Abstract
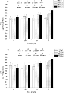
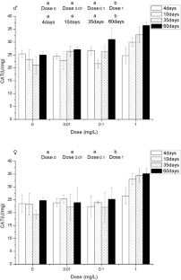
Benzotriazole and its associated derivatives (BTs) are widely used as ultraviolet stabilizers and corrosion inhibitors. They have been extensively found in marine environments and are bioaccumulative through the food chain. However, the toxicities of BTs to marine organisms are seldom identified and no assessment has been conducted for filter-feeding bivalves. In this study, a marine scallop Chlamys nobilis was exposed to 0, 0.01, 0.1, and 1.0 mg/L of BT for 60 days. Effects of BT on endocrine system, cytochrome P450 activity, antioxidant activity, and neural activity of C. nobilis were examined. The results showed that BT exerted significant estrogenic effects on both male and female scallops and inhibited EROD activities of C. nobilis even at 0.01 mg/L level. BT at ≥ 0.01 mg/L levels also caused significant oxidative stress on C. nobilis. Moreover, most of the adverse effects of BT to C. nobilis were found from day 35 and 0.01 mg/L was the lowest concentration with observed effects, showing the long-term toxic effects of BT to C. nobilis. Thus, the adverse effects of BT and its derivatives to marine benthic communities deserve more attention in future research.








Similar content being viewed by others
Explore related subjects
Discover the latest articles and news from researchers in related subjects, suggested using machine learning.References
Aebi H (1984) [13] Catalase in vitro. Methods Enzymol 105:121–126
Bhat HK, Calaf G, Hei TK, Loya T, Vadgama JV (2003) Critical role of oxidative stress in estrogen-induced carcinogenesis. Proc Natl Acad Sci 100:3913–3918
Bradford MM (1976) A rapid and sensitive method for the quantitation of microgram quantities of protein utilizing the principle of protein-dye binding. Anal Biochem 72:248–254
Breedveld GD, Roseth R, Hem L, Sparrevik M (2002) Triazoles in the terrestrial environment. 20001103-1 final report. Norwegian geotechnical institute, Oslo
Cancilla DA, Martinez J, Van Aggelen GC (1998) Detection of aircraft deicing/antiicing fluid additives in a perched water monitoring well at an international airport. Environ Sci Technol 32:3834–3835
Coburn C, Hudgens R, Mullen M (1999) Environmental effects of engine coolant additives. SAE technical paper 1999-01-0137. https://doi.org/10.4271/1999-01-0137
Cohen G, Kim M, Ogwu V (1996) A modified catalase assay suitable for a plate reader and for the analysis of brain cell cultures. J Neurosci Methods 67:53–56
Cooke J, Hinton D (1999) Promotion by 17β-estradiol and β-hexachlorocyclohexane of hepatocellular tumors in medaka, Oryzias latipes. Aquat Toxicol 45:127–145
De Montellano PO, Mathews JM (1981) Autocatalytic alkylation of the cytochrome P-450 prosthetic haem group by 1-aminobenzotriazole. Isolation of an NN-bridged benzyne-protoporphyrin IX adduct. Biochem J 195:761–764
Draper H, Hadley M (1990) [43] malondialdehyde determination as index of lipid peroxidation. Methods Enzymol 186:421–431
Ellman GL, Courtney KD, Andres V, Featherstone RM (1961) A new and rapid colorimetric determination of acetylcholinesterase activity. Biochem Pharmacol 7:88–90
Esterbauer H, Cheeseman KH (1990) Determination of aldehydic lipid-peroxidation products - malonaldehyde and 4-hydroxynonenal. Methods Enzymol 186:407–421
Fent K, Woodin BR, Stegeman JJ (1998) Effects of triphenyltin and other organotins on hepatic monooxygenase system in fish. Comp Biochem Physiol Part C Toxicol Pharmacol 121:277–288
Fent K, Chew G, Li J, Gomez E (2014) Benzotriazole UV-stabilizers and benzotriazole: antiandrogenic activity in vitro and activation of aryl hydrocarbon receptor pathway in zebrafish eleuthero-embryos. Sci Total Environ 482:125–136
Gagné F, Blaise C, Salazar M, Salazar S, Hansen PD (2001) Evaluation of estrogenic effects of municipal effluents to the freshwater mussel Elliptio complanata. Comp Biochem Physiol Part C Toxicol Pharmacol 128:213–225
Giger W, Schaffner C, Kohler HPE (2006) Benzotriazole and tolyltriazole as aquatic contaminants. 1. Input and occurrence in rivers and lakes. Environ Sci Technol 40:7186–7192
Harris CA, Routledge EJ, Schaffner C, Brian JV, Giger W, Sumpter JP (2007) Benzotriazole is antiestrogenic in vitro but not in vivo. Environ Toxicol Chem 26:2367–2372
Hart D, Davis L, Erickson L, Callender T (2004) Sorption and partitioning parameters of benzotriazole compounds. Microchem J 77:9–17
Hartwell SI, Jordahl DM, Evans JE, May EB (1995) Toxicity of aircraft de-icer and anti-icer solutions to aquatic organisms. Environ Toxicol Chem 14:1375–1386
He TT, Liang B, Liu WH, Shin PKS, Wu RSS (2012) Estrogenic potential of benzotriazole on marine medaka (Oryzias melastigma). Ecotoxicol Environ Saf 80:327–332
Health Council of The Netherlands (2000) Dutch expert committee on occupational standards (DECOS): 1,2,3-Benzotriazole. Health Council of the Netherlands, the Hague (publication no. 2000/14OSH)
Jeong HG, Kim JY, Choi CY, You HJ, Hahm KS (2001) Suppression of CYP1A1 expression by 4-nonylphenol in murine Hepa-1c1c7 cells. Cancer Lett 165:95–101
Kadar E, Dashfield S, Hutchinson TH (2010) Developmental toxicity of benzotriazole in the protochordate Ciona intestinalis (Chordata, Ascidiae). Anal Bioanal Chem 396:641–647
Kiss A, Fries E (2009) Occurrence of benzotriazoles in the rivers Main, Hengstbach, and Hegbach (Germany). Environ Sci Pollut Res 16:702–710
Konuma S, Ogawa A, Masunaga S, Nakamura Y (2009) UV filters in seawater and sediment: partitioning and horizontal distributions on the coastal shoreline in and around the Tokyo Bay. In: 18th Symposium on Environmental Chemistry, pp 448–449
Krüner G, Westernhagen HV (1999) Sources of measurement error in assays of EROD activity of fish for biological effects monitoring. Helgol Mar Res 53:250–256
Kucuksezgin F, Pazi I, Yucel-Gier G, Akcali B, Galgani F (2013) Monitoring of heavy metal and organic compound levels along the eastern Aegean coast with transplanted mussels. Chemosphere 93:1511–1518
Liang XF, Wang M, Chen X, Zha JM, Chen HH, Zhu LF, Wang ZJ (2014) Endocrine disrupting effects of benzotriazole in rare minnow (Gobiocypris rarus) in a sex-dependent manner. Chemosphere 112:154–162
Liang XF, Martyniuk CJ, Zha JM, Wang ZJ (2016) Brain quantitative proteomic responses reveal new insight of benzotriazole neurotoxicity in female Chinese rare minnow (Gobiocypris rarus). Aquat Toxicol 181:67–75
Liang XF, Zha JM, Martyniuk CJ, Wang ZJ, Zhao J (2017) Histopathological and proteomic responses in male Chinese rare minnow (Gobiocypris rarus) indicate hepatotoxicity following benzotriazole exposure. Environ Pollut 229:459–469
Liu YS, Ying GG, Shareef A, Kookana RS (2012) Occurrence and removal of benzotriazoles and ultraviolet filters in a municipal wastewater treatment plant. Environ Pollut 165:225–232
Loos R, Gawlik BM, Locoro G, Rimaviciute E, Contini S, Bidoglio G (2009) EU-wide survey of polar organic persistent pollutants in European river waters. Environ Pollut 157:561–568
Montesdeoca-Esponda S, Sosa-Ferrera Z, Santana-Rodríguez JJ (2012) On-line solid-phase extraction coupled to ultra-performance liquid chromatography with tandem mass spectrometry detection for the determination of benzotriazole UV stabilizers in coastal marine and wastewater samples. Anal Bioanal Chem 403:867–876
Nakata H, Murata S, Filatreau J (2009) Occurrence and concentrations of benzotriazole UV stabilizers in marine organisms and sediments from the Ariake Sea, Japan. Environ Sci Technol 43:6920–6926
Nakata H, Shinohara R, Murata S, Watanabe M (2010) Detection of benzotriazole UV stabilizers in the blubber of marine mammals by gas chromatography-high resolution mass spectrometry (GC-HRMS). J Environ Monit 12:2088–2092
Nakata H, Shinohara RI, Nakazawa Y, Isobe T, Sudaryanto A, Subramanian A, Tanabe S, Zakaria MP, Zheng GJ, Lam PKS, Kim EY, Min BY, We SU, Viet PH, Tana TS, Prudente M, Frank D, Lauenstein G, Kannan K (2012) Asia-Pacific mussel watch for emerging pollutants: distribution of synthetic musks and benzotriazole UV stabilizers in Asian and US coastal waters. Mar Pollut Bull 64:2211–2218
Navas JM, Segner H (2001) Estrogen-mediated suppression of cytochrome P4501A (CYP1A) expression in rainbow trout hepatocytes: role of estrogen receptor. Chem Biol Interact 138:285–298
Parks N (2009) UV-stabilizing chemicals contaminating Japan’s marine environment. Environ Sci Technol 43:6896–6897
Ricci MS, Toscano DG, Mattingly CJ, Toscano WA (1999) Estrogen receptor reduces CYP1A1 induction in cultured human endometrial cells. J Biol Chem 274:3430–3438
Rollinson G, Callely AG (1986) No evidence for the biodegradation of benzotriazole by elective culture or continuous enrichment. Biotechnol Lett 8:303–304
Song S, Ruan T, Wang T, Liu R, Jiang G (2014) Occurrence and removal of benzotriazole ultraviolet stabilizers in a wastewater treatment plant in China. Environ Sci: Process Impacts 16:1076–1082
Stanton MG (1968) Colorimetric determination of inorganic phosphate in the presence of biological material and adenosine triphosphate. Anal Biochem 22:27–34
Vaccaro E, Meucci V, Intorre L, Soldani G, Di Bello D, Longo V, Gervasi PG, Pretti C (2005) Effects of 17 beta-estradiol, 4-nonylphenol and PCB 126 on the estrogenic activity and phase 1 and 2 biotransformation enzymes in male sea bass (Dicentrarchus labrax). Aquat Toxicol 75:293–305
Voutsa D, Hartmann P, Schaffner C, Giger W (2006) Benzotriazoles, alkylphenols and bisphenol a in municipal wastewaters and in the Glatt River, Switzerland. Environ Sci Pollut Res 13:333–341
Weiss S, Reemtsma T (2005) Determination of benzotriazole corrosion inhibitors from aqueous environmental samples by liquid chromatography-electrospray ionization-tandem mass spectrometry. Anal Chem 77:7415–7420
Whyte JJ, Jung RE, Schmitt CJ, Tillitt DE (2000) Ethoxyresorufin-O-deethylase (EROD) activity in fish as a biomarker of chemical exposure. Crit Rev Toxicol 30:347–570
Wolschke H, Xie ZY, Moller A, Sturm R, Ebinghaus R (2011) Occurrence, distribution and fluxes of benzotriazoles along the German large river basins into the North Sea. Water Res 45:6259–6266
Acknowledgments
The help of Yuelin Li in scallop collection and laboratory work are greatly appreciated. Dr. Ping Li, Cui Guo, Diwen Wang, Huibin Cao, Huihui Liu, and Tong Chen from Shantou University also provided invaluable assistance and guidance to this study.
Funding
This work was supported by grants from the Marine Public Welfare Project of China (no. 201005012) and 211 Project of Guangdong Province (no. 20091686).
Author information
Authors and Affiliations
Corresponding author
Additional information
Responsible editor: Cinta Porte
Publisher’s Note
Springer Nature remains neutral with regard to jurisdictional claims in published maps and institutional affiliations.
Electronic supplementary material
ESM 1
(DOCX 854 kb)
Rights and permissions
About this article
Cite this article
He, Tt., Zhang, T., Liu, Sb. et al. Toxicological effects benzotriazole to the marine scallop Chlamys nobilis: a 2-month exposure study. Environ Sci Pollut Res 26, 10306–10318 (2019). https://doi.org/10.1007/s11356-019-04201-6
Received:
Accepted:
Published:
Issue Date:
DOI: https://doi.org/10.1007/s11356-019-04201-6

