Skip to main content

Cadmium phytoextraction potential of king grass (Pennisetum sinese Roxb.) and responses of rhizosphere bacterial communities to a cadmium pollution gradient

Abstract

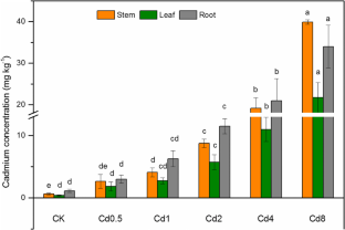
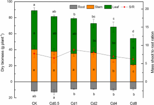
Screening for tolerant and high biomass producing plants is important for phytoextraction efforts in remediating agricultural soils contaminated by heavy metals. We carried out a greenhouse experiment involving a soil cadmium (Cd) concentration gradient (0.1, 0.5, 1, 2, 4, and 8 mg kg−1) to assess growth and phytoextraction capacity of king grass (Pennisetum sinese Roxb.) in soils contaminated by Cd and to explore changes in diversity and structure of rhizosphere soil bacterial communities in response to long-term Cd pollution. A significant positive relationship was observed between Cd concentrations in P. sinese stems, leaves, and roots and soil Cd concentration. The highest Cd concentrations in shoots and roots were 28.87 and 34.01 mg kg−1, respectively, at 8 mg kg−1of soil Cd supply. Total extraction amounts of Cd in P. sinese were 0.22–1.86 mg plant−1 corresponding to treatment with 0.5–8 mg kg−1 Cd. Most of the Cd was stored in shoots, and the largest accumulation was 1.56 mg plant−1 with 54.02 g dry shoot weight. After phytoextraction, changes in rhizobacterial community composition were found with different levels of Cd application, whereas there were no clear trends in diversity and richness. Results of this study show the feasibility of P. sinese in accumulating Cd and provide support for its application in remediation of soil moderately contaminated by Cd.

This is a preview of subscription content, access via your institution.

Fig. 1
Fig. 2
Fig. 3
Fig. 4
Fig. 5
Fig. 6
Fig. 7

References

  • Baudoin E, Benizri E, Guckert A (2003) Impact of artificial root exudates on the bacterial community structure in bulk soil and maize rhizosphere. Soil Biol Biochem 35:1183–1192

    Article  CAS  Google Scholar 

  • Berg J, Brandt KK, Al-Soud WA, Holm PE, Hansen LH, Sørensen SJ, Nybroea O (2012) Selection for Cu-tolerant bacterial communities with altered composition, but unaltered richness, via long-term Cu exposure. Appl Environ Microb 78:7438–7446

    Article  CAS  Google Scholar 

  • Caporaso JG, Lauber CL, Walters WA, Berg-Lyons D, Lozupone CA, Turnbaugh PJ, Fierer N, Knight R (2011) Global patterns of 16S rRNA diversity at a depth of millions of sequences per sample. Proc Natl Acad Sci USA 108:4516–4522

    Article  Google Scholar 

  • Caporaso JG, Lauber CL, Walters WA, Berg-Lyons D, Huntley J, Fierer N, Owens SM, Betley J, Fraser L, Bauer M, Gormley N, Gilbert JA, Smith G, Knight R (2012) Ultra-high-throughput microbial community analysis on the Illumina HiSeq and MiSeq platforms. ISME J 6:1621–1624

    Article  CAS  Google Scholar 

  • Chen Y, Hu L, Liu X, Deng Y, Liu M, Xu B, Wang M, Wang G (2017) Influences of king grass (Pennisetum sinese Roxb.)-enhanced approaches for phytoextraction and microbial communities in multi-metal contaminated soil. Geoderma 307:253–266

    Article  CAS  Google Scholar 

  • Cui H, Fan Y, Yang J, Xu L, Zhou J, Zhu Z (2016) In situ phytoextraction of copper and cadmium and its biological impacts in acidic soil. Chemosphere 161:233–241

    Article  CAS  Google Scholar 

  • Deng L, Zeng G, Fan C, Lu L, Chen X, Chen M, Wu H, He X, He Y (2015) Response of rhizosphere microbial community structure and diversity to heavy metal co-pollution in arable soil. Appl Microbiol Biotechnol 99:8259–8269

    Article  CAS  Google Scholar 

  • Desai C, Parikh RY, Vaishnav T, Shouche YS, Madamwar D (2009) Tracking the influence of long-term chromium pollution on soil bacterial community structures by comparative analyses of 16S rRNA gene phylotypes. Res Microbiol 160:1–9

    Article  CAS  Google Scholar 

  • Epelde L, Becerril JM, Allica JH, Barrutia O, Garbisu C (2008) Functional diversity as indicatorof the recovery of soil health derived from Thlaspi caerulescens growth and metal phytoextraction. Appl Soil Ecol 39:299–310

    Article  Google Scholar 

  • Epelde L, Mijangos I, Becerril JM, Garbisu C (2009) Soil microbial community as bioindicator of the recovery of soil functioning derived from metal phytoextraction with sorghum. Soil Biol Biochem 41:1788–1794

    Article  CAS  Google Scholar 

  • Fierer N, Bradford MA, Jackson RB (2007) Toward an ecological classification of soil bacteria. Ecology 88:1353–1364

    Google Scholar 

  • Garbisu C, Alkorta I (2001) Phytoextraction: a cost-effective plant-based technology for the removal of metals from the environment. Bioresour Technol 77:229–236

    Article  CAS  Google Scholar 

  • Guo XY, Zuo YB, Wang BR, Li JM, Ma YB (2010) Toxicity and accumulation of copper and nickel in maize plants cropped on calcareous and acidic field soils. Plant Soil 333:365–373

    Article  CAS  Google Scholar 

  • Jackson ML (1985) Soil chemical analysis: advanced course, 2nd edn. University of Wisconsin, Madison

    Google Scholar 

  • Jusselme MD, Miambi E, Mora P, Diouf M, Rouland-Lefèvre C (2013) Increased lead availability and enzyme activities in root-adhering soil of Lantana camara during phytoextraction in the presence of earthworms. Sci Total Environ 445-446:101–109

    Article  CAS  Google Scholar 

  • Khan S, Hesham AEL, Qiao M, Rehman S, He J (2010) Effects of Cd and Pb on soil microbial community structure and activities. Environ Sci Pollut Res 17:288–296

    Article  CAS  Google Scholar 

  • Kocoń A, Jurga B (2017) The evaluation of growth and phytoextraction potential of Miscanthus × giganteus and Sidahermaphrodita on soil contaminated simultaneously with Cd, Cu, Ni, Pb, and Zn. Environ Sci Pollut Res 24:4990–5000

    Article  CAS  Google Scholar 

  • Li J, Sun Y, Yin Y, Ji R, Wu J, Wang X, Guo H (2010) Ethyl lactate-EDTA composite system enhances the remediation of the cadmium-contaminated soil by autochthonous willow (Salix × aureo-pendula CL ‘J1011’) in the lower reaches of the Yangtze River. J Hazard Mater 181:673–678

    Article  CAS  Google Scholar 

  • Li X, Rui J, Mao Y, Yannarell A, Mackie R (2014) Dynamics of the bacterial community structure in the rhizosphere of a maize cultivar. Soil Biol Biochem 68:392–401

    Article  CAS  Google Scholar 

  • Li J, Hu H, Ma Y, Wang J, Liu Y, He J (2015) Long-term nickel exposure altered the bacterial community composition but not diversity in two contrasting agricultural soils. Environ Sci Pollut Res 22:10496–10505

    Article  CAS  Google Scholar 

  • Liu X, Peng K, Wang A, Lian C, Shen Z (2010) Cadmium accumulation and distribution in populations of Phytolacca americana L. and the role of transpiration. Chemosphere 78:1136–1141

    Article  CAS  Google Scholar 

  • Lombi E, Zhao FJ, Duniham SJ, McGarth SP (2000) Cadmium accumulation in populations of Thlaspi caerulescens and Thlaspi goesingense. New Phytol 145:11–20

    Article  CAS  Google Scholar 

  • Lu M, Zhang Z, Wang J, Zhang M, Xu Y, Wu X (2014a) Interaction of heavy metals and pyrene on their fates in soil and tall fescue (Festuca arundinacea). Environ Sci Technol 48:1158–1165

    Article  CAS  Google Scholar 

  • Lu Q, Tang L, Wang S, Huang B, Chen Y, Chen X (2014b) An investigation on the characteristics of cellulose nanocrystals from Pennisetum sinese. Biomass Bioenergy 70:267–272

    Article  CAS  Google Scholar 

  • Ma C, Ming H, Lin C, Naidu R, Bolan N (2016) Phytoextraction of heavy metal from tailing waste using Napier grass. Catena 136:74–83

    Article  CAS  Google Scholar 

  • McGrath SP, Lombi E, Gray CW, Caille N, Dunham SJ, Zhao FJ (2006) Field evaluation of Cd and Zn phytoextraction potential by the hyperaccumulators Thlaspi caerulescens and Arabidopsis halleri. Environ Pollut 141:115–125

    Article  CAS  Google Scholar 

  • MEP, MLR (2014) The communique of national investigation of soil contamination. Ministry of environmental protection of the People’s Republic of China. Ministry of Land and Resources of the People’s Republic of China. http://www.mep.gov.cn/gkml/hbb/qt/201404/t20140417_270670.htm

  • ÓDonnell AG, Seasman M, Macrae A, Waite I, Davies JT (2001) Plants and fertilisers as drivers of change in microbial community structure and function in soils. Plant Soil 232:135–145

    Article  Google Scholar 

  • Rosselli W, Keller C, Boschi K (2003) Phytoextraction capacity of trees growing on a metal contaminated soil. Plant Soil 256:265–272

    Article  CAS  Google Scholar 

  • Shi G, Cai Q (2009) Cadmium tolerance and accumulation in eight potential energy crops. Biotechnol Adv 27:555–561

    Article  CAS  Google Scholar 

  • Singh BK, Quince C, Macdonald CA, Khachane A, Thomas N, Al-Soud WA, Sorensen SJ, He Z, White D, Sinclair A, Crooks B, Zhou J, Campbell CD (2014) Loss of microbial diversity in soils is coincident with reductions in some specialized functions. Environ Microbiol 16:2408–2420

    Article  Google Scholar 

  • Solís-Domínguez FA, Gonźalez-Chávez MC, Carrillo-Gonźalez R, Rodŕıguez-Vázquez R (2007) Accumulation and localization of cadmium in Echinochloa polystachya grown within a hydroponic system. J Hazard Mater 141:630–636

    Article  CAS  Google Scholar 

  • Sun Y, Zhou Q, Wang L, Liu W (2009) Cadmium tolerance and accumulation characteristics of Bidens pilosa L. as a potential Cd-hyperaccumulator. J Hazard Mater 161:808–814

    Article  CAS  Google Scholar 

  • Sun SY, Dafforn KA, Brown MV, Johnston EL (2012) Bacterial communities are sensitive indicators of contaminant stress. Mar Pollut Bull 64:1029–1038

    Article  CAS  Google Scholar 

  • Vogel-Mikus K, Drobne D, Regvar M (2005) Zn, Cd and Pb accumulation and arbuscular mycorrhizal colonisation of pennycress Thlaspi praecox Wulf. (Brassicaceae) from the vicinity of a lead mine and smelter in Slovenia. Environ Pollut 133:233–242

    Article  CAS  Google Scholar 

  • Wu F, Yang W, Zhang J, Zhou L (2010) Cadmium accumulation and growth responses of a poplar (Populus deltoids × Populus nigra) in cadmium contaminated purple soil and alluvial soil. J Hazard Mater 177:268–173

    Article  CAS  Google Scholar 

  • Xiao W, Wang H, Li T, Zhu Z, Zhang J, He Z, Yang X (2013) Bioremediation of Cd and carbendazim co-contaminated soil by Cd-hyperaccumulator Sedum alfredii associated with carbendazim-degrading bacterial strains. Environ Sci Pollut Res 20:380–389

    Article  CAS  Google Scholar 

  • Yoon J, Cao X, Zhou Q, Ma LQ (2006) Accumulation of Pb, Cu, and Zn in native plants growing on a contaminated Florida site. Sci Total Environ 368:456–464

    Article  CAS  Google Scholar 

  • Zhang S, Chen M, Li T, Xu X, Deng L (2010a) A newly found cadmium accumulator—Malva sinensis Cavan. J Hazard Mater 173:705–709

    Article  CAS  Google Scholar 

  • Zhang X, Xia H, Li Z, Zhuang P, Gao B (2010b) Potential of four forage grasses in remediation of Cd and Zn contaminated soils. Bioresour Technol 101:2063–2066

    Article  CAS  Google Scholar 

  • Zhang X, Zhang X, Gao B, Li Z, Xia H, Li H, Li J (2014) Effect of cadmium on growth, photosynthesis, mineral nutrition and metal accumulation of an energy crop, king grass (Pennisetum americanum × P. purpureum). Biomass Bioenergy 67:179–187

    Article  CAS  Google Scholar 

  • Zhang W, Chen L, Zhang R, Lin K (2016) High throughput sequencing analysis of the joint effects of BDE209-Pb on soil bacterial community structure. J Hazard Mater 301:1–7

    Article  CAS  Google Scholar 

  • Zhao FJ, Lombi E, McGrath SP (2003) Assessing the potential for zinc and cadmium phytoremediation with the hyperaccumulator Thlaspi caerulescens. Plant Soil 249:37–43

    Article  CAS  Google Scholar 

  • Zhao FJ, Jiang RF, Dunham SJ, McGrath SP (2006) Cadmium uptake, translocation and tolerance in the hyperaccumulator Arabidopsis halleri. New Phytol 172:646–654

    Article  CAS  Google Scholar 

  • Zhu Z, Yang X, Wang K, Huang H, Zhang X, Fang H, Li T, Alva AK, He Z (2012) Bioremediation of Cd-DDT co-contaminated soil using the Cd-hyperaccumulator Sedum alfredii and DDT-degrading microbes. J Hazard Mater 235-236:144–151

    Article  CAS  Google Scholar 

Download references

Acknowledgements

We thank Prof. Li and his colleague for help with MiSeq sequencing.

Funding

This work was supported by the National Natural Science Foundation of China (41301576) and the Research Fund for science and technology project of Fujian (2017R1004-3). Part of this work was supported by Chengdu Institute of Biology, Chinese Academy of Science.

Author information

Affiliations

Authors

Corresponding author

Correspondence to Yanhui Chen.

Additional information

Responsible editor: Elena Maestri

Rights and permissions

Reprints and Permissions

About this article

Verify currency and authenticity via CrossMark

Cite this article

Hu, L., Wang, R., Liu, X. et al. Cadmium phytoextraction potential of king grass (Pennisetum sinese Roxb.) and responses of rhizosphere bacterial communities to a cadmium pollution gradient. Environ Sci Pollut Res 25, 21671–21681 (2018). https://doi.org/10.1007/s11356-018-2311-9

Download citation

  • Received:

  • Accepted:

  • Published:

  • Issue Date:

  • DOI: https://doi.org/10.1007/s11356-018-2311-9

Keywords

  • Cadmium
  • Pennisetum sinese Roxb.
  • Phytoextraction
  • Soil bacterial community