Skip to main content

Assessment of growth, physiological, and yield attributes of wheat cultivar HD 2967 under elevated ozone exposure adopting timely and delayed sowing conditions

Abstract

The present study was conducted to assess the impact of elevated levels of O3 and shifting of crop calendar practice, singly, and in combination on Triticum aestivum cv. HD 2967 on its growth, gas exchange parameters, and yield attributes in open-top chambers (OTCs). Two sowing dates were considered: timely sown and late sown. Late sowing was delayed by 20 days from the timely sowing date. The result revealed that wheat plants under elevated O3 and timely sown conditions (ET) showed reductions in growth parameters, while such effects were synergistic when plants were exposed to elevated O3 under late sown conditions (EL). Photosynthetic rate, stomatal conductance, and water use efficiency reduced significantly under EL followed by ET and AL as compared with AT (ambient O3 + timely sown) whereas transpiration rate showed maximum increment under EL. Grain yield reduced by 45.3% in EL as compared with AT and 16.2% in ET as compared with AT. The growth parameters and yield attributes obtained from the present experiment revealed that (i) O3 is affecting the growth and productivity of the wheat and (ii) late sowing practice has not proved to be a feasible adaptation strategy for the wheat cultivation against O3-induced production losses under the prevailing conditions of Indo-Gangetic Plain. This is the first report documenting the shifting of crop calendar practice at the present and future scenario of O3 concentration under agro-ecological conditions in the tropical region of India.

This is a preview of subscription content, access via your institution.

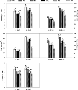
Fig. 1
Fig. 2
Fig. 3
Fig. 4
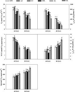
Fig. 5
Fig. 6
Fig. 7

References

  • Ainsworth EA, Yendrek CR, Sitch S, Collins WJ, Emberson LD (2012) The effects of tropospheric ozone on net primary productivity and implications for climate change. Annu Rev Plant Biol 63:637–661

    CAS  Google Scholar 

  • Akyeampong E (1986) Seed yield, water use, and water use efficiency of cowpea in response to drought stress at different developmental stages 0002–0002

  • Ashrafuzzaman M, Lubna FA, Holtkamp F, Manning WJ, Kraska T, Frei M (2017) Diagnosing ozone stress and differential tolerance in rice (Oryza sativa L.) with ethylenediurea (EDU). Environ Pollut 230:339–350

    CAS  Google Scholar 

  • Avnery S, Mauzerall DL, Liu J, Horowitz LW (2011) Global crop yield reductions due to surface ozone exposure: 1. Year 2000 crop production losses and economic damage. Atmos Environ 45:2284–2296

    CAS  Google Scholar 

  • Baloch MS, Shah IT, Nadim MA, Khan MI, Khakwani AA (2010) Effect of seeding density and planting time on growth and yield attributes of wheat. J Anim Plant Sci 20:239–240

    Google Scholar 

  • Baqasi LA, Qari HA, Al-Nahhas N, Badr RH, Taia WK, El-Dakkak R, Hassan IA (2018) Effects of low concentration of ozone (O3) on metabolic and physiological attributes in wheat (Triticum aestivum L.) plants. Biomed Pharmacol J 11:929–934

    CAS  Google Scholar 

  • Bell JN, Ashmore MR (1986) Design and construction of open top chambers and methods of filteration (equipment and cost). In Proceedings of II European open top chambers workshop

  • Broberg MC, Uddling J, Mills G, Pleijel H (2017) Fertilizer efficiency in wheat is reduced by ozone pollution. Sci Total Environ 607:876–880

    Google Scholar 

  • Burney J, Ramanathan V (2014) Recent climate and air pollution impacts on Indian agriculture. Proc Natl Acad Sci 111:16319–16324

    CAS  Google Scholar 

  • Calatayud A, Iglesias DJ, Talon M, Barreno E (2004) Response of spinach leaves (Spinacia oleracea L.) to ozone measured by gas exchange, chlorophyll a fluorescence, antioxidant systems, and lipid peroxidation. Photosynthetica. 42:23–29

    CAS  Google Scholar 

  • Caliskan S, Caliskan ME, Arslan M, Arioglu H (2008) Effects of sowing date and growth duration on growth and yield of groundnut in a Mediterranean–type environment in Turkey. Field Crop Res 105:131–140

    Google Scholar 

  • Calvo E, Calvo I, Jimenez A, Porcuna JL, Sanz MJ (2009) Using manure to compensate ozone–induced yield loss in potato plants cultivated in the east of Spain. Agric Ecosyst Environ 131:185–192

    CAS  Google Scholar 

  • Chaudhary N, Agrawal SB (2014) Role of gamma radiation in changing phytotoxic effect of elevated level of ozone in Trifolium alexandrinum L. (Clover). Atmos Pollut Res 5:104–112

    Google Scholar 

  • Cole CV, Duxbury J, Freney J, Heinemeyer O, Minami K, Mosier A, Paustian K, Rosenberg N, Sampson N, Sauerbeck D, Zhao Q (1997) Global estimates of potential mitigation of greenhouse gas emissions by agriculture. Nutr Cycl Agroecosyst 49:221–228

    CAS  Google Scholar 

  • Davis JG (1994) Managing plant nutrients for optimum water use efficiency and water conservation. Adv Agron 53:85–121

    CAS  Google Scholar 

  • Day PR (1965) Particle fractionation and particle-size analysis. American Society of Agronomy, Soil Science Society of America

  • Emberson LD, Pleijel H, Ainsworth EA, Van den Berg M, Ren W, Osborne S, Mills G, Pandey D, Dentener F, Büker P, Ewert F (2018) Ozone effects on crops and consideration in crop models. Eur J Agron 100:19–34

    CAS  Google Scholar 

  • Estes BL, Enebak SA, Chappelka AH (2004) Loblolly pine seedling growth after inoculation with plant growth–promoting rhizobacteria and ozone exposure. Can J For Res 34:1410–1416

    CAS  Google Scholar 

  • Fageria NK, Santos AB (2008) Lowland rice response to thermophosphate fertilization. Commun Soil Sci Plant Anal 39:873–889

    CAS  Google Scholar 

  • Fatima A, Singh AA, Mukherjee A, Agrawal M, Agrawal SB (2018) Variability in defence mechanism operating in three wheat cultivars having different levels of sensitivity against elevated ozone. Environ Exp Bot 155:66–78

    CAS  Google Scholar 

  • Feng ZW, Jin MH, Zhang FZ, Huang YZ (2003) Effects of ground–level ozone (O3) pollution on the yields of rice and winter wheat in the Yangtze River Delta. J Environ Sci 15:360–362

    CAS  Google Scholar 

  • Feng ZZ, Yao FF, Chen Z, Wang XK, Zheng QW, Feng ZW (2007) Response of gas exchange and yield components of field–grown Triticum aestivum L. to elevated ozone in China. Photosynthetica 45:441–446

    CAS  Google Scholar 

  • Ferrise R, Triossi A, Stratonovitch P, Bindi M, Martre P (2010) Sowing date and nitrogen fertilisation effects on dry matter and nitrogen dynamics for durum wheat: an experimental and simulation study. Field Crop Res 117:245–257

    Google Scholar 

  • Fowler D, Amann M, Anderson F, Ashmore M, Cox P, Depledge M, Derwent D, Grennfelt P, Hewitt N, Hov O, Jenkin M (2008) Ground–level ozone in the 21st century: future trends, impacts and policy implications. Royal Society Science Policy Report 1–132

  • Ghosh A, Singh AA, Agrawal M, Agrawal SB (2018) Ozone toxicity and remediation in crop plants. In Sustainable Agriculture Reviews 27:129-169. Springer, Cham

  • Ghude SD, Jena C, Chate DM, Beig G, Pfister GG, Kumar R, Ramanathan V (2014) Reductions in India’s crop yield due to ozone. Geophys Res Lett 41:5685–5691

    Google Scholar 

  • Hassan IA, Haiba NS, Badr RH, Basahi JM, Almeelbi T, Ismail IM, Taia WK (2017) Effects of ambient ozone on reactive oxygen species and antioxidant metabolites in leaves of pea (Pisum sativum L.) plants. Pak. J. Bot 49:47–55

    CAS  Google Scholar 

  • Hunt R (1982) Plant growth curves. The functional approach to plant growth analysis. Edward Arnold Ltd.

  • Hussain M, Farooq M, Shabir G, Khan MB, Zia AB, Lee DJ (2012) Delay in planting decreases wheat productivity. Int J Agric Biol 14

  • Kalita G, Bhuyan PK (2011) Spatial heterogeneity in tropospheric column ozone over the Indian subcontinent: long–term climatology and possible association with natural and anthropogenic activities. Adv Meteorol 2011:12

    Google Scholar 

  • Kamrozzaman MM, Khan MA, Ahmed S, Sultana N (2017) Growth and yield of wheat at different dates of sowing under chrland ecosystem of Bangladesh. J Bangladesh Agril Univ 14:147–154

    Google Scholar 

  • Kibe AM, Singh S, Kalra N (2006) Water–nitrogen relationships for wheat growth and productivity in late sown conditions. Agric Water Manag 84:221–228

    Google Scholar 

  • Kumar R, Barth MC, Pfister GG, Delle Monache L, Lamarque JF, Archer-Nicholls S, Tilmes S, Ghude SD, Wiedinmyer C, Naja M, Walters S (2018) How will air quality change in South Asia by 2050? J Geophys Res Atmos 123:1840–1864

    Google Scholar 

  • Lal DM, Ghude SD, Patil SD, Kulkarni SH, Jena C, Tiwari S, Srivastava MK (2012) Tropospheric ozone and aerosol long–term trends over the Indo–Gangetic Plain (IGP), India. Atmos Res 116:82–92

    CAS  Google Scholar 

  • Lapina K, Henze DK, Milford JB, Cuvelier C, Seltzer M (2015) Implications of RCP emissions for future changes in vegetative exposure to ozone in the western US. Geophys Res Lett 42:4190–4198

    CAS  Google Scholar 

  • Leisner CP, Ainsworth EA (2012) Quantifying the effects of ozone on plant reproductive growth and development. Glob Chang Biol 18:606–616

    Google Scholar 

  • Li C, Meng J, Guo L, Jiang G (2016) Effects of ozone pollution on yield and quality of winter wheat under flixweed competition. Environ Exp Bot 129:77–84

    CAS  Google Scholar 

  • Li CH, Wang TZ, Li Y, Zheng YH, Jiang GM (2013) Flixweed is more competitive than winter wheat under ozone pollution: evidences from membrane lipid peroxidation, antioxidant enzymes and biomass. PLoS One 8:1–9

    Google Scholar 

  • Li G, Bei N, Cao J, Wu J, Long X, Feng T, Dai W, Liu S, Zhang Q, Tie X (2017) Widespread and persistent ozone pollution in eastern China during the non–winter season of 2015: observations and source attributions. Atmos Chem Phys 17:2759–2774

    CAS  Google Scholar 

  • Mathobo R, Marais D, Steyn JM (2017) The effect of drought stress on yield, leaf gaseous exchange and chlorophyll fluorescence of dry beans (Phaseolus vulgaris L.). Agric Water Manag 180:118–125

    Google Scholar 

  • Mauzerall DL, Wang X (2001) Protecting agricultural crops from the effects of tropospheric ozone exposure: reconciling science and standard setting in the United States, Europe, and Asia. Annu Rev Energy Environ 26:237–268

    Google Scholar 

  • McGrath JM, Betzelberger AM, Wang S, Shook E, Zhu XG, Long SP, Ainsworth EA (2015) An analysis of ozone damage to historical maize and soybean yields in the United States. P Natl Acad of Sci 112:14390–14395

    CAS  Google Scholar 

  • Mishra AK, Rai R, Agrawal SB (2013) Differential response of dwarf and tall tropical wheat cultivars to elevated ozone with and without carbon dioxide enrichment: growth, yield and grain quality. Field Crop Res 145:21–32

    Google Scholar 

  • Monga R, Marzuoli R, Alonso R, Bermejo V, González-Fernández I, Faoro F, Gerosa G (2015) Varietal screening of ozone sensitivity in Mediterranean durum wheat (Triticum durum, Desf.). Atmos Environ 110:18–26

    CAS  Google Scholar 

  • Pandey AK, Ghosh A, Agrawal M, Agrawal SB (2018) Effect of elevated ozone and varying levels of soil nitrogen in two wheat (Triticum aestivum L.) cultivars: growth, gas-exchange, antioxidant status, grain yield and quality. Ecotoxicol Environ Saf 158:59–68

    CAS  Google Scholar 

  • Patil KS, Durge DV, Shivankar RS (2003) Effect of temperature on yield and yield components of early wheat cultivars. J Maharashtra Agric Univ, India

    Google Scholar 

  • Pleijel H, Danielsson H, Emberson L, Ashmore MR, Mills G (2007) Ozone risk assessment for agricultural crops in Europe: further development of stomatal flux and flux–response relationships for European wheat and potato. Atmos Environ 41:3022–3040

    CAS  Google Scholar 

  • Pleijel H, Eriksen AB, Danielsson H, Bondesson N, Selldén G (2006) Differential ozone sensitivity in an old and a modern Swedish wheat cultivar—grain yield and quality, leaf chlorophyll and stomatal conductance. Environ Exp Bot 56:63–71

    CAS  Google Scholar 

  • Prather M, Gauss M, Berntsen T, Isaken I, Sundet J, Bey I, Brasseur G, Dentener F, Derwent R, Stevenson D, Grenfell L, Hauglustaine D, Horowitz L, Jacob D, Mickley L, Lawrence M, Kuhlmann RV, Muller JF, Pitari G, Rogers H, Johnson M, Pyle J, Law K, Weele MV, Wild O (2003) Fresh air in the 21st century. Geophys Res Lett 30:72–74

    Google Scholar 

  • Rai R, Agrawal M (2008) Evaluation of physiological and biochemical responses of two rice (Oryza sativa L.) cultivars to ambient air pollution using open top chambers at a rural site in India. Sci Total Environ 407:679–691

    CAS  Google Scholar 

  • Rai R, Agrawal M (2012) Impact of tropospheric ozone on crop plants. Proceedings of the National Academy of Sciences, India Section B: Biological Sciences 82:241–257

  • Rai R, Agrawal M (2014) Assessment of competitive ability of two Indian wheat cultivars under ambient O3 at different developmental stages. Environ Sci Pollut Res 21:1039–1053

    CAS  Google Scholar 

  • Rai R, Rajput M, Agrawal M, Agrawal SB (2011) Gaseous air pollutants: a review on current and future trends of emissions and impact on agriculture. J Sci Res 55:77–102

    Google Scholar 

  • Sarkar A, Agrawal SB (2010) Elevated ozone and two modern wheat cultivars: an assessment of dose dependent sensitivity with respect to growth, reproductive and yield parameters. Environ Exp Bot 69:328–337

    CAS  Google Scholar 

  • Schauberger B, Rolinski S, Schaphoff S, Müller C (2019) Global historical soybean and wheat yield loss estimates from ozone pollution considering water and temperature as modifying effects. Agri For Meteorol 265:1–5

    Google Scholar 

  • Shahzad K, Bakht J, Shah WA, Shafi M, Jabeen N (2002) Yield and yield components of various wheat cultivars as affected by different sowing dates. Asian J Plant Sci 1:522–525

    Google Scholar 

  • Sharma A, Ojha N, Pozzer A, Beig G, Gunthe SS (2019) Revisiting the crop yield loss in India attributable to ozone. Atmos Environ 1:100008

    Google Scholar 

  • Sial MA, Arain MA, Khanzada SH, Naqvi MH, Dahot MU, Nizamani NA (2005) Yield and quality parameters of wheat genotypes as affected by sowing dates and high temperature stress. Pak J Bot 37:575

    Google Scholar 

  • Singh A, Agrawal SB, Rathore D (2005) Amelioration of Indian urban air pollution phytotoxicity in Beta vulgaris L. by modifying NPK nutrients. Environ Pollut 134:385–395

    CAS  Google Scholar 

  • Singh AA, Agrawal SB, Shahi JP, Agrawal M (2014) Assessment of growth and yield losses in two Zea mays L. cultivars (quality protein maize and nonquality protein maize) under projected levels of ozone. Environ Sci Pollut Res 21:2628–2641

    CAS  Google Scholar 

  • Singh AA, Fatima A, Mishra AK, Chaudhary N, Mukherjee A, Agrawal M, Agrawal SB (2018) Assessment of ozone toxicity among 14 Indian wheat cultivars under field conditions: growth and productivity. Environ Monit Assess 190:190

    Google Scholar 

  • Sinha B, Singh Sangwan K, Maurya Y, Kumar V, Sarkar C, Chandra BP, Sinha V (2015) Assessment of crop yield losses in Punjab and Haryana using 2 years of continuous in situ ozone measurements. Atmos Chem Phys 15:9555–9576

    CAS  Google Scholar 

  • Six J, Ogle SM, Conant RT, Mosier AR, Paustian K (2004) The potential to mitigate global warming with no-tillage management is only realized when practised in the long term. Glob Chang Biol 10:155–160

    Google Scholar 

  • Srivastava RK, Panda RK, Chakraborty A, Halder D (2017) Enhancing grain yield, biomass and nitrogen use efficiency of maize by varying sowing dates and nitrogen rate under rainfed and irrigated conditions. Field Crop Res 221:339–349

    Google Scholar 

  • Subedi KD, Ma BL, Xue AG (2007) Planting date and nitrogen effects on grain yield and protein content of spring wheat. Crop Sci 47:36–44

    CAS  Google Scholar 

  • Suleiman AA, Nganya JF, Ashraf MA (2014) Effect of cultivar and sowing date on growth and yield of wheat (Triticum aestivum L.) in Khartoum, Sudan. J Forest Pro Ind 3:198–203

    Google Scholar 

  • Tahir S, Ahmad A, Khaliq T, Cheema MJ (2019) Evaluating the impact of seed rate and sowing dates on wheat productivity in semi-arid environment. Int J Agric Biol 22:57–64

    CAS  Google Scholar 

  • Teixeira E, Fischer G, van Velthuizen H, van Dingenen R, Dentener F, Mills G, Walter C, Ewert F (2011) Limited potential of crop management for mitigating surface ozone impacts on global food supply. Atmos Environ 45:2569–2576

    CAS  Google Scholar 

  • Tsimba R, Edmeades GO, Millner JP, Kemp PD (2013) The effect of planting date on maize grain yields and yield components. Field Crop Res 150:135–144

    Google Scholar 

  • UNECE (2008) Review of the 1999 Gothenburg Protocol. Report by the Secretariat. UNECE Executive Body for the Convention on Long-Range Transboundary Air Pollution. ECE/EB.AIR/2007/10

  • Upadhyay RG, Rajeev R, Negi PS (2015) Influence of sowing dates and varieties on productivity of wheat under mid Himalayan region of Uttarakhand. Int J Trop Agric 33(2 Part IV):1905–1909

    Google Scholar 

  • Verma N, Lakhani A, Kumari KM (2017) High ozone episodes at a semi–urban site in India: Photochemical generation and transport. Atmos Res 197:232–243

    CAS  Google Scholar 

  • Wajid AF, Hussain AB, Ahmad AS, Goheer AR, Ibrahim MU, Mussaddique M (2004) Effect of sowing date and plant population on biomass, grain yield and yield components of wheat. Int J Agric Biol 6:1003–1005

    Google Scholar 

  • Yadav DS, Rai R, Mishra AK, Chaudhary N, Mukherjee A, Agrawal SB, Agrawal M (2019) ROS production and its detoxification in early and late sown cultivars of wheat under future O3 concentration. Sci Total Environ 659:200–210

    CAS  Google Scholar 

  • Zhan Y, Luo Y, Deng X, Grieneisen ML, Zhang M, Di B (2018) Spatiotemporal prediction of daily ambient ozone levels across China using random forest for human exposure assessment. Environ Pollut 233:464–473

    CAS  Google Scholar 

  • Zhu Z, Sun X, Zhao F, Meixner FX (2015) Ozone concentrations, flux and potential effect on yield during wheat growth in the Northwest–Shandong Plain of China. J Environ Sci 34:1–9

    Google Scholar 

  • Zimmermann A, Webber H, Zhao G, Ewert F, Kros J, Wolf J, Britz W, de Vries W (2017) Climate change impacts on crop yields, land use and environment in response to crop sowing dates and thermal time requirements. Agricult Sys 157:81–92

    Google Scholar 

  • Zubair M, Khakwani AA (2006) Effect of sowing dates on the yield and yield components of different wheat varieties. J Agron 5:106–110

    Google Scholar 

Download references

Acknowledgements

The authors are grateful to the Head, Department of Botany and Coordinators, CAS in Botany, FIST (DST) and ISLS (DBT), Banaras Hindu University, Varanasi, India, for providing the necessary facilities in order to carry out the work.

Funding

Annesha Ghosh is thankful to University Grant Commission for providing funds. Ashutosh Kumar Pandey wishes to express his gratitude to the University Grant Commission for providing D.S. Kothari postdoctoral fellowship.

Author information

Affiliations

Authors

Corresponding author

Correspondence to Shashi Bhushan Agrawal.

Ethics declarations

Conflict of interest

The authors declare that they have no conflict of interest.

Additional information

Publisher’s note

Springer Nature remains neutral with regard to jurisdictional claims in published maps and institutional affiliations.

Responsible Editor: Hailong Wang

Electronic supplementary material

ESM 1

(DOCX 1020 kb)

Rights and permissions

Reprints and Permissions

About this article

Verify currency and authenticity via CrossMark

Cite this article

Ghosh, A., Pandey, A.K., Agrawal, M. et al. Assessment of growth, physiological, and yield attributes of wheat cultivar HD 2967 under elevated ozone exposure adopting timely and delayed sowing conditions. Environ Sci Pollut Res 27, 17205–17220 (2020). https://doi.org/10.1007/s11356-020-08325-y

Download citation

  • Received:

  • Accepted:

  • Published:

  • Issue Date:

  • DOI: https://doi.org/10.1007/s11356-020-08325-y

Keywords

  • Late and timely sown
  • Open-top chambers
  • Ozone
  • Shifting crop calendar
  • AOT40
  • Wheat
  • Yield attributes