Skip to main content

Effect of O2, Ni0 coatings, and iron oxide phases on pentachlorophenol dechlorination by zero-valent iron

Abstract

This study explores the zero-valent iron (ZVI) dechlorination of pentachlorophenol (PCP) and its dependence on the dissolved oxygen (O2), presence/formation of iron oxides, and presence of nickel metal on the ZVI surface. Compared to the anoxic system, PCP dechlorination was slower in the presence of O2, which is a potential competitive electron acceptor. Despite O2 presence, Ni0 deposited on the ZVI surfaces catalyzed the hydrogenation reactions and enhanced the PCP dechlorination by Ni-coated ZVI bimetal (Nic/Fe). The presence of O2 led to the formation of passivating oxides (maghemite, hematite, lepidocrocite, ferrihydrite) on the ZVI and Nic/Fe bimetallic surfaces. These passive oxides resulted in greater PCP incorporation (sorption, co-precipitation, and/or physical entrapment with the oxides) and decreased PCP dechlorination in the oxic systems compared to the anoxic systems. As received ZVI comprised of a wustite film, and in the presence of O2, only ≈ 17% PCP dechlorination observed after 25 days of exposure with tetrachlorophenol being detected as the end product. Wustite remained as the predominant oxide on as received ZVI during the 25 days of reaction with PCP under oxic and anoxic conditions. ZVI acid-pretreatment resulted in the replacement of wustite with magnetite and enhanced PCP degradation (e.g. ≈ 52% of the initial PCP dechlorinated after 25 days under oxic condition) with accumulation of mixtures of tetra-, tri-, and dichlorophenols. When the acid-washed ZVI was rinsed in NiSO4/H2SO4 solution, Ni0 deposited on the ZVI surface and all the wustite were replaced with magnetite. After 25 days of exposure to the Nic/Fe, ≈ 78% and 97% PCP dechlorination occurred under oxic and anoxic conditions, respectively, producing predominantly phenol. Wustite and magnetite are respectively electrically insulating and conducting oxides and influenced the dechlorination and H2 production. In conclusion, this study clearly demonstrates that the dissolved oxygen present in the aqueous solution decreases the PCP dechlorination and increases the PCP incorporation when using ZVI and Nic/Fe bimetallic systems. The findings provide novel insights towards deciphering and optimizing the performance of complex ZVI and bimetallic systems for PCP dechlorination in the presence of O2.

This is a preview of subscription content, access via your institution.

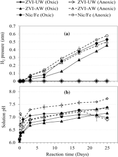
Fig. 1
Fig. 2
Fig. 3
Fig. 4
Fig. 5

References

  • Arning MD, Minteer SD (2007) Handbook of Electrochemistry, pp 813–827

  • ATSDR (1999) Toxicological profile for chlorophenols. Agency for Toxic Substances and Disease Registry, U.S Department of Health and Human Services

  • Cheng R, Wang J, Zhang W-x (2007) Comparison of reductive dechlorination of p-chlorophenol using Fe0 and nanosized Fe0. J Hazard Mater 144:334–339

    Article  CAS  Google Scholar 

  • Cheng R, Zhou W, Wang J-L, Qi D, Guo L, Zhang W-X, Qian Y (2010) Dechlorination of pentachlorophenol using nanoscale Fe/Ni particles: role of nano-Ni and its size effect. J Hazard Mater 180:79–85

    Article  CAS  Google Scholar 

  • Choi JH, Choi SJ, Kim YH (2008) Hydrodechlorination of 2,4,6-trichlorophenol for a permeable reactive barrier using zero-valent iron and catalyzed iron. Korean J Chem Eng 25:493–500

    Article  CAS  Google Scholar 

  • Chun CL, Baer DR, Matson DW, Amonette JE, Penn RL (2010) Characterization and reactivity of iron nanoparticles prepared with added Cu, Pd, and Ni. Environ Sci Technol 44:5079–5085

    Article  CAS  Google Scholar 

  • Cornell RM, Schwertmann U (2003) The iron oxides structure, properties, reactions, occurrences, and uses. Wiley-VCH, Weinheim

    Book  Google Scholar 

  • Cwiertny DM, Bransfield SJ, Roberts AL (2007) Influence of the oxidizing species on the reactivity of iron-based bimetallic reductants. Environ Sci Technol 41:3734–3740

    Article  CAS  Google Scholar 

  • De S, Zhang J, Luque R, Yan N (2016) Ni-based bimetallic heterogeneous catalysts for energy and environmental application. Energy Environ Sci 9:3314–3347

    Article  CAS  Google Scholar 

  • EC (2016) List of priority substances in the field of water policy. European Commission http://ec.europa.eu/environment/water/waterframework/priority_substances.htm Accessed 12 June 2017

  • Farrell J, Kason M, Melitas N, Li T (2000) Investigation of the long-term performance of zero-valent iron for reductive dechlorination of trichloroethylene. Environ Sci Technol 34:514–521

    Article  CAS  Google Scholar 

  • Feng J, Lim T-T (2005) Pathways and kinetics of carbon tetrachloride and chloroform reductions by nano-scale Fe and Fe/Ni particles: comparison with commercial micro-scale Fe and Zn. Chemosphere 59:1267–1277

    Article  CAS  Google Scholar 

  • Ghauch A, Tuqan A (2009) Reductive destruction and decontamination of aqueous solutions of chlorinated antimicrobial agent using bimetallic systems. J Hazard Mater 164:665–674

    Article  CAS  Google Scholar 

  • Ghauch A, Assi AH, Bdeir S (2010) Aqueous removal of diclofenac by plated elemental iron: bimetallic systems. J Hazard Mater 182:64–74

    Article  CAS  Google Scholar 

  • Gorski CA, Scherer MM (2009) Influence of magnetite stoichiometry on FeII uptake and nitrobenzene reduction. Environ Sci Technol 43:3675–3680

    Article  CAS  Google Scholar 

  • Gorski CA, Nurmi JT, Tratnyek PG, Hofstetter TB, Scherer MM (2010) Redox behavior of magnetite: implications for contaminant reduction. Environ Sci Technol 44:55–60

    Article  CAS  Google Scholar 

  • Gunawardana B, Singhal N, Swedlund P (2011) Degradation of chlorinated phenols by zero valent iron and bimetals of iron: a review. Environ Eng Res 16:187–203

    Article  Google Scholar 

  • Gunawardana B, Swedlund PJ, Singhal N, Nieuwoudt MK (2018) Pentachlorophenol dechlorination with zero valent iron: a Raman and GCMS study of the complex role of surficial iron oxides. Environ Sci Pollut Res 25:17797–17806

    Article  CAS  Google Scholar 

  • Helland BR, Alvarez PJJ, Schnoor JL (1995) Reductive dechlorination of carbon tetrachloride with elemental iron. J Hazard Mater 41:205–216

    Article  CAS  Google Scholar 

  • Henderson AD, Demond AH (2007) Long-term performance of zero-valent iron permeable reactive barriers: a critical review. Environ Eng Sci 24:401–423

    Article  CAS  Google Scholar 

  • Hu R, Cui X, Gwenzi W, Wu S, Noubactep C (2018) Fe0/H2O systems for environmental remediation: the scientific history and future research directions. Water 10:1739

    Article  Google Scholar 

  • IARC (1991) IARC monographs on the evaluation of carcinogenic risks to humans: occupational exposures in insecticide application, and some pesticides 53. IARC, Lyon

    Google Scholar 

  • Jaumot J, Gargallo R, De Juan A, Tauler R (2005) A graphical user-friendly interface for MCR-ALS: a new tool for multivariate curve resolution in MATLAB. Chemom Intell Lab Syst 76:101–110

    Article  CAS  Google Scholar 

  • Junyapoon S (2005) Use of zero-valent iron for wastewater treatment. KMITL Sci Tech J 5:587–595

    Google Scholar 

  • Kim YH, Carraway ER (2000) Dechlorination of pentachlorophenol by zero valent iron and modified zero valent irons. Environ Sci Technol 34:2014–2017

    Article  CAS  Google Scholar 

  • Ko SO, Lee DH, Kim YH (2007) Kinetic studies of reductive dechlorination of chlorophenols with Ni/Fe bimetallic particles. Environ Technol 28:583–593

    Article  CAS  Google Scholar 

  • Lan Q, Liu H, Li FB, Zeng F, Liu CS (2011) Effect of pH on pentachlorophenol degradation in irradiated iron/oxalate systems. Chem Eng J 168:1209–1216

    Article  CAS  Google Scholar 

  • Li Y, Niu J, Yin L, Wang W, Bao Y, Chen J, Duan Y (2011) Photocatalytic degradation kinetics and mechanism of pentachlorophenol based on superoxide radicals. J Environ Sci 23:1911–1918

    Article  CAS  Google Scholar 

  • Liu Y, Yang F, Yue PL, Chen G (2001) Catalytic dechlorination of chlorophenols in water by palladium/iron. Water Res 35:1887–1890

    Article  CAS  Google Scholar 

  • Liu CC, Tseng DH, Wang CY (2006) Effects of ferrous ions on the reductive dechlorination of trichloroethylene by zero-valent iron. J Hazard Mater 136:706–713

    Article  CAS  Google Scholar 

  • Long M, Ilhan ZE, Xia S, Zhou C, Rittmann BE (2018) Complete dechlorination and mineralization of pentachlorophenol (PCP) in a hydrogen-based membrane biofilm reactor (MBfR). Water Res 144:134–144

    Article  CAS  Google Scholar 

  • Ma H-Y, Zhao L, Guo L-H, Zhang H, Chen F-J, Yu W-C (2019) Roles of reactive oxygen species (ROS) in the photocatalytic degradation of pentachlorophenol and its main toxic intermediates by TiO2/UV. J Hazard Mater 369:719–726

    Article  CAS  Google Scholar 

  • Matheson LJ, Tratnyek PG (1994) Reductive dehalogenation of chlorinated methanes by iron metal. Environ Sci Technol 28:2045–2053

    Article  CAS  Google Scholar 

  • Morales J, Hutcheson R, Cheng IF (2002) Dechlorination of chlorinated phenols by catalyzed and uncatalyzed Fe(0) and Mg(0) particles. J Hazard Mater 90:97–108

    Article  CAS  Google Scholar 

  • Nadoll P, Mauk JL (2011) Wüstite in a hydrothermal silver-lead-zinc vein, Lucky Friday mine, Coeur d’Alene mining district, USA. Am Mineral 96:261–267

    Article  CAS  Google Scholar 

  • Noubactep C (2008) A critical review on the process of contaminant removal in Fe0-H2O systems. Environ Technol 29:909–920

    Article  CAS  Google Scholar 

  • Noubactep C (2013) Metallic iron for water treatment: a critical review. CLEAN Soil Air Water 41:1–9

    Google Scholar 

  • Odziemkowski MS, Schuhmacher TT, Gillham RW, Reardon EJ (1998) Mechanism of oxide film formation on iron in simulating groundwater solutions: Raman spectroscopic studies. Corros Sci 40:371–389

    Article  CAS  Google Scholar 

  • Redl FX, Black CT, Papaefthymiou GC, Sandstrom RL, Yin M, Zeng H, Murray CB, O'Brien SP (2004) Magnetic, electronic, and structural characterization of nonstoichiometric iron oxides at the nanoscale. J Am Chem Soc 126:14583–14599

    Article  CAS  Google Scholar 

  • Ritter K, Odziemkowski MS, Gillham RW (2002) An in-situ study of the role of surface films on granular iron in the permeable iron wall technology. J Contam Hydrol 55:87–111

    Article  CAS  Google Scholar 

  • Schrick B, Blough JL, Jones AD, Mallouk TE (2002) Hydrodechlorination of trichloroethylene to hydrocarbons using bimetallic nickel-Iron nanoparticles. Chem Mater 14:5140–5147

    Article  CAS  Google Scholar 

  • Stratmann M, Müller J (1994) The mechanism of the oxygen reduction on rust-covered metal substrates. Corros Sci 36:327–359

    Article  CAS  Google Scholar 

  • Tian H, Li J, Mu Z, Li L, Hao Z (2009) Effect of pH on DDT degradation in aqueous solution using bimetallic Ni/Fe nanoparticles. Sep Purif Technol 66:84–89

    Article  CAS  Google Scholar 

  • UNEP (2014) Pentachlorophenol and its salts and esters: draft risk management evaluation, UNEP/POPS/POPRC.10/2, Persistent Organic Pollutants Review Committee, United Nations Stockholm Convention on Persistent Organic Pollutants

  • USEPA (2010) IRIS toxicological review of pentachlorophenol (final report): in support of summary information on the integrated risk information system (IRIS). The United States Environmental Protection Agency, Washington, DC

    Google Scholar 

  • USEPA (2018a) Drinking water contaminants—standards and regulations. National Primary Drinking Water Regulations. https://www.epa.gov/dwstandardsregulations. Accessed 18 March 2019

  • USEPA (2018b) Groundwater & drinking water. National primary drinking water regulations. https://www.epa.gov/ground-water-and-drinking-water/national-primary-drinking-waterregulations#Organic. Accessed 18 March 2019

  • Wan C, Chen YH, Wei R (1999) Dechlorination of chloromethanes on iron and palladium-iron bimetallic surface in aqueous systems. Environ Toxicol Chem 18:1091–1096

    Article  CAS  Google Scholar 

  • Xu F, Deng S, Xu J, Zhang W, Wu M, Wang B, Huang J, Yu G (2012) Highly active and stable Ni–Fe bimetal prepared by ball milling for catalytic hydrodechlorination of 4-chlorophenol. Environ Sci Technol 46:4576–4582

    Article  CAS  Google Scholar 

  • Xu Y, Xue L, Ye Q, Franks AE, Zhu M, Feng X, Xu J, He Y (2018) Inhibitory effects of sulfate and nitrate reduction on reductive dechlorination of PCP in a flooded paddy soil. Front Microbiol 9:567. Published online 2018 Mar 28. https://doi.org/10.3389/fmicb.2018.00567

    Article  Google Scholar 

  • Yang BR, Chen AH (2016) Effects of pentachlorophenol on the bacterial denitrification process. Chem Speciat Bioavailab 28:163–169

    Article  CAS  Google Scholar 

  • Yang GCC, Lee H-L (2005) Chemical reduction of nitrate by nanosized iron: kinetics and pathways. Water Res 39:884–894

    Article  CAS  Google Scholar 

  • Zhang W, Quan X, Wang J, Zhang Z, Chen S (2006) Rapid and complete dechlorination of PCP in aqueous solution using Ni-Fe nanoparticles under assistance of ultrasound. Chemosphere 65:58–64

    Article  CAS  Google Scholar 

  • Zhou T, Li Y, Lim T-T (2010) Catalytic hydrodechlorination of chlorophenols by Pd/Fe nanoparticles: comparisons with other bimetallic systems, kinetics and mechanism. Sep Purif Technol 76:206–214

    Article  CAS  Google Scholar 

Download references

Acknowledgments

The authors acknowledge the assistance of Dr. Michel Nieuwoudt with Raman spectroscopic analysis.

Funding

The study was funded by grants from the New Zealand Foundation for Research, Science and Technology, University of Auckland International Doctoral Scholarship and New Zealand International Doctoral Research Scholarship.

Author information

Affiliations

Authors

Corresponding author

Correspondence to Buddhika Gunawardana.

Additional information

Publisher’s note

Springer Nature remains neutral with regard to jurisdictional claims in published maps and institutional affiliations.

Responsible editor: Bingcai Pan

Rights and permissions

Reprints and Permissions

About this article

Verify currency and authenticity via CrossMark

Cite this article

Gunawardana, B., Swedlund, P.J. & Singhal, N. Effect of O2, Ni0 coatings, and iron oxide phases on pentachlorophenol dechlorination by zero-valent iron. Environ Sci Pollut Res 26, 27687–27698 (2019). https://doi.org/10.1007/s11356-019-06009-w

Download citation

  • Received:

  • Accepted:

  • Published:

  • Issue Date:

  • DOI: https://doi.org/10.1007/s11356-019-06009-w

Keywords

  • Bimetal
  • Dissolved oxygen
  • Iron oxides
  • Magnetite
  • Nickel
  • Passivation
  • ZVI