Skip to main content

Removal of heavy metals from aluminum anodic oxidation wastewaters by membrane filtration

Abstract

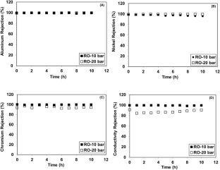
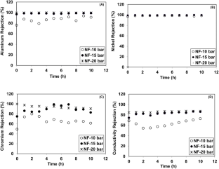
Aluminum manufacturing has been reported as one of the largest industries and wastewater produced from the aluminum industry may cause significant environmental problems due to variable pH, high heavy metal concentration, conductivity, and organic load. The management of this wastewater with a high pollution load is of great importance for practitioners in the aluminum sector. There are hardly any studies available on membrane treatment of wastewater originated from anodic oxidation. The aim of this study is to evaluate the best treatment and reuse alternative for aluminum industry wastewater using membrane filtration. Additionally, the performance of chemical precipitation, which is the existing treatment used in the aluminum facility, was also compared with membrane filtration. Wastewater originated from anodic oxidation coating process of an aluminum profile manufacturing facility in Kayseri (Turkey) was used in the experiments. The characterization of raw wastewater was in very low pH (e.g., 3) with high aluminum concentration and conductivity values. Membrane experiments were carried out with ultrafiltration (PTUF), nanofiltration (NF270), and reverse osmosis (SW30) membranes with MWCO 5000, 200–400, and 100 Da, respectively. For the chemical precipitation experiments, FeCl3 and FeSO4 chemicals presented lower removal performances for aluminum and chromium, which were below 35% at ambient wastewater pH ~ 3. The membrane filtration experimental results show that, both NF and RO membranes tested could effectively remove aluminum, total chromium and nickel (>90%) from the aluminum production wastewater. The RO (SW30) membrane showed a slightly higher performance at 20 bar operating pressure in terms of conductivity removal values (90%) than the NF 270 membrane (87%). Although similar removal performances were observed for heavy metals and conductivity by NF270 and SW30, significantly higher fluxes were obtained in NF270 membrane filtration at any pressure that there were more than three times the flux values in SW30 membrane filtration. Due to the lower heavy metal (<65%) and conductivity (<30%) removal performances of UF membrane, it could be evaluated as pretreatment followed by NF filtration to protect and extend NF membrane life. The water treated by both NF and RO could be recycled back into the process to be reused with economic and environmental benefits.

This is a preview of subscription content, access via your institution.

Fig. 1
Fig. 2
Fig. 3
Fig. 4
Fig. 5
Fig. 6
Fig. 7
Fig. 8
Fig. 9

References

  • Agrawal A, Sahu KK (2009) An overview of the recovery of acid from spent acidic solutions from steel and electroplating industries. J Hazard Mat 171:61–75

    Article  CAS  Google Scholar 

  • Al-Rashdi B, Johnson DJ, Hilal N (2013) Removal of heavy metal ions by nanofiltration. Desalination 315:2–17

    Article  CAS  Google Scholar 

  • APHA, AWWA, WEF (1998) Standard methods for the examination of water and wastewater, 20th edn. Washington, DC

  • Ateş N, Yilmaz L, Kitis M, Yetis U (2009) Removal of disinfection by-product precursors by UF and NF membranes in low-SUVA waters. J Membr Sci 328:104–112

    Article  CAS  Google Scholar 

  • Baltpurvins KA, Burns RC, Lawrance GA, Stuart AD (1996) Use of the solubility domain approach for the modeling of the hydroxide precipitation of heavy metals from wastewater. Environ Sci Technol 30:1493–1499

    Article  CAS  Google Scholar 

  • Benitez FJ, Acero JL, Leal AI, Gonzalez M (2009) The use of ultrafiltration and nanofiltration membranes for the purification of cork processing wastewater. J Membr Sci 162:1438–1445

    CAS  Google Scholar 

  • Blais JF, Djedidi Z, Cheikh RB, Tyagi R, Mercier G (2008) Metals precipitation from effluents: review. Pract Period Hazard Toxic Radioact Waste Manag 12:135–149

    Article  CAS  Google Scholar 

  • Bouranene S, Fievet P, Szymczyk A, Samar ME-H, Vidonne A (2008) Influence of operating conditions on the rejection of cobalt and lead ions in aqueous solutions by a nanofiltration polyamide membrane. J Membr Sci 325:150–157

    Article  CAS  Google Scholar 

  • Castelblanque JF, Salimbeni NF (2004) RO membranes for the recovery and reuse of water and concentrated metallic salts from waste water produced in the electroplating process. Desalination 167:65–73

    Article  CAS  Google Scholar 

  • Christensen ER, Delwiche JT (1982) Removal of heavy metals from electroplating rinse waters by precipitation, flocculation and ultrafiltration. Water Res16:729–737

  • Dabrowski A, Hubicki Z, Podkoscielny P, Robens E (2004) Selective removal of the heavy metal ions from waters and industrial wastewaters by ion-exchange method. Chemosphere 56:91–106

    Article  CAS  Google Scholar 

  • Das S, Yin W (2007) Trends in the global aluminum fabrication industry. JOM 5:83–87

    Article  Google Scholar 

  • Doyle FM, Liu Z (2003) The effect of triethylenetetraamine (Trien) on the ion flotation of Cu2+ and Ni2+. J Colloid Interface Sci 258:396–403

    Article  CAS  Google Scholar 

  • Duan J, Gregory J (2003) Coagulation by hydrolysing metal salts. Adv Colloid Interf Sci 100 –102:475–502

    Article  CAS  Google Scholar 

  • Dufour J, Gonzalez V, La Iglesia A (2001) Optimization of 4A zeolite synthesis as recovery of wastes from aluminum finishing. J Environ Sci Health Part A 36:1257–1269

    Article  CAS  Google Scholar 

  • El Samrani AG, Lartiges BS, Villieras F (2008) Chemical coagulation of combined sewer overflow: heavy metal removal and treatment optimization. Water Res 42:951–960

    Article  CAS  Google Scholar 

  • Feng D, Aldrich C, Tan H (2000) Treatment of acid mine water by use of heavy metal precipitation and ion exchange. Miner Eng 13:623–642

    Article  CAS  Google Scholar 

  • Frares NB, Taha S, Dorange G (2005) Influence of the operating conditions on the elimination of zinc ions by nanofiltration. Desalination 185:245–253

    Article  CAS  Google Scholar 

  • Freger V, Gilron J, Belfer S (2002) TFC polyamide membranes modified by grafting of hydrophilic polymers: an FT-IR/AFM/TEM study. J Membr Sci 209:283–292

    Article  CAS  Google Scholar 

  • Fu F, Wang Q (2011) Removal of heavy metal ions from wastewaters: a review. J Environ Manag 92:407–418

    Article  CAS  Google Scholar 

  • Garcia N, Moreno J, Cartmell E, Rodriguez-Roda I, Judd S (2013) The cost and performance of an MF-RO/NF plant for trace metal removal. Desalination 309:181–186

    Article  CAS  Google Scholar 

  • Gherasim C-V, Mikulasek P (2014) Influence of operating variables on the removal of heavy metal ions from aqueous solutions by nanofiltration. Desalination 343:67–74

    Article  CAS  Google Scholar 

  • Ghezzi L, Monteleone G, Robinson B, Secco F, Tine MR, Venturini M (2008) Metal extraction in water/micelle systems: complex formation, stripping and recovery of Cd(II). Colloids Surf A Physicochem Eng Asp 317:717–721

    Article  CAS  Google Scholar 

  • Gohari RJ, Lau WJ, Matsuura T, Halakoo E, Ismail AF (2013) Adsorptive removal of Pb(II) from aqueous solution by novel PES/HMO, ultrafiltration mixed matrix membrane. Sep Purif Technol 120:59–68

    Article  CAS  Google Scholar 

  • Gupta SS, Bhattacharyya KG (2008) Immobilization of Pb(II), Cd(II) and Ni(II) ions on kaolinite and montmorillonite surfaces from aqueous solutions. J Environ Manag 87:46–58

    Article  CAS  Google Scholar 

  • Heidmann I, Calmano W (2008) Removal of Zn(II), Cu(II), Ni(II), Ag(I) and Cr(VI) present in aqueous solutions by aluminium electrocoagulation. J Hazard Mater 152:934–941

    Article  CAS  Google Scholar 

  • Heller M, Garlapati S, Aithala K (1998) Expert membrane system design and selection for metal finishing waste water treatment. Expert Syst Appl 14:341–353

    Article  Google Scholar 

  • Huisman JL, Schouten G, Schultz C (2006) Biologically produced sulphide for purification of process streams, effluent treatment and recovery of metals in the metal and mining industry. Hydrometallurgy 83:106–113

    Article  CAS  Google Scholar 

  • International Aluminum Institute (IAI) (2013) International Aluminium Institute Results of the 2013, Anode Effect Survey Report on the Aluminium Industry’s Global Perfluorocarbon Gases Emissions Reduction Programme. http://www.world-aluminium.org/

  • Jakobs D, Baumgarten G (2002) Nanofiltration of nitric acidic solutions from picture tube production. Desalination 145:65–68

    Article  CAS  Google Scholar 

  • Jung A-V, Chanudet V, Ghanbaja J, Lartiges BS, Bersillon J-L (2005) Coagulation of humic substances and dissolved organic matter with a ferric salt: an electron energy loss spectroscopy investigation. Water Res 39:3849–3862

    Article  CAS  Google Scholar 

  • Karthikeyan KG, Elliott HA, Cannon FS (1995) Enhanced metal removal from wastewater by coagulant addition. Proc 50th Purdue Ind Waste Conf 50:259–267

    Google Scholar 

  • Katsou E, Malamis S, Haralambous KJ (2011) Industrial wastewater pre-treatment for heavy metal reduction by employing a sorbent-assisted ultrafiltration system. Chemosphere 82:557–564

    Article  CAS  Google Scholar 

  • Ku Y, Jung IL (2001) Photocatalytic reduction of Cr (VI) in aqueous solutions by UV irradiation with the presence of titanium dioxide. Water Res 35:135–142

    Article  CAS  Google Scholar 

  • Lambert J, Avila-Rodriguez M, Durand G, Rakib M (2006) Separation of sodium ions from trivalent chromium by electrodialysis using monovalent cation selective membranes. J Membr Sci 280:219–225

    Article  CAS  Google Scholar 

  • Lazaridis NK, Matis KA, Webb M (2001) Flotation of metal-loaded clay anion exchangers. Part I: the case of chromates. Chemosphere 42:373–378

    Article  CAS  Google Scholar 

  • Lin X, Burns RC, Lawrance GA (2005) Heavy metals in wastewater: the effect of electrolyte composition on the precipitation of cadmium (II) using lime and magnesia. Water Air Soil Pollut 165:131–152

    Article  CAS  Google Scholar 

  • Linde K, Jonsson AS (1995) Nanofiltration of salt solutions and landfill leachate. Desalination 103:223–232

    Article  CAS  Google Scholar 

  • Lyle JP, Granger DA, Sanders RE (2000) Aluminum Alloys. In: Ullmann’s encyclopedia of industrial chemistry. Wiley-VCH Verlag GmbH & Co. KGaA, New York, pp 1–47

    Google Scholar 

  • Matlock MM, Howerton BS, Atwood DA (2002) Chemical precipitation of heavy metals from acid mine drainage. Water Res 36:4757–4764

    Article  CAS  Google Scholar 

  • Mirbagheri SA, Hosseini SN (2005) Pilot plant investigation on petrochemical wastewater treatment for the removal of copper and chromium with the objective of reuse. Desalination 171:85–93

    Article  CAS  Google Scholar 

  • Mohammad AW, Othaman R, Hilal N (2004) Potential use of nanofiltration membranes in treatment of industrial wastewater from Ni–P electroless plating. Desalination 168:241–252

    Article  CAS  Google Scholar 

  • Murthy ZVP, Chaudhari LB (2008) Application of nanofiltration for the rejection of nickel ions from aqueous solutions and estimation of membrane transport parameters. J Hazard Mater 160:70–77

    Article  CAS  Google Scholar 

  • Ozverdi A, Erdem M (2006) Cu2+, Cd2+ and Pb2+ adsorption from aqueous solutions by pyrite and synthetic iron sulphide. J Hazard Mater 137:626–632

    Article  CAS  Google Scholar 

  • Qdais HA, Moussa H (2004) Removal of heavy metals from wastewater by membrane processes: a comparative study. Desalination 164:105–110

    Article  CAS  Google Scholar 

  • Peters RW, Young K, Bhattacharya D (1985) Evaluation of recent treatment techniques for removal of heavy metals from industrial wastewaters. AICHE Symp Ser 81:165–203

    CAS  Google Scholar 

  • Polat H, Erdogan D (2007) Heavy metal removal from waste waters by ion flotation. J Hazard Mater148:267–273

  • Rai D, Sass BM, Moore DA (1987) Chromium(III) hydrolysis constants and solubility of chromium(III) hydroxide. Inorg Chem 26:345–349

    Article  CAS  Google Scholar 

  • Richmond WR, Loan M, Newman M, Parkinson GM (2005) Zinc sulfide as a solid phase additive for improving the processing characteristics of ferrihydrite residues. Hydrometallurgy 78:172–179

    Article  CAS  Google Scholar 

  • Sakon K, Haraki Y, Enokida N, Yoshida H, Yamagishi Y, Sako T (2005) Environmentally friendly anodized aluminum formation using high-pressure carbon dioxide and water. In: Asian Pacific Confederation of Chemical Engineers Congress 1P-03-007

    Google Scholar 

  • Sanders RE Jr (2012) Aluminum and aluminum alloys. In:Kirk-Othmer encyclopedia of chemical technology, JohnWiley&Sons,Inc, New York

  • Savenko AV, Savenko VS (2011) Aluminum hydroxide’s solubility and the forms of dissolved aluminum’s occurrence in seawater. Oceanology 51:231–234

    Article  Google Scholar 

  • Sergey K (2011) Development of aluminum thermal break system, Dissertation, Saimaa University of Applied Science Technology, Finland

  • Srisuwan G, Thongchai P (2002) Removal of heavy metals from electroplating wastewater. Songklanakarin J Sci Technol 24:965–976

    CAS  Google Scholar 

  • Tansel B, Bao WY, Tansel IN (2000) Characterization of fouling kinetics in ultrafiltration systems by resistances in series model. Desalination 129:7–14

    Article  CAS  Google Scholar 

  • Tu KL, Nghiem LD, Chivas AR (2011) Coupling effects of feed solution pH and ionic strength on the rejection of boron by NF/RO membranes. Chem Eng J 168:700–706

    Article  CAS  Google Scholar 

  • US Environmental Protection Agency (USEPA) (2010) n-Hexane extractable material (HEM; oil and grease) and silica gel treated n-Hexane extractable material (SGT-HEM; non-polar material) by extraction and gravimetry. Method 1664, Revision B, EPA-821-R-10-001, USEPA, Washington, DC

  • Van der Bruggen B, Cornelis G, Vandecasteele C, Devreese I (2005) Fouling of nanofiltration and ultrafiltration membranes applied for wastewater regeneration in the textile industry. Desalination 175:111–119

    Article  CAS  Google Scholar 

  • Waters A (1990) Dissolved air flotation used as primary separation for heavy metal removal. Filtrat Sep 27:70–73

    Article  Google Scholar 

  • Wingenfelder U, Hansen C, Furrer G, Schulin R (2005) Removal of heavy metals from mine water by natural zeolites. Environ Sci Technol 39:4606–4613

    Article  CAS  Google Scholar 

  • Wong F-S, Qin J-J, Wai MN, Lim AL, Adiga M (2002) A pilot study on a membrane process for the treatment and recycling of spent final rinse water from electroless plating. Sep Purif Technol 29:41–51

    Article  CAS  Google Scholar 

  • Yang XJ, Fane AG, MacNaughton S (2001) Removal and recovery of heavy metals from wastewaters by supported liquid membranes. Water Sci Technol 43:341–348

    Article  CAS  Google Scholar 

  • Yuan XZ, Meng YT, Zeng GM, Fang YY, Shi JG (2008) Evaluation of tea-derived biosurfactant on removing heavy metal ions from dilute wastewater by ion flotation. Colloid Surf 317:256–261

    Article  CAS  Google Scholar 

  • Zahrim AY, Tizaoui C, Hilal N (2011) Coagulation with polymers for nanofiltration pre-treatment of highly concentrated dyes: a review. Desalination 266:1–16

    Article  CAS  Google Scholar 

Download references

Acknowledgments

This study was carried out as part of research project No. 111R003 and financially supported by the Scientific and Technological Research Council of Turkey (TUBITAK).

Author information

Affiliations

Authors

Corresponding author

Correspondence to Nuray Ates.

Additional information

Responsible editor: Angeles Blanco

Rights and permissions

Reprints and Permissions

About this article

Verify currency and authenticity via CrossMark

Cite this article

Ates, N., Uzal, N. Removal of heavy metals from aluminum anodic oxidation wastewaters by membrane filtration. Environ Sci Pollut Res 25, 22259–22272 (2018). https://doi.org/10.1007/s11356-018-2345-z

Download citation

  • Received:

  • Accepted:

  • Published:

  • Issue Date:

  • DOI: https://doi.org/10.1007/s11356-018-2345-z

Keywords

  • Aluminum
  • Anodic oxidation
  • Heavy metal
  • Ultrafiltration
  • Nanofiltration
  • Reverse osmosis
  • Water reuse