Skip to main content

Biodegradation of persistent environmental pollutants by Arthrobacter sp.

Abstract

Persistent environmental pollutants are a growing problem around the world. The effective control of the pollutants is of great significance for human health. Some microbes, especially Arthrobacter, can degrade pollutants into nontoxic substances in various ways. Here, we review the biological properties of Arthrobacter adapting to a variety of environmental stresses, including starvation, hypertonic and hypotonic condition, oxidative stress, heavy metal stress, and low-temperature stress. Furthermore, we categorized the Arthrobacter species that can degrade triazines, organophosphorus, alkaloids, benzene, and its derivatives. Metabolic pathways behind the various biodegradation processes are further discussed. This review will be a helpful reference for comprehensive utilization of Arthrobacter species to tackle environmental pollutants.

This is a preview of subscription content, access via your institution.

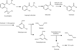
Fig. 1
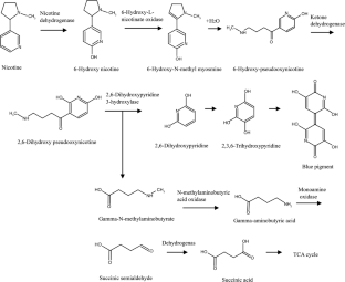
Fig. 2
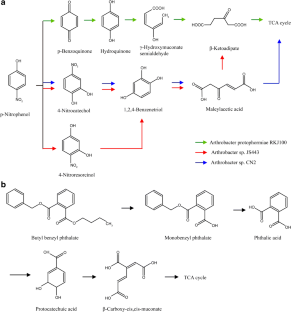
Fig. 3
Fig. 4

References

  • Adhikari A, Bary A, Cogger C, James C, Unlu G, Killinger K (2016) Thermal and starvation stress response of Escherichia coli O157:H7 isolates selected from agricultural environments. J Food Prot 79(10):1673–1679

    Article  Google Scholar 

  • Aislabie J, Bej AK, Ryburn J, Lloyd N, Wilkins A (2005) Characterization of Arthrobacter nicotinovorans HIM, an atrazine-degrading bacterium, from agricultural soil New Zealand. FEMS Microbiol Ecol 52(2):279–286

    CAS  Article  Google Scholar 

  • Arora PK, Jain RK (2011) Pathway for degradation of 2-chloro-4-nitrophenol in Arthrobacter sp SJCon. Curr Microbiol 63(6):568–573

    CAS  Article  Google Scholar 

  • Arora PK, Mohanta TK, Srivastava A, Bae HH, Singh VP (2014) Metabolic pathway for degradation of 2-chloro-4-aminophenol by Arthrobacter sp SPG. Microb Cell Factories 13:164

    Article  CAS  Google Scholar 

  • Bae HS, Lee JM, Lee ST (1996) Biodegradation of 4-chlorophenol via a hydroquinone pathway by Arthrobacter ureafaciens CPR706. FEMS Microbiol Lett 145(1):125–129

    CAS  Article  Google Scholar 

  • Baitsch D, Sandu C, Brandsch R, Igloi GL (2001) Gene cluster on pAO1 of Arthrobacter nicotinovorans involved in degradation of the plant alkaloid nicotine: cloning, purification, and characterization of 2,6-dihydroxypyridine 3-hydroxylase. J Bacteriol 183(18):262–267

    Article  Google Scholar 

  • Bhadbhade BJ, Sarnaik SS, Kanekar PP (2002a) Biomineralization of an organophosphorus pesticide, Monocrotophos, by soil bacteria. J Appl Microbiol 93(2):224–234

    CAS  Article  Google Scholar 

  • Bhadbhade BJ, Sarnaik SS, Kanekar PP (2002b) Bioremediation of an industrial effluent containing monocrotophos. Curr Microbiol 45(5):346–349

    CAS  Article  Google Scholar 

  • Blaszak M, Pelech R, Graczyk P (2011) Screening of microorganisms for biodegradation of simazine pollution (obsolete pesticide Azotop 50 WP). Water Air Soil Poll 220(1–4):373–385

    CAS  Article  Google Scholar 

  • Bousquet A, Soler C, MacNab C, Le Fleche A, Heno P (2016) Arthrobacter albus infected implantable cardioverter-defibrillator. Medecine et maladies infectieuses 46(1):59–60

    CAS  Article  Google Scholar 

  • Boylen CW (1973) Survival of Arthrobacter crystallopoietes during prolonged periods of extreme desiccation. J Bacteriol 113(1):33–37

    CAS  Google Scholar 

  • Boylen CW, Ensign JC (1970) Intracellular substrates for endogenous metabolism during long-term starvation of rod and spherical cells of Arthrobacter crystallopoietes. J Bacteriol 103(3):578–587

    CAS  Google Scholar 

  • Brandsch R (2006) Microbiology and biochemistry of nicotine degradation. Appl Microbiol Biotechnol 69(5):493–498

    CAS  Article  Google Scholar 

  • Cai B, Han Y, Liu B, Ren Y, Jiang S (2003) Isolation and characterization of an atrazine-degrading bacterium from industrial wastewater in China. Lett Appl Microbiol 36(5):272–276

    CAS  Article  Google Scholar 

  • Casaite V, Poviloniene S, Meskiene R, Rutkiene R, Meskys R (2011) Studies of dimethylglycine oxidase isoenzymes in Arthrobacter globiformis cells. Curr Microbiol 62(4):1267–1273

    CAS  Article  Google Scholar 

  • Chatterjee S, Dutta TK (2008) Complete degradation of butyl benzyl phthalate by a defined bacterial consortium: role of individual isolates in the assimilation pathway. Chemosphere 70(5):933–941

    CAS  Article  Google Scholar 

  • Chauhan A, Chakraborti AK, Jain RK (2000) Plasmid-encoded degradation of p-nitrophenol and 4-nitrocatechol by Arthrobacter protophormiae. Biochem Biophys Res Commun 270(3):733–740

    CAS  Article  Google Scholar 

  • Chen YG, Tang SK, Zhang YQ, Li ZY, Yi LB, Wang YX, Li WJ, Cui XL (2009) Arthrobacter halodurans sp. nov., a new halotolerant bacterium isolated from sea water. Antonie Van Leeuwenhoek 96(1):63–70

    CAS  Article  Google Scholar 

  • Chiribau CB, Sandu C, Fraaije M, Schiltz E, Brandsch R (2004) A novel gamma-N-methylaminobutyrate demethylating oxidase involved in catabolism of the tobacco alkaloid nicotine by Arthrobacter nicotinovorans pAO1. Eur J Biochem 271(23–24):4677–4684

    CAS  Article  Google Scholar 

  • Cobzaru C, Brandsch R (2008) Steps in uncovering the key enzyme in the degradation of the pyridine ring in the Arthrobacter nicotinovorans. Genetic and Molecular Biology (Scientific Annals of Alexandru Ioan Cuza University) 9:1–9

    CAS  Google Scholar 

  • Conn HJ, Dimmick I (1947) Soil Bacteria similar in morphology to Mycobacterium and Corynebacterium. J Bacteriol 54(3):291–303

    CAS  Google Scholar 

  • Dai XZ, Jiang JD, Gu LF, Pan RQ, Li SP (2007) Study on the atrazine-degrading genes in Arthrobacter sp. AG1. Sheng Wu Gong Cheng Xue Bao 23(5):789–793

    CAS  Article  Google Scholar 

  • Du H, Wang M, Luo Z, Ni B, Wang F, Meng Y, Xu S, Huang X (2011) Coregulation of gene expression by sigma factors RpoE and RpoS in Salmonella enterica serovar Typhi during hyperosmotic stress. Curr Microbiol 62(5):1483–1489

    CAS  Article  Google Scholar 

  • Eaton RW (2001) Plasmid-encoded phthalate catabolic pathway in Arthrobacter keyseri 12B. J Bacteriol 183(12):3689–3703

    CAS  Article  Google Scholar 

  • El Sebai T, Devers-Lamrani M, Changey F, Rouard N, Martin-Laurent F (2011) Evidence of atrazine mineralization in a soil from the Nile Delta: isolation of Arthrobacter sp TES6, an atrazine-degrading strain. Int Biodeterior Biodegrad 65(8):1249–1255

    Article  CAS  Google Scholar 

  • Fan JW, Wang XM, Teng W, Yang JP, Ran XQ, Gou X, Bai N, Lv MH, Xu HW, Li GM, Zhang WX, Zhao DY (2017) Phenyl-functionalized mesoporous silica materials for the rapid and efficient removal of phthalate esters. J Colloid Interface Sci 487:354–359

    CAS  Article  Google Scholar 

  • Ferreira MI, Marchesi JR, Janssen DB (2008) Degradation of 4-fluorophenol by Arthrobacter sp. strain IF1. Appl Microbiol Biotechnol 78(4):709–717

    CAS  Article  Google Scholar 

  • Furukawa K, Hayase N, Taira K, Tomizuka N (1989) Molecular relationship of chromosomal genes encoding biphenyl/polychlorinated biphenyl catabolism: some soil bacteria possess a highly conserved bph operon. J Bacteriol 171(10):5467–5472

    CAS  Article  Google Scholar 

  • Garcia MH, Morgante V, Perez MA, Biaggini PV, Noe PM, Vergara MG, Pfeiffer MS (2008) Novel s-triazine-degrading bacteria isolated from agricultural soils of central Chile for herbicide bioremediation. Electron J Biotechnol 11(5):5–6

    Google Scholar 

  • Getenga Z, Dorfler U, Iwobi A, Schmid M, Schroll R (2009) Atrazine and terbuthylazine mineralization by an Arthrobacter sp. isolated from a sugarcane-cultivated soil in Kenya. Chemosphere 77(4):534–539

    CAS  Article  Google Scholar 

  • Gilbert ES, Crowley DE (1997) Plant compounds that induce polychlorinated biphenyl biodegradation by Arthrobacter sp. strain B1B. Appl Environ Microbiol 63(5):1933–1938

    CAS  Google Scholar 

  • Guo Q, Wan R, Xie S (2014a) Simazine degradation in bioaugmented soil: urea impact and response of ammonia-oxidizing bacteria and other soil bacterial communities. Environ Sci Pollut Res Int 21(1):337–343

    CAS  Article  Google Scholar 

  • Guo QW, Zhang JX, Wan R, Xie SG (2014b) Impacts of carbon sources on simazine biodegradation by Arthrobacter strain SD3-25 in liquid culture and soil microcosm. Int Biodeterior Biodegrad 89:1–6

    CAS  Article  Google Scholar 

  • Haines-Menges B, Whitaker WB, Boyd EF (2014) Alternative sigma factor RpoE is important for Vibrio parahaemolyticus cell envelope stress response and intestinal colonization. Infect Immun 82(9):3667–3677

    Article  CAS  Google Scholar 

  • Hanne LF, Kirk LL, Appel SM, Narayan AD, Bains KK (1993) Degradation and induction specificity in Actinomycetes that degrade P-nitrophenol. Appl Environ Microbiol 59(9):4378–4378

    CAS  Google Scholar 

  • Hassan I, Eastman AW, Weselowski B, Mohamedelhassan E, Yanful EK, Yuan ZC (2016) Complete genome sequence of Arthrobacter sp. strain LS16, isolated from agricultural soils with potential for applications in bioremediation and bioproducts. Genome Announc 4(1):e01586–e01515

    Article  Google Scholar 

  • Henne KL, Nakatsu CH, Thompson DK, Konopka AE (2009) High-level chromate resistance in Arthrobacter sp. strain FB24 requires previously uncharacterized accessory genes. BMC Microbiol 9(1-14):199

    Article  CAS  Google Scholar 

  • Igloi GL, Brandsch R (2003) Sequence of the 165-kilobase catabolic plasmid pAO1 from Arthrobacter nicotinovorans and identification of a pAO1-dependent nicotine uptake system. J Bacteriol 185(6):1976–1986

    CAS  Article  Google Scholar 

  • Jain RK, Dreisbach JH, Spain JC (1994) Biodegradation of p-nitrophenol via 1,2,4-benzenetriol by an Arthrobacter sp. Appl Environ Microbiol 60(8):3030–3032

    CAS  Google Scholar 

  • Kallimanis A, LaButti KM, Lapidus A, Clum A, Lykidis A, Mavromatis K, Pagani I, Liolios K, Ivanova N, Goodwin L, Pitluck S, Chen A, Palaniappan K, Markowitz V, Bristow J, Velentzas AD, Perisynakis A, Ouzounis CC, Kyrpides NC, Koukkou AI, Drainas C (2011) Complete genome sequence of Arthrobacter phenanthrenivorans type strain (Sphe3). Stand Genomic Sci 4(2):123–130

    CAS  Article  Google Scholar 

  • Kim M, Lee JH, Kim E, Choi H, Kim Y, Lee J (2016) Isolation of indole utilizing bacteria Arthrobacter sp. and Alcaligenes sp. from livestock waste. Indian J Microbiol 56(2):158–166

    CAS  Article  Google Scholar 

  • Kiran S, Swarnkar MK, Pal M, Thakur R, Tewari R, Singh AK, Gulati A (2015) Complete genome sequencing of protease-producing novel Arthrobacter sp. strain IHBB 11108 using PacBio single-molecule real-time sequencing technology. Genome Announc 3(2):e00346–e00315

    Article  Google Scholar 

  • Kumar R, Singh D, Swarnkar MK, Singh AK, Kumar S (2015) Complete genome sequence of Arthrobacter sp. ERGS1:01, a putative novel bacterium with prospective cold active industrial enzymes, isolated from East Rathong glacier in India. J Biotechnol 214:139–140

    CAS  Article  Google Scholar 

  • Kung C, Martinac B, Sukharev S (2010) Mechanosensitive channels in microbes. Annu Rev Microbiol 64:313–329

    CAS  Article  Google Scholar 

  • Labeda DP, Liu KC, Casida LE Jr (1976) Colonization of soil by Arthrobacter and Pseudomonas under varying conditions of water and nutrient availability as studied by plate counts and transmission electron microscopy. Appl Environ Microbiol 31(4):551–561

    CAS  Google Scholar 

  • Lei Y, Mulchandani P, Chen W, Wang J, Mulchandani A (2004) Whole cell-enzyme hybrid amperometric biosensor for direct determination of organophosphorous nerve agents with p-nitrophenyl substituent. Biotechnol Bioeng 85(7):706–713

    CAS  Article  Google Scholar 

  • Li QY, Li Y, Zhu XK, Cai BL (2008) Isolation and characterization of atrazine-degrading Arthrobacter sp AD26 and use of this strain in bioremediation of contaminated soil. J Environ Sci 20(10):1226–1230

    CAS  Article  Google Scholar 

  • Li R, Liu Y, Zhang J, Chen K, Li S, Jiang J (2012) An isofenphos-methyl hydrolase (Imh) capable of hydrolyzing the P-O-Z moiety of organophosphorus pesticides containing an aryl or heterocyclic group. Appl Microbiol Biotechnol 94(6):1553–1564

    CAS  Article  Google Scholar 

  • Li CJ, Chen S, Sun C, Zhang L, Shi X, Wu SJ (2017) Cytotoxic monoterpenoid indole alkaloids from Alstonia yunnanensis Diels. Fitoterapia 117:79–83

    CAS  Article  Google Scholar 

  • Liu PP, Zhang JJ, Zhou NY (2010) Characterization and mutagenesis of a two-component monooxygenase involved in para-nitrophenol degradation by an Arthrobacter strain. Int Biodeterior Biodegrad 64(4):293–299

    CAS  Article  Google Scholar 

  • Ludwig W, Euzeby J, Whitmam WB (2012) Taxonomic outline of the prokaryotes. In: Bergey’s manual of systematic bacteriology. Springer, New York, pp 29–31

  • Margesin R, Bergauer P, Gander S (2004) Degradation of phenol and toxicity of phenolic compounds: a comparison of cold-tolerant Arthrobacter sp. and mesophilic Pseudomonas putida. Extremophiles 8(3):201–207

    CAS  Article  Google Scholar 

  • Marks TS, Smith AR, Quirk AV (1984) Degradation of 4-chlorobenzoic acid by Arthrobacter sp. Appl Environ Microbiol 48(5):1020–1025

    CAS  Google Scholar 

  • Masaphy S, Zohar S, Jander-Shagug G (2014) Biodegradation of p-nitrophenol sorbed onto crystal violet-modified organoclay by Arthrobacter sp 4H beta. Appl Microbiol Biotechnol 98(3):1321–1327

    CAS  Article  Google Scholar 

  • Megharaj M, Ramakrishnan B, Venkateswarlu K, Sethunathan N, Naidu R (2011) Bioremediation approaches for organic pollutants: a critical perspective. Environ Int 37(8):1362–1375

    CAS  Article  Google Scholar 

  • Mongodin EF, Shapir N, Daugherty SC, DeBoy RT, Emerson JB, Shvartzbeyn A, Radune D, Vamathevan J, Riggs F, Grinberg V, Khouri H, Wackett LP, Nelson KE, Sadowsky MJ (2006) Secrets of soil survival revealed by the genome sequence of Arthrobacter aurescens TC1. PLoS Genet 2(12):2094–2106

    CAS  Article  Google Scholar 

  • Morikawa M, Daido H, Takao T, Murata S, Shimonishi Y, Imanaka T (1993) A new lipopeptide biosurfactant produced by Arthrobacter sp. strain MIS38. J Bacteriol 175(20):6459–6466

    CAS  Article  Google Scholar 

  • Nakatsu CH, Barabote R, Thompson S, Bruce D, Detter C, Brettin T, Han C, Beasley F, Chen W, Konopka A, Xie G (2013) Complete genome sequence of Arthrobacter sp. strain FB24. Stand Genomic Sci 9(1):106–116

    Article  CAS  Google Scholar 

  • Nies DH (2003) Efflux-mediated heavy metal resistance in prokaryotes. FEMS Microbiol Rev 27(2–3):313–339

    CAS  Article  Google Scholar 

  • Niewerth H, Schuldes J, Parschat K, Kiefer P, Vorholt JA, Daniel R, Fetzner S (2012) Complete genome sequence and metabolic potential of the quinaldine-degrading bacterium Arthrobacter sp. Rue61a. BMC Genomics 13:534

    CAS  Article  Google Scholar 

  • Ohshiro K, Kakuta T, Nikaidou N, Watanabe T, Uchiyama T (1999) Molecular cloning and nucleotide sequencing of organophosphorus insecticide hydrolase gene from Arthrobacter sp. strain B-5. J Biosci Bioeng 87(4):531–534

    CAS  Article  Google Scholar 

  • Ojuederie OB, Babalola OO (2017) Microbial and plant-assisted bioremediation of heavy metal polluted environments: a review. Int J Environ Res Public Health 14(12):1504

    Article  CAS  Google Scholar 

  • Peloquin L, Greer CW (1993) Cloning and expression of the polychlorinated biphenyl-degradation gene cluster from Arthrobacter M5 and comparison to analogous genes from gram-negative bacteria. Gene 125(1):35–40

    CAS  Article  Google Scholar 

  • Quillet-Mary A, Jaffrezou JP, Mansat V, Bordier C, Naval J, Laurent G (1997) Implication of mitochondrial hydrogen peroxide generation in ceramide-induced apoptosis. J Biol Chem 272(34):21388–21395

    CAS  Article  Google Scholar 

  • Radice F, Orlandi V, Massa V, Battini V, Bertoni G, Reineke W, Barbieri P (2007) Cloning of the Arthrobacter sp. FG1 dehalogenase genes and construction of hybrid pathways in Pseudomonas putida strains. Appl Microbiol Biotechnol 75(5):1111–1118

    CAS  Article  Google Scholar 

  • Ren H, Su Y, Zhang J, Pan H, Chen B, Wang Y (2016a) Recombinant protein, AlnA, combined with transgenic alfalfa remediates polychlorinated biphenyl-contaminated soils: efficiency and rhizosphere microbial community response. Biotechnol Lett 38(11):1893–1901

    CAS  Article  Google Scholar 

  • Ren L, Jia Y, Ruth N, Zhao B, Yan Y (2016b) Complete genome sequence of an aromatic compound degrader Arthrobacter sp. YC-RL1. J Biotechnol 219:34–35

    CAS  Article  Google Scholar 

  • Robinson JB, Salonius PO, Chase FE (1965) A note on the differential response of Arthrobacter spp. and pseudomonas spp. to drying in soil. Can J Microbiol 11(4):746–748

    CAS  Article  Google Scholar 

  • Rong L, Guo X, Chen K, Zhu J, Li S, Jiang J (2009) Isolation of an isocarbophos-degrading strain of Arthrobacter sp. scl-2 and identification of the degradation pathway. J Microbiol Biotechnol 19(11):1439–1446

    Google Scholar 

  • Russell DA, Hatfull GF (2016) Complete genome sequence of Arthrobacter sp. ATCC 21022, a host for bacteriophage discovery. Genome Announc 4(2):e00168-16

    Article  Google Scholar 

  • Rybkina DO, Plotnikova EG, Dorofeeva LV, Mironenko YL, Demakov VA (2003) A new aerobic gram-positive bacterium with a unique ability to degrade ortho- and para-chlorinated biphenyls. Microbiology 72(6):672–677

    CAS  Article  Google Scholar 

  • Sagarkar S, Bhardwaj P, Storck V, Devers-Lamrani M, Martin-Laurent F, Kapley A (2016) s-triazine degrading bacterial isolate Arthrobacter sp. AK-YN10, a candidate for bioaugmentation of atrazine contaminated soil. Appl Microbiol Biotechnol 100(2):903–913

    CAS  Article  Google Scholar 

  • Sajjaphan K, Shapir N, Wackett LP, Palmer M, Blackmon B, Tomkins J, Sadowsky MJ (2004) Arthrobacter aurescens TC1 atrazine catabolism genes trzN, atzB, and atzC are linked on a 160-kilobase region and are functional in Escherichia coli. Appl Environ Microbiol 70(7):4402–4407

    CAS  Article  Google Scholar 

  • Scheublin TR, Deusch S, Moreno-Forero SK, Muller JA, van der Meer JR, Leveau JHJ (2014) Transcriptional profiling of Gram-positive Arthrobacter in the phyllosphere: induction of pollutant degradation genes by natural plant phenolic compounds. Environ Microbiol 16(7):2212–2225

    CAS  Article  Google Scholar 

  • Scholten JD, Chang KH, Babbitt PC, Charest H, Sylvestre M, Dunawaymariano D (1991) Novel enzymatic hydrolytic dehalogenation of a chlorinated aromatic. Science 253(5016):182–185

    CAS  Article  Google Scholar 

  • See-Too WS, Ee R, Lim YL, Convey P, Pearce DA, Mohidin TBM, Yin WF, Chan KG (2017) Complete genome of Arthrobacter alpinus strain R3.8, bioremediation potential unraveled with genomic analysis. Stand Genomic Sci 12:52

    Article  CAS  Google Scholar 

  • Siddiqi MZ, Kim YJ, Hoang VA, Siddiqi MH, Huq MA, Yang DC (2014) Arthrobacter ginsengisoli sp. nov., isolated from soil of a ginseng field. Arch Microbiol 196(12):863–870

    CAS  Article  Google Scholar 

  • Silver S, Phung le T (2005) A bacterial view of the periodic table: genes and proteins for toxic inorganic ions. J Ind Microbiol Biotechnol 32(11–12):587–605

    CAS  Article  Google Scholar 

  • Singh RN, Gaba S, Yadav AN, Gaur P, Gulati S, Kaushik R, Saxena AK (2016) First high quality draft genome sequence of a plant growth promoting and cold active enzyme producing psychrotrophic Arthrobacter agilis strain L77. Stand Genomic Sci 11:54

    Article  CAS  Google Scholar 

  • Smith D, Martin D, Novossiolova T (2017) Microorganisms: good or evil, MIRRI provides biosecurity awareness. Curr Microbiol 74:299–308

    CAS  Article  Google Scholar 

  • Stevanovic-Carapina H, Milic J, Curcic M, Randjelovic J, Krinulovic K, Jovovic A, Brnjas Z (2016) Solid waste containing persistent organic pollutants in Serbia: from precautionary measures to the final treatment (case study). Waste Manag Res 34(7):677–685

    CAS  Article  Google Scholar 

  • Sun H, Gao T, Chen X, Hitchings MD, Li S, Chen T, Zhang H, An L, Dyson P (2016) Complete genome sequence of a psychotrophic Arthrobacter strain A3 (CGMCC 1.8987), a novel long-chain hydrocarbons producer. J Biotechnol 222:23–24

    CAS  Article  Google Scholar 

  • Tittmann U, Lingens F (1980) Degradation of biphenyl by Arthrobacter simplex, strain BPA. FEMS Microbiol Lett 8:255–258

    CAS  Article  Google Scholar 

  • Tsoi TV, Zaitsev GM, Plotnikova EG, Kosheleva IA, Boronin AM (1991) Cloning and expression of the Arthrobacter globiformis KZT1 fcbA gene encoding dehalogenase (4-chlorobenzoate-4-hydroxylase) in Escherichia coli. FEMS Microbiol Lett 65(2):165–169

    CAS  Article  Google Scholar 

  • Unell M, Nordin K, Jernberg C, Stenstrom J, Jansson JK (2008) Degradation of mixtures of phenolic compounds by Arthrobacter chlorophenolicus A6. Biodegradation 19(4):495–505

    CAS  Article  Google Scholar 

  • Vaishampayan PA, Kanekar PP, Dhakephalkar PK (2007) Isolation and characterization of Arthrobacter sp strain MCM B-436, an atrazine-degrading bacterium, from rhizospheric soil. Int Biodeterior Biodegrad 60(4):273–278

    CAS  Article  Google Scholar 

  • Vallack HW, Bakker DJ, Brandt I, Brostrom-Lunden E, Brouwer A, Bull KR, Gough C, Guardans R, Holoubek I, Jansson B, Koch R, Kuylenstierna J, Lecloux A, Mackay D, McCutcheon P, Mocarelli P, Taalman RD (1998) Controlling persistent organic pollutants-what next? Environ Toxicol Pharmacol 6(3):143–175

    CAS  Article  Google Scholar 

  • Verma JP, Jaiswal DK (2016) Book review: advances in biodegradation and bioremediation of industrial waste. Front Microbiol 6:1555

    Article  Google Scholar 

  • Wagenknecht M, Meinhardt F (2011) Replication-involved genes of pAL1, the linear plasmid of Arthrobacter nitroguajacolicus Ru61a—phylogenetic and transcriptional analysis. Plasmid 65(2):176–184

    CAS  Article  Google Scholar 

  • Wang QF, Xie SG (2012) Isolation and characterization of a high-efficiency soil atrazine-degrading Arthrobacter sp strain. Int Biodeterior Biodegrad 71:61–66

    CAS  Article  Google Scholar 

  • Wang P, Qu Y, Zhou J (2009) Biodegradation of mixed phenolic compounds under high salt conditions and salinity fluctuations by Arthrobacter sp. W1. Appl Biochem Biotechnol 159(3):623–633

    CAS  Article  Google Scholar 

  • Wang YY, Miao B, Hou DM, Wu XL, Peng B (2012) Biodegradation of di-n-butyl phthalate and expression of the 3,4-phthalate dioxygenase gene in Arthrobacter sp ZH2 strain. Process Biochem 47(6):936–940

    CAS  Article  Google Scholar 

  • Wang H, Liu Y, Li J, Lin M, Hu X (2016a) Biodegradation of atrazine by Arthrobacter sp C3, isolated from the herbicide-contaminated corn field. Int J Environ Sci Technol 13(1):257–262

    Article  CAS  Google Scholar 

  • Wang JH, Ren L, Jia Y, Ruth N, Shi YH, Qiao C, Yan YC (2016b) Degradation characteristics and metabolic pathway of 4-nitrophenol by a halotolerant bacterium Arthrobacter sp CN2. Toxicol Environ Chem 98(2):226–240

    CAS  Article  Google Scholar 

  • Wang Y, Zhai A, Zhang Y, Qiu K, Wang J, Li Q (2016c) Degradation of Swainsonine by the NADP-dependent alcohol dehydrogenase A1R6C3 in Arthrobacter sp. HW08. Toxins 8(5):1–12

    Google Scholar 

  • Wen ZD, Wu WM, Ren NQ, Gao DW (2016) Synergistic effect using vermiculite as media with a bacterial biofilm of Arthrobacter sp for biodegradation of di-(2-ethylhexyl) phthalate. J Hazard Mater 304(6):118–125

    CAS  Article  Google Scholar 

  • Wu DL, Zheng P, Mahmood Q, Yang XS (2007) Isolation and characteristics of Arthrobacter sp strain CW-1 for biodegradation of PAEs. J Zhejiang Univ-Sci A 8(9):1469–1474

    CAS  Article  Google Scholar 

  • Wu XL, Jin DC, Chao WH, Liang RX, Li Q, Yang Y, Qiu GZ (2009) Isolation and identification of four DBP-degrading strains and molecular cloning of the degradation genes. Huanjing Kexue 30(9):2722–2727

    CAS  Google Scholar 

  • Xu L, Shi W, Zeng XC, Yang Y, Zhou L, Mu Y, Liu Y (2017) Draft genome sequence of Arthrobacter sp. strain B6 isolated from the high-arsenic sediments in Datong Basin, China. Stand Genomic Sci 12:11

    Article  CAS  Google Scholar 

  • Yamazaki K-I, Takagi K, Fujii K, Iwasaki A, Harada N, Uchimura T (2008) Simultaneous biodegradation of chloro and methylthio-s-triazines using charcoal enriched with a newly developed bacterial consortium. J Pestic Sci 33(3):266–270

    CAS  Article  Google Scholar 

  • Yang X, Zhang C, He Z, Hu X, Guo J, Zhong Q, Wang J, Xiong L, Liu D (2013) Isolation and characterization of two n-butyl benzyl phthalate degrading bacteria. Int Biodeterior Biodegrad 76:8–11

    CAS  Article  Google Scholar 

  • Yang L, Chen X, She Q, Cao G, Liu Y, Chang VW, Tang CY (2018) Regulation, formation, exposure, and treatment of disinfection by-products (DBPs) in swimming pool waters: a critical review. Environ Int 10:1–19

    Google Scholar 

  • Yao Y, Tang H, Su F, Xu P (2015) Comparative genome analysis reveals the molecular basis of nicotine degradation and survival capacities of Arthrobacter. Sci Rep 5:8642

    CAS  Article  Google Scholar 

  • Zevenhuizen LP (1966) Formation and function of the glycogen-like polysaccharide of Arthrobacter. Antonie Van Leeuwenhoek 32(4):356–372

    CAS  Article  Google Scholar 

  • Zevenhuizen LP (1992) Levels of trehalose and glycogen in Arthrobacter globiformis under conditions of nutrient starvation and osmotic stress. Antonie Van Leeuwenhoek 61:61–68

    CAS  Article  Google Scholar 

  • Zhang Y, Jiang Z, Cao B, Hu M, Wang ZG, Dong XN (2012) Chemotaxis to atrazine and detection of a xenobiotic catabolic plasmid in Arthrobacter sp DNS10. Environ Sci Pollut Res 19(1):2951–2958

    CAS  Article  Google Scholar 

  • Zhao X, Drlica K (2014) Reactive oxygen species and the bacterial response to lethal stress. Curr Opin Microbiol 21:1–6

    Article  CAS  Google Scholar 

  • Zhao X, Ma F, Feng C, Bai S, Yang J, Wang L (2017) Complete genome sequence of Arthrobacter sp. ZXY-2 associated with effective atrazine degradation and salt adaptation. J Biotechnol 248:43–47

    CAS  Article  Google Scholar 

  • Zhu LS, Ma TT, Wang JH, Xie H, Wang J, Xin CY, Shao B (2011) Enhancement of atrazine removal by free and immobilized Arthrobacter sp HB-5 in soil and wastewater. Soil Sediment Contam 20(1):87–97

    CAS  Article  Google Scholar 

  • Zhuang Z, Gartemann KH, Eichenlaub R, Dunaway-Mariano D (2003) Characterization of the 4-hydroxybenzoyl-coenzyme A thioesterase from Arthrobacter sp. strain SU. Appl Environ Microbiol 69(5):2707–2711

    Article  Google Scholar 

Download references

Acknowledgments

This study is supported by the National Natural Science Foundation of China (Grant No. 31201959), the Shaanxi Province Agricultural Science and Technology Innovation and Research Project (2016NY-116), and the Fundamental Research Funds for the Central Universities (Nos. 2452015036 and 2452015322).

Author information

Affiliations

Authors

Corresponding author

Correspondence to Yan Wang.

Ethics declarations

Conflict of interest

The authors declare that they have no conflict of interest.

Ethical approval

This article contains no studies with human participants or animals performed by any of the authors.

Additional information

Publisher’s note

Springer Nature remains neutral with regard to jurisdictional claims in published maps and institutional affiliations.

Responsible editor: Robert Duran

Rights and permissions

Reprints and Permissions

About this article

Verify currency and authenticity via CrossMark

Cite this article

Guo, X., Xie, C., Wang, L. et al. Biodegradation of persistent environmental pollutants by Arthrobacter sp.. Environ Sci Pollut Res 26, 8429–8443 (2019). https://doi.org/10.1007/s11356-019-04358-0

Download citation

  • Received:

  • Accepted:

  • Published:

  • Issue Date:

  • DOI: https://doi.org/10.1007/s11356-019-04358-0

Keywords

  • Arthrobacter
  • Environmental stress
  • Persistent environmental pollutants
  • Biodegradation