Skip to main content

Sensitivity analysis of the reference crop evapotranspiration in a humid region

Abstract

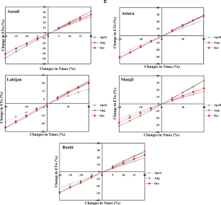
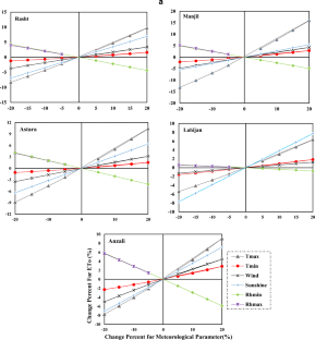
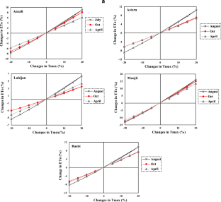
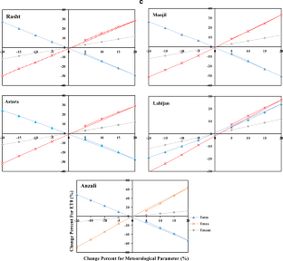
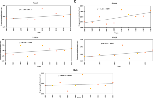
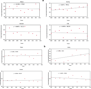
This study examined the sensitivity of reference crop evapotranspiration (ET0) to climatic variables in a humid region in Iran. ET0 was estimated using the FAO-56 Penman–Monteith (PMF-56), Blaney–Criddle (BC), and Hargreaves–Samani (HG) methods. Sensitivity analysis was performed by two distinct methods which were (i) changing the value of a certain climatic parameter in a range between ± 20% of its long-term mean with an increment of 5%, and calculating the percentage of change in ET0, while the other parameter values were kept constant; and (ii) calculating the sensitivity coefficients (SCs) for each of the climatic variables. For each of the climatic parameters, the Iso-SC maps were plotted using the Arc-GIS software. Results indicated that the most sensitive parameter for ET0 was the maximum air temperature (Tmax) by PMF-56 and HG methods. Increasing Tmax up to 20% led to an increase in ET0 between 8.5 and 15%, at the selected stations by PMF-56. In contrast, the less sensitive parameter for ET0 was the minimum air temperature (Tmin) for PMF-56 and Tmean for HG. For PMF-56, increasing the minimum relative humidity (RHmin) to 20% led to a decrease in ET0 in the range between 0.5 and 5%. The highest values of SC in the cases of Tmax and Tmin were found to be equal to 0.8 and 0.53, respectively. Similarly, the SC in the case of RHmin varied between − 0.29 and − 0.0038. This range for wind speed was between 0.06 and 0.22 and in the case of sunshine hours it was between 0.272 and 0.385. These findings would be useful in the scientific management of water resources in the region.

This is a preview of subscription content, access via your institution.

Fig. 1
Fig. 2
Fig. 3
Fig. 4
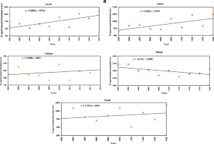
Fig. 5
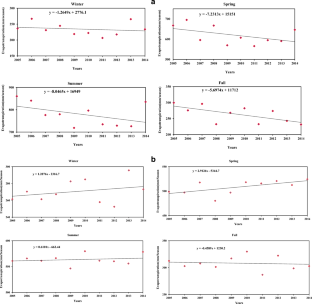
Fig. 6
Fig. 7
Fig. 8
Fig. 9
Fig. 10
Fig. 11
Fig. 12
Fig. 13
Fig. 14

References

  • Ashrafzadeh A, Malik A, Jothiprakash A, Ghorbani MA, Biazar SM (2018) Estimation of daily pan evaporation using neural networks and meta-heuristic approaches. ISH Journal of Hydraulic Engineering:1-9. https://doi.org/10.1080/09715010.2018.1498754

  • Allen RG, Pereira LS, Raes D, Smith M (1998) Crop evapotranspiration-Guidelines for computing crop water requirements-FAO Irrigation and drainage paper 56. Fao, Rome, 300(9), D05109

  • Almorox J, Senatore A, Quej VH, Mendicino G (2018) Worldwide assessment of the Penman–Monteith temperature approach for the estimation of monthly reference evapotranspiration. Theor Appl Climatol 131(1-2):693–703

    Article  Google Scholar 

  • Annandale JG, Stockle CO (1994) Fluctuation of crop evapotranspiration coefficients with weather: a sensitivity analysis. Irrig Sci 15(1):1–7

    Article  Google Scholar 

  • Aydın M, Watanabe T, Kapur S (2019) Sensitivity of reference evapotranspiration and soil evaporation to climate change in the Eastern Mediterranean Region. In: Watanabe T., Kapur S., Aydın M., Kanber R., Akça E. (eds) Climate Change Impacts on Basin Agro-ecosystems. The Anthropocene: Politik—Economics—Society—Science, vol 18. Springer, Cham

  • Beven K (1979) A sensitivity analysis of the Penman-Monteith actual evapotranspiration estimates. J Hydrol 44(3-4):169–190. https://doi.org/10.1016/0022-1694(79)90130-6

    Article  Google Scholar 

  • Blaney HF, Criddle WD (1950) Determining water requirements in irrigated areas from climatological and irrigation data. USDA SCS-TP-96. U.S. Dept. of Agriculture, Washington, DC

  • Dinpashoh Y (2006) Study of reference crop evapotranspiration in IR of Iran. Agric Water Manag 84(1-2):123–129. https://doi.org/10.1016/j.agwat.2006.02.011

    Article  Google Scholar 

  • Dinpashoh Y, Singh VP, Biazar SM, Kavehkar S (2019) Impact of climate change on streamflow timing (case study: Guilan Province). Theor Appl Climatol, 1-12

  • Estévez J, Gavilán P, Berengena J (2009) Sensitivity analysis of a Penman–Monteith type equation to estimate reference evapotranspiration in southern Spain. Hydrol Process 23(23):3342–3353. https://doi.org/10.1002/hyp.7439

    Article  Google Scholar 

  • Farzanpour H, Shiri J, Sadraddini AA, Trajkovic S (2019) Global comparison of 20 reference evapotranspiration equations in a semi-arid region of Iran. Hydrol Res 50(1):282–300

    Article  Google Scholar 

  • Gao Z, He J, Dong K, Bian X, Li X (2016) Sensitivity study of reference crop evapotranspiration during growing season in the West Liao River basin, China. Theor Appl Climatol 124(3-4):865–881

    Article  Google Scholar 

  • Gong L, Xu CY, Chen D, Halldin S, Chen YD (2006) Sensitivity of the Penman–Monteith reference evapotranspiration to key climatic variables in the Changjiang (Yangtze River) basin. J Hydrol 329(3-4):620–629. https://doi.org/10.1016/j.jhydrol.2006.03.027

    Article  Google Scholar 

  • Goyal RK (2004) Sensitivity of evapotranspiration to global warming: a case study of arid zone of Rajasthan (India). Agric Water Manag 69(1):1–11. https://doi.org/10.1016/j.agwat.2004.03.014

    Article  Google Scholar 

  • Ha W, Gowda PH, Oommen T, Marek TH, Porter DO, Howell TA (2011) Spatial interpolation of daily reference evapotranspiration in the Texas High Plains. In World Environmental and Water Resources Congress 2011: Bearing Knowledge for Sustainability (pp. 2796-2804). https://doi.org/10.1061/41173(414)291

  • Hargreaves GH, Samani ZA (1985) Reference crop evapotranspiration from temperature. Appl Eng Agric 1(2):96–99. https://doi.org/10.13031/2013.26773

    Article  Google Scholar 

  • Hodam S, Sarkar S, Marak AG, Bandyopadhyay A, Bhadra A (2017) Spatial interpolation of reference evapotranspiration in India: comparison of IDW and Kriging Methods. Journal of the Institution of Engineers (India): Series A 98(4):511–524. https://doi.org/10.1007/s40030-017-0241-z

    Article  Google Scholar 

  • Huo Z, Dai X, Feng S, Kang S, Huang G (2013) Effect of climate change on reference evapotranspiration and aridity index in arid region of China. J Hydrol 492:24–34. https://doi.org/10.1016/j.jhydrol.2013.04.011

    Article  Google Scholar 

  • Irmak S, Payero JO, Martin DL, Irmak A, Howell TA (2006) Sensitivity analyses and sensitivity coefficients of standardized daily ASCE-Penman-Monteith equation. J Irrig Drain Eng 132(6):564–578. https://doi.org/10.1061/(ASCE)0733-9437(2006)132:6(564)

    Article  Google Scholar 

  • Isazadeh M, Biazar SM, Ashrafzadeh A (2017) Support vector machines and feed-forward neural networks for spatial modeling of groundwater qualitative parameters. Environ Earth Sci 76(17):610. https://doi.org/10.1007/s12665-017-6938-5

    Article  Google Scholar 

  • Jhajharia D, Dinpashoh Y, Kahya E, Choudhary R, Singh VP (2014) Trends in temperature over Godavari River basin in southern peninsular India. Int J Climatol 34:1369–1384

    Article  Google Scholar 

  • Kannan N, White SM, Worrall F, Whelan MJ (2007) Sensitivity analysis and identification of the best evapotranspiration and runoff options for hydrological modelling in SWAT-2000. J Hydrol 332(3-4):456–466. https://doi.org/10.1016/j.jhydrol.2006.08.001

    Article  Google Scholar 

  • Kite GW, Droogers P (2000) Comparing evapotranspiration estimates from satellites, hydrological models and field data. J Hydrol 229(1-2):3–18. https://doi.org/10.1016/S0022-1694(99)00195-X

    Article  Google Scholar 

  • Ley TW, Hill RW, Jensen DT (1994) Errors in Penman-Wright alfalfa reference evapotranspiration estimates: I. Model Sensitivity Analyses. Transactions of the ASAE 37(6):1853–1861. https://doi.org/10.13031/2013.28276

    Article  Google Scholar 

  • Liu Q, Yang Z, Cui B, Sun T (2010) The temporal trends of reference evapotranspiration and its sensitivity to key meteorological variables in the Yellow River Basin, China. Hydrol Process 24(15):2171–2181. https://doi.org/10.1002/hyp.7649

    Article  Google Scholar 

  • Liu C, Zhang D, Liu X, Zhao C (2012) Spatial and temporal change in the potential evapotranspiration sensitivity to meteorological factors in China (1960–2007). J Geogr Sci 22(1):3–14. https://doi.org/10.1007/s11442-012-0907-4

    Article  Google Scholar 

  • Liu T, Li L, Lai J, Liu C, Zhuang W (2016) Reference evapotranspiration change and its sensitivity to climate variables in southwest China. Theor Appl Climatol 125(3-4):499–508. https://doi.org/10.1007/s00704-015-1526-7

    Article  Google Scholar 

  • McCuen RH (1974) A sensitivity and error analysis of procedures used for estimating evapotranspiration. Water Resour Bull 10(3):486–497. https://doi.org/10.1111/j.1752-1688.1974.tb00590.x

    Article  Google Scholar 

  • McVicar TR, Van Niel TG, Li L, Hutchinson MF, Mu X, Liu Z (2007) Spatially distributing monthly reference evapotranspiration and pan evaporation considering topographic influences. J Hydrol 338(3-4):196–220

    Article  Google Scholar 

  • Monteith JL (1965) Evaporation and environment. 19th Symp., Society for Experimental Biology, University Press, Cambridge, U.K., 19, 205-234.

  • Mosaedi A, Sough MG, Sadeghi SH, Mooshakhian Y, Bannayan M (2017) Sensitivity analysis of monthly reference crop evapotranspiration trends in Iran: a qualitative approach. Theor Appl Climatol 128(3-4):857–873. https://doi.org/10.1007/s00704-016-1740-y

    Article  Google Scholar 

  • Nouri M, Homaee M, Bannayan M (2017) Quantitative trend, sensitivity and contribution analyses of reference evapotranspiration in some arid environments under climate change. Water Resour Manag 31(7):2207–2224. https://doi.org/10.1007/s11269-017-1638-1

    Article  Google Scholar 

  • Penman HL (1948) Natural evaporation from open water, bare soil and grass. Proc R Soc London A193, No. 1032, 120-145). DOI: https://doi.org/10.1098/rspa.1948.0037

  • Rana G, Katerji N (2000) Measurement and estimation of actual evapotranspiration in the field under Mediterranean climate: a review. Eur J Agron 13(2-3):125–153. https://doi.org/10.1016/S1161-0301(00)00070-8

    Article  Google Scholar 

  • Roderick ML, Rotstayn LD, Farquhar GD, Hobbins MT (2007) On the attribution of changing pan evaporation. Geophys Res Lett, 34(17)

  • Saxton KE (1975) Sensitivity analyses of the combination evapotranspiration equation. Agric Meteorol 15(3):343–353. https://doi.org/10.1016/0002-1571(75)90031-X

    Article  Google Scholar 

  • Sharifi A, Dinpashoh Y (2014) Sensitivity analysis of the Penman-Monteith reference crop evapotranspiration to climatic variables in Iran. Water Resour Manag 28(15):5465–5476. https://doi.org/10.1007/s11269-014-0813-x

    Article  Google Scholar 

  • Shiri J (2017) Evaluation of FAO56-PM, empirical, semi-empirical and gene expression programming approaches for estimating daily reference evapotranspiration in hyper-arid regions of Iran. Agric Water Manag 188:101–114

    Article  Google Scholar 

  • Tao XE, Chen H, Xu CY, Hou YK, Jie MX (2015) Analysis and prediction of reference evapotranspiration with climate change in Xiangjiang River Basin, China. Water Science and Engineering 8(4):273–281

    Article  Google Scholar 

  • Thornthwaite CW (1948) An approach toward a rational classification of climate. Geogr Rev 38:55–94

    Article  Google Scholar 

  • Wright JL (1982) New evapotranspiration crop coefficients. Proceedings of the American Society of Civil Engineers. J Irrig Drain Div 108(IR2):57–74

    Google Scholar 

  • Xie H, Zhu X (2013) Reference evapotranspiration trends and their sensitivity to climatic change on the Tibetan Plateau (1970–2009). Hydrol Process 27(25):3685–3693. https://doi.org/10.1002/hyp.9487

    Article  Google Scholar 

  • Xu CY, Gong L, Jiang T, Chen D, Singh VP (2006) Analysis of spatial distribution and temporal trend of reference evapotranspiration and pan evaporation in Changjiang (Yangtze River) catchment. J Hydrol 327(1-2):81–93. https://doi.org/10.1016/j.jhydrol.2005.11.029

    Article  Google Scholar 

  • Zhang X, Kang S, Zhang L, Liu J (2010) Spatial variation of climatology monthly crop reference evapotranspiration and sensitivity coefficients in Shiyang River basin of northwest China. Agric Water Manag 97(10):1506–1516. https://doi.org/10.1016/j.agwat.2010.05.004

    Article  Google Scholar 

  • Zuo D, Xu Z, Yang H, Liu X (2012) Spatiotemporal variations and abrupt changes of potential evapotranspiration and its sensitivity to key meteorological variables in the Wei River basin, China. Hydrol Process 26(8):1149–1160. https://doi.org/10.1002/hyp.8206

    Article  Google Scholar 

Download references

Acknowledgments

The authors are thankful for the reviewers and editor of the Journal for their critical comments which improved the quality of the present paper, significantly.

Author information

Affiliations

Authors

Corresponding author

Correspondence to Seyed Mostafa Biazar.

Additional information

Publisher’s note

 Springer Nature remains neutral with regard to jurisdictional claims in published maps and institutional affiliations.

Responsible editor: Philippe Garrigues

Rights and permissions

Reprints and Permissions

About this article

Verify currency and authenticity via CrossMark

Cite this article

Biazar, S.M., Dinpashoh, Y. & Singh, V.P. Sensitivity analysis of the reference crop evapotranspiration in a humid region. Environ Sci Pollut Res 26, 32517–32544 (2019). https://doi.org/10.1007/s11356-019-06419-w

Download citation

  • Received:

  • Accepted:

  • Published:

  • Issue Date:

  • DOI: https://doi.org/10.1007/s11356-019-06419-w

Keywords

  • Meteorological parameters
  • Penman–Monteith
  • Sensitive coefficient
  • Iran