Skip to main content

Population susceptibility differences and effects of air pollution on cardiovascular mortality: epidemiological evidence from a time-series study

Abstract

There is insufficient evidence on the relationship between air pollution and mortality from cardiovascular disease (CVD) in northeast China. Here, we explored the short-term effects of air pollution on CVD mortality and preliminarily investigated differences in population susceptibility to air pollution in Shenyang, China. CVD mortality, air pollution, and meteorological data during 2013–2016 were obtained. Time-series analysis was applied to evaluate the association between air pollution and daily CVD mortality with different lag structures. In the single-pollutant model, each 10 μg/m3 increase in PM2.5, PM10, SO2, NO2, and O3 concentrations and 1 mg/m3 increase in CO concentrations at lag0 (same day) was significantly associated with an increase of 0.40% (95% confidence interval, 0.22–0.59%), 0.26% (0.12–0.40%), 0.43% (0.16–0.70%), 0.90% (0.14–1.67%), 0.76% (0.21–1.32%), and 3.33% (0.97–5.75%), respectively, in overall CVD mortality. Susceptibility to air pollutants was higher among females, elderly people, and ischemic heart disease patients. Furthermore, air pollution effects on CVD mortality were 2–8 times greater during the non-heating period. In conclusion, the air pollutants PM2.5, PM10, SO2, NO2, O3, and CO showed significant positive effects on CVD mortality in Shenyang, China. These findings highlight the adverse effects of air pollution and suggest the need for personal protective equipment and reduction of air pollution sources.

This is a preview of subscription content, access via your institution.

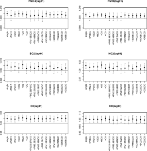
Fig. 1

References

  • An Z, Jin Y, Li J, Li W, Wu W (2018) Impact of particulate air pollution on cardiovascular health. Curr Allergy Asthma Rep 18:15

    Article  CAS  Google Scholar 

  • Baccini M, Biggeri A, Accetta G, Lagazio C, Lerxtundi A, Schwartz J (2006) Comparison of alternative modelling techniques in estimating short-term effect of air pollution with application to the Italian meta-analysis data (MISA Study). Epidemiol Prev 30:279–288

    Google Scholar 

  • Breitner S, Wolf K, Peters A, Schneider A (2014) Short-term effects of air temperature on cause-specific cardiovascular mortality in Bavaria, Germany. Heart 100:1272–1280

    Article  Google Scholar 

  • Cakmak S, Dales RE, Judek S (2006) Do gender, education, and income modify the effect of air pollution gases on cardiac disease? J Occup Environ Med 48:89–94

    Article  CAS  Google Scholar 

  • Chen C, Zhu P, Lan L, Zhou L, Liu R, Sun Q, Ban J, Wang W, Xu D, Li T (2018a) Short-term exposures to PM2.5 and cause-specific mortality of cardiovascular health in China. Environ Res 161:188–194

    Article  CAS  Google Scholar 

  • Chen W, Gao R, Liu L, Zhu M, Wang W, Wang Y (2018b) Summary of Chinese cardiovascular disease report of 2017. Chinese Circulation Journal:1–8

  • Crouse DL, Peters PA, Hystad P et al (2015) Ambient PM2.5, O(3), and NO(2) exposures and associations with mortality over 16 years of follow-up in the Canadian Census Health and Environment Cohort (CanCHEC). Environ Health Perspect 123:1180–1186. https://doi.org/10.1289/ehp.1409276

    Article  CAS  Google Scholar 

  • Dabass A, Talbott EO, Bilonick RA, Rager JR, Venkat A, Marsh GM, Duan C, Xue T (2016) Using spatio-temporal modeling for exposure assessment in an investigation of fine particulate air pollution and cardiovascular mortality. Environ Res 151:564–572

    Article  CAS  Google Scholar 

  • Dominici F, Mcdermott A, Zeger SL, Samet JM (2002) On the use of generalized additive models in time-series studies of air pollution and health. Am J Epidemiol 156:193–203

    Article  Google Scholar 

  • Dominici F, Peng RD, Barr CD, Bell ML (2010) Protecting human health from air pollution: shifting from a single-pollutant to a multipollutant approach. Epidemiology (Cambridge, Mass) 21:187–194

    Article  Google Scholar 

  • Du Y, Xu X, Chu M, Guo Y, Wang J (2016) Air particulate matter and cardiovascular disease: the epidemiological, biomedical and clinical evidence. J Thorac Dis 8:E8–E19

    Google Scholar 

  • Gao J, Wang K, Wang Y et al (2018) Temporal-spatial characteristics and source apportionment of PM2.5 as well as its associated chemical species in the Beijing-Tianjin-Hebei region of China Environmental pollution (Barking, Essex: 1987) 233:714–724.

  • GBD 2016 Causes of Death Collaborators (2017) Global, regional and national age-sex specific mortality for 264 causes of death, 1980–2016: a systematic analysis for the Global Burden of Disease Study 2016. Lancet 390:1151–1210

    Article  Google Scholar 

  • Hamanaka RB, Mutlu GM (2018) Particulate matter air pollution: effects on the cardiovascular system. Front Endocrinol 9:680

    Article  Google Scholar 

  • Han C, Liu F, Yang X, Chen J, Li J, Cao J, Li Y, Shen C, Yu L, Liu Z, Wu X, Zhao L, Hu D, Lu X, Wu X, Gu D (2018) Ideal cardiovascular health and incidence of atherosclerotic cardiovascular disease among Chinese adults: the China-PAR project. Sci China Life Sci 61:504–514

    Article  Google Scholar 

  • Huang W, Wang L, Li J, Liu M, Xu H, Liu S, Chen J, Zhang Y, Morishita M, Bard RL, Harkema JR, Rajagopalan S, Brook RD (2018) Short-term blood pressure responses to ambient fine particulate matter exposures at the extremes of global air pollution concentrations. Am J Hypertens 31:590–599

    Article  CAS  Google Scholar 

  • Jerrett M, Burnett RT, Beckerman BS et al (2013) Spatial analysis of air pollution and mortality in California. Am J Respir Crit Care Med 188:593–599

    Article  Google Scholar 

  • Kabacoff RI (2016) R in action: data analysis and graphics with R. Post & Telecom Press

  • Ku T, Ji X, Zhang Y, Li G, Sang N (2016) PM2.5, SO2 and NO2 co-exposure impairs neurobehavior and induces mitochondrial injuries in the mouse brain. Chemosphere 163:27–34

    Article  CAS  Google Scholar 

  • Li T, Yan M, Sun Q, Anderson GB (2018) Mortality risks from a spectrum of causes associated with wide-ranging exposure to fine particulate matter: a case-crossover study in Beijing, China. Environ Int 111:52–59

    Article  CAS  Google Scholar 

  • Liang W-M, Wei H-Y, Kuo H-W (2009) Association between daily mortality from respiratory and cardiovascular diseases and air pollution in Taiwan. Environ Res 109:51–58

    Article  CAS  Google Scholar 

  • Liang RM, Yin P, Wang LJ, Li YC, Liu JM, Liu YN, You JL, Qi JL, Zhou MG (2017) Acute effect of fine particulate matters on daily cardiovascular disease mortality in seven cities of China. Zhonghua Liu Xing Bing Xue Za Zh 38:283–289

    CAS  Google Scholar 

  • Liu Y, Chen X, Huang S, Tian L, Lu Y, Mei Y, Ren M, Li N, Liu L, Xiang H (2015) Association between air pollutants and cardiovascular disease mortality in Wuhan, China. Int J Environ Res Public Health 12:3506–3516

    Article  CAS  Google Scholar 

  • Lu F, Xu D, Cheng Y, Dong S, Guo C, Jiang X, Zheng X (2015) Systematic review and meta-analysis of the adverse health effects of ambient PM2.5 and PM10 pollution in the Chinese population. Environ Res 136:196–204

    Article  CAS  Google Scholar 

  • Ma Y, Chen R, Pan G, Xu X, Song W, Chen B, Kan H (2011) Fine particulate air pollution and daily mortality in Shenyang, China. Sci Total Environ 409:2473–2477

    Article  CAS  Google Scholar 

  • Miri M, Derakhshan Z, Allahabadi A, Ahmadi E, Oliveri Conti G, Ferrante M, Aval HE (2016) Mortality and morbidity due to exposure to outdoor air pollution in Mashhad metropolis, Iran. The AirQ model approach. Environ Res 151:451–457

    Article  CAS  Google Scholar 

  • Nations U. World Population Ageing Report, 2015. [cited 2018 July 18th]; Available from: http://www.un.org/en/development/desa/population/publications/pdf/ageing/WPA2015_Report.pdf.

    Google Scholar 

  • Park YM, Park KS, Kim H et al (2018) Characterizing isotopic compositions of TC-C, NO3(-)-N, and NH4(+)-N in PM2.5 in South Korea: impact of China’s winter heating. Environmental pollution (Barking, Essex: 1987) 233:735–744.

  • Pei X, Wan B (1998) Environmental problems in the process of urbanization and the countermeasures of urbanization regulation in Shenyang. Geo-Informations:57–63

  • Peng RD, Dominici F, Louis TA (2005) Model choice in time series studies of air pollution and mortality. J Royal Stat Soc:179–203

  • Pu H, Li J, Wang P, Cui L, Wang H (2017) The death of the circulatory system diseases in China: provincial socioeconomic and environmental perspective. Environ Sci Pollut Res Int 24:10381–10,390

    Article  Google Scholar 

  • Qian X (2016) Ambient air pollution associated with cardiovascular mortality in Ningbo city, 2011–2014: a time-series analysis master. Soochow University, China

    Google Scholar 

  • Robertson S, Miller M (2018) Ambient air pollution and thrombosis. Part Fibre Toxicol 15:1

    Article  CAS  Google Scholar 

  • Sciences CRAE (2012) Ambient air quality standards. China Environmental Press

  • Shang Y, Sun Z, Cao J, Wang X, Zhong L, Bi X, Li H, Liu W, Zhu T, Huang W (2013) Systematic review of Chinese studies of short-term exposure to air pollution and daily mortality. Environ Int 54:100–111

    Article  CAS  Google Scholar 

  • Su C, Hampel R, Franck U, Wiedensohler A, Cyrys J, Pan X, Wichmann HE, Peters A, Schneider A, Breitner S (2015) Assessing responses of cardiovascular mortality to particulate matter air pollution for pre-, during- and post-2008 Olympics periods. Environ Res 142:112–122

    Article  CAS  Google Scholar 

  • Sun Z (2010) Cardiovascular responses to cold exposure. Front Biosci (Elite Ed) (2):495–503

  • Tian L, Liang F, Guo Q, Chen S, Xiao S, Wu Z, Jin X, Pan X (2018) The effects of interaction between particulate matter and temperature on mortality in Beijing, China. Environ Sci Process Impacts 20:395–405

    Article  CAS  Google Scholar 

  • Uzoigwe JC, Prum T, Bresnahan E, Garelnabi M (2013) The emerging role of outdoor and indoor air pollution in cardiovascular disease. N Am J Med Sci 5:445–453

    Article  Google Scholar 

  • Vahedian M, Khanjani N, Mirzaee M, Koolivand A (2017) Ambient air pollution and daily hospital admissions for cardiovascular diseases in Arak, Iran. ARYA Atheroscler 13:117–134

    Google Scholar 

  • Wei Y, Wang L (2016) The assessment of factors affecting the air quality in Shenyang. Geomatics and Spatial Information Technology:24–27+34

  • WHO.Air quality guidelines - global update 2005. (2014) . Public Health & Environment.

  • WHO.Ambient air pollution: health impacts2018.. [cited July 18th]; Available from: http://who.int/airpollution/ambient/health-impacts/en/.

  • WHO.Cardiovascular disease: World Heart Day 2017 2018. [cited July 18th]; Available from: http://www.who.int/cardiovascular_diseases/en/.

  • WHO.Global Urban Ambient Air Pollution Database (update 2016).2018. [cited July 18th]; Available from: http://www.who.int/phe/health_topics/outdoorair/databases/cities/en/.

  • Xie W, Li G, Zhao D, Xie X, Wei Z, Wang W, Wang M, Li G, Liu W, Sun J, Jia Z, Zhang Q, Liu J (2015) Relationship between fine particulate air pollution and ischaemic heart disease morbidity and mortality. Heart 101:257–263

    Article  CAS  Google Scholar 

  • Xu A, Mu Z, Jiang B, Wang W, Yu H, Zhang L, Li J (2017) Acute effects of particulate air pollution on ischemic heart disease hospitalizations in Shanghai, China. Int J Environ Res Public Health 14

  • Yang K, Zheng Y, Guo X, Zhang Z (2017) Environmental hygiene. People’s Medical Publishing House (PMPH), p 2017

  • Yin P, Chen R, Wang L, Meng X, Liu C, Niu Y, Lin Z, Liu Y, Liu J, Qi J, You J, Zhou M, Kan H (2017) Ambient ozone pollution and daily mortality: a nationwide study in 272 Chinese cities. Environ Health Perspect 125:117006

    Article  Google Scholar 

  • Zhang X, Cai F, Wang S, Hu B, Li K, Luo L (2006) Characteristics of air pollution in Shenyang City, China. China Environ Sci:650–652

  • Zhang C, Ding R, Xiao C, Xu Y, Cheng H, Zhu F, Lei R, Di D, Zhao Q, Cao J (2017) Association between air pollution and cardiovascular mortality in Hefei, China: a time-series analysis. Environ Pollut 229:790–797

    Article  CAS  Google Scholar 

  • Zhao X, Sun Z, Ruan Y, Yan J, Mukherjee B, Yang F, Duan F, Sun L, Liang R, Lian H, Zhang S, Fang Q, Gu D, Brook JR, Sun Q, Brook RD, Rajagopalan S, Fan Z (2014) Personal black carbon exposure influences ambulatory blood pressure: air pollution and cardiometabolic disease (AIRCMD-China) study. Hypertension (Dallas, Tex: 1979) 63: 871–877.

  • Zhao L, Liang H, Chen F, Chen Z, Guan W, Li J (2017) Association between air pollution and cardiovascular mortality in China: a systematic review and meta-analysis. Oncotarget 8:66438–66466,448.

    Google Scholar 

  • Zhou M, He G, Fan M, Wang Z, Liu Y, Ma J, Ma Z, Liu J, Liu Y, Wang L, Liu Y (2015) Smog episodes, fine particulate pollution and mortality in China. Environ Res 136:396–404

    Article  CAS  Google Scholar 

  • Zhu J, Zhang X, Zhang X, Dong M, Wu J, Dong Y, Chen R, Ding X, Huang C, Zhang Q, Zhou W (2017) The burden of ambient air pollution on years of life lost in Wuxi, China, 2012–2015: a time-series study using a distributed lag non-linear model. Environ Pollut 224:689–697

    Article  CAS  Google Scholar 

Download references

Acknowledgements

We wish to thank the China National Environmental Monitoring Center and the Mission China air quality–monitoring program of the USA for publicly sharing the air pollution data, as well as the Chinese Meteorological Data Sharing Service System for providing meteorology data.

Funding

This study was supported by the National Key Research and Development Program of China (No. 2016YFC1302500).

Author information

Affiliations

Authors

Corresponding author

Correspondence to Xuelian Li.

Ethics declarations

Conflict of interest

The authors declare that they have no conflict of interest.

Additional information

Publisher’s note

Springer Nature remains neutral with regard to jurisdictional claims in published maps and institutional affiliations.

Responsible editor: Philippe Garrigues

Electronic supplementary material

ESM 1

(XLSX 18 kb)

ESM 2

(DOCX 564 kb)

Rights and permissions

Reprints and Permissions

About this article

Verify currency and authenticity via CrossMark

Cite this article

Liu, M., Xue, X., Zhou, B. et al. Population susceptibility differences and effects of air pollution on cardiovascular mortality: epidemiological evidence from a time-series study. Environ Sci Pollut Res 26, 15943–15952 (2019). https://doi.org/10.1007/s11356-019-04960-2

Download citation

  • Received:

  • Accepted:

  • Published:

  • Issue Date:

  • DOI: https://doi.org/10.1007/s11356-019-04960-2

Keywords

  • Air pollution
  • Cardiovascular mortality
  • Time-series analysis
  • Susceptibility differences