  • DOI: https://doi.org/10.1007/s11356-020-08735-y

Keywords

  • Transitory starch
  • Textile effluent
  • Triticum aestivum
  • Principle component analysis
  • Transition factor
  • Enrichment factor