Abstract
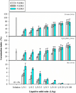
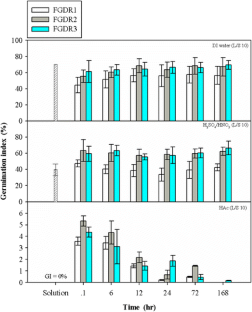
Flue gas desulfurization residues (FGDR) are the main solid wastes produced in coal-fired power plants that can be reused as alternative materials for civil and agricultural applications. However, the pollutants contained in the FGDR might contaminate the local environment, hindering their material reuse. In this study, the physical-chemical characteristics, leaching, and phytotoxicity (Triticum aestivum) of the material were investigated. The FGDR samples were obtained from three pulverized coal-fired power plants in China. Multivariate statistical analyses were used to consider the contributions of the leaching components to the germination index of wheat seeds in the FGDR leachates. The FGDR contained a high percentage of amorphous mass. The ranges of selected metals and micronutrients in the FGDR are As (31.5–63.0 mg/kg), B (574–3090 mg/kg), Ba (2799–3073 mg/kg), Cr (up to 4.73 mg/kg), Cu (0.29–1.38 mg/kg), Mn (136–370 mg/kg), Ni (9.93–22.9 mg/kg), Pb (1.29–7.29 mg/kg), Sr (886–1706 mg/kg), and Zn (335–458 mg/kg). The leaching toxicity of the FGDR leachates was lower than the regulatory limit of the identification standards for hazardous waste, indicating that the FGDR are non-hazardous materials. Metals, especially Ba, Cu, Fe, and Pb, as well as As and B, in the leachate had inhibitory effects on seed germination than the other constituents. The results in this study showed that the leachate phytotoxicity resulting from FGDR could be evaluated before the utilization of FGDR, giving crucial information for the adaptation of these alternative materials.






Similar content being viewed by others
References
An YJ (2006) Assessment of comparative toxicities of lead and copper using plant assay. Chemosphere 62:1359–1365. https://doi.org/10.1016/j.chemosphere.2005.07.044
Chang EE, Chiang PC, Lu PH, Ko YW (2001) Comparisons of metal leachability for various wastes by extraction and leaching methods. Chemosphere 45:91–99. https://doi.org/10.1016/S0045-6535(01)00002-9
Chen Z, Wua S, Li F, Chen J, Qin Z, Pang L (2014) Recycling of flue gas desulfurization residues in gneiss based hot mix asphalt: materials characterization and performances evaluation. Constr Build Mater 73:137–144. https://doi.org/10.1016/j.conbuildmat.2014.09.049
Cheng CM, Tu W, Zand B, Butalia T, Wolfe W, Walker H (2007) Beneficial reuse of FGD material in the construction of low permeability liners: impacts on inorganic water quality constituents. J Environ Eng 133:523–531. https://doi.org/10.1061/ASCE0733-93722007133:5523
Cheng CM, Taerakul P, Tu W, Zand B, Butalia T, Wolfe W, Walker H (2008) Surface runoff from full-scale coal combustion product pavements during accelerated loading. J Environ Eng 134:591–599. https://doi.org/10.1061/(ASCE)0733-9372(2008)134:8(591)
Chiang KY, Tsai CC, Wang KS (2009) Comparison of leaching characteristics of heavy metals in APC residue from an MSW incinerator using various extraction methods. Waste Manag 29:277–284. https://doi.org/10.1016/j.wasman.2008.04.006
Clark RB, Ritchey KD, Baligar VC (2001) Benefits and constraints for use of FGD products on agricultural land. Fuel 80(6):821–828. https://doi.org/10.1016/S0016-2361(00)00162-9
Córdoba P (2015) Review article: status of flue gas desulphurisation (FGD) systems from coal-fired power plants: overview of the physic-chemical control processes of wet limestone FGDs. Fuel 144:274–286. https://doi.org/10.1016/j.fuel.2014.12.065
Çoruh S (2012) Leaching behavior and immobilization of copper flotation waste using fly ash. Environ Prog Sustain Energy 31(2):269–276. https://doi.org/10.1002/ep.10538
Ernst WHO (1998) Effects of heavy metals in plants at the cellular and organismic level ecotoxicology. In: Gerrit S, Bernd M (eds) III. Bioaccumulation and biological effects of chemicals. Wiley and Spektrum Akademischer Verlag, New York, pp 587–620
European standard EN 1097-7 (2000) Tests for mechanical and physical properties of aggregates. Determination of the particle density of filler. Pycnometer method, European committee for standardization
Fan HJ, Shu HY, Yang HS, Chen WC (2006) Characteristics of landfill leachates in central Taiwan. Sci Total Environ 361:25–37. https://doi.org/10.1016/j.scitotenv.2005.09.033
François D, Criado C (2007) Monitoring of leachate at a test road using treated fly ash from municipal solid waste incinerator. J Hazard Mater B139:543–549. https://doi.org/10.1016/j.jhazmat.2005.02.019
Greenway SL, Moore MT, Famis JL, Rhoton FE (2011) Effects of fluidized gas desulfurization (FGD) gypsum on non-target freshwater and sediment dwelling organisms. Bull Environ Contam Toxicol 86:480–483. https://doi.org/10.1007/s00128-011-0246-7
Hoekstra NJ, Bosker T, Lantinga EA (2002) Effects of cattle dung from farms with different feeding strategies on germination and initial root growth of cress (Lepidium sativum L.). Agric Ecosyst Environ 93:189–196. https://doi.org/10.1016/S0167-8809(01)00348-6
Hou J, Liu GN, Xue W, Fu WJ, Liang BC, Liu XH (2014) Seed germination, root elongation, root-tip mitosis, and micronucleus induction of five crop plants exposed to chromium in fluvo-aquatic soil. Environ Toxicol Chem 33:671–676. https://doi.org/10.1002/etc.2489
Hua M, Wang B, Chen L, Wang Y, Quynh VM, He B, Li X (2010) Verification of lime and water glass stabilized FGD gypsum as road sub-base. Fuel 89:1812–1817. https://doi.org/10.1016/j.fuel.2009.11.029
Jankowski J, Ward CR, French D, Groves S (2006) Mobility of trace elements from selected Australian fly ashes and its potential impact on aquatic ecosystems. Fuel 85:243–256. https://doi.org/10.1016/j.fuel.2005.05.028
Kalai T, Khamassi K, Teixeira da Silva JA, Gouia H, Ben-Kaab LB (2014) Cadmium and copper stress affect seedling growth and enzymatic activities in germinating barley seeds. Arch Agron Soil Sci 60:765–783. https://doi.org/10.1080/03650340.2013.838001
Komonweeraket K, Cetin B, Aydilek AH, Benson CH, Edil TB (2015) Effects of pH on the leaching mechanisms of elements from fly ash mixed soils. Fuel 140:788–802. https://doi.org/10.1016/j.fuel.2014.09.068
Lewis S, Donkin ME, Depledge MH (2001) Hsp70 expression in Enteromorpha intestinalis (Chlorophyta) exposed to environmental stressors. Aquat Toxicol 51:277–291. https://doi.org/10.1016/S0166-445X(00)00119-3
Li XG, Lv Y, Ma BG, Chen QB, Yin XB, Jian SW (2012) Utilization of municipal solid waste incineration bottom ash in blended cement. J Clean Prod 32:96–100. https://doi.org/10.1016/j.jclepro.2012.03.038
Li J, Zhuang X, Leiva C, Comejo A, Font O, Querol X, Moeno N, Arenas C, Fernández-Pereira C (2015) Potential utilization of FGD gypsum and fly ash from a Chinese power plant for manufacturing fire-resistant panels. Constr Build Mater 95:910–921. https://doi.org/10.1016/j.conbuildmat.2015.07.183
Limbachiya MC, Marrocchino E, Koulouris A (2007) Chemical-mineralogical characterisation of coarse recycled concrete aggregate. Waste Manag 27:201–208. https://doi.org/10.1016/j.wasman.2006.01.005
Liyanage M, Jayaranjan D, Annachhatre AP (2013) Precipitation of heavy metals from coal ash leachate using biogenic hydrogen sulfide generated from FGD gypsum. Water Sci Technol 67(2):311–318. https://doi.org/10.2166/wst.2012.546
Ministry of Environmental Protection of the People’s Republic of China (MEP) (2007) Identification standards for hazardous wastes—identification for extraction toxicity. GB 5085.3-2007. Beijing, China (in Chinese)
Neupane G, Donahoe RJ (2013) Leachability of elements in alkaline and acidic coal fly ash samples during batch and column leaching tests. Fuel 104:758–770. https://doi.org/10.1016/j.fuel.2012.06.013
Phoungthong K, He PJ, Shao LM, Zhang H (2016a) Phytotoxicity and groundwater impacts of leaching from thermal treatment residues in roadways. J Environ Sci In press. https://doi.org/10.1016/j.jes.2016.11.009
Phoungthong K, Zhang H, Shao LM, He PJ (2016b) Variation of the phytotoxicity of municipal solid waste incinerator bottom ash on wheat (Triticum aestivum L.) seed germination with leaching conditions. Chemosphere 146:547–554. https://doi.org/10.1016/j.chemosphere.2015.12.063
Seshadri B, Bolan NS, Naidu R, Brodie K (2010) The role of coal combustion products in managing the bioavailability of nutrients and heavy metals in soils. J Soil Sci Plant Nutr 10(3):378–398. https://doi.org/10.4067/S0718-95162010000100011
Shim YS, Rhee SW, Lee WK (2005) Comparison of leaching characteristics of heavy metals from bottom and fly ashes in Korea and Japan. Waste Manag 25:473–480. https://doi.org/10.1016/j.wasman.2005.03.002
Stumm W (1992) Chemistry of the solid-water interface. Wiley, New York
US Environmental Protection Agency (US EPA) (1996) Ecological effects test guidelines, Seed germination/root elongation toxicity test, Publication No. 96-154. Washington, DC. USA
US Environmental Protection Agency (US EPA) (2003) RCRA training modules. Introduction to hazardous waste identification. Washington, DC. USA
Visioli G, Conti FD, Gardi C, Menta C (2014) Germination and root elongation bioassays in six different plant species for testing Ni contamination in soil. Bull Environ Contam Toxicol 92:490–496. https://doi.org/10.1007/s00128-013-1166-5
Wang J, Bai Z, Yang P (2013) Effect of byproducts of flue gas desulfurization on the soluble salts composition and chemical properties of sodic soils. PLoS One 8(8):e71011. https://doi.org/10.1371/journal.pone.0071011
Wang SJ, Chen Q, Li Y, Zhou YQ, Xu LZ (2017) Research on saline-alkali soil amelioration with FGD gypsum. Resour Conserv Recycl 121:82–92. https://doi.org/10.1016/j.resconrec.2016.04.005
Xie X, Zhou Q, He Z, Bao Y (2010) Physiological and potential genetic toxicity of chlortetracycline as an emerging pollutant in wheat (Triticum aestivum L.). Environ Toxicol Chem 29:922–928. https://doi.org/10.1002/etc.79
Funding
This research received financial supports from the National Natural Science Foundation of China (21577102), the major Science and Technology Program for Water Pollution Control and Treatment (2017ZX07202005), the National Social Science Fund of China (No.12&ZD236), and the Fundamental Research Funds for the Central Universities.
Author information
Authors and Affiliations
Corresponding author
Additional information
Responsible editor: Philippe Garrigues
Electronic supplementary material
Supplementary material
(Tables S1–S9) associated with this article can be found in the supplementary material. (DOC 266 kb)
Rights and permissions
About this article
Cite this article
Phoungthong, K., He, PJ., Shao, LM. et al. Leachate phytotoxicity of flue gas desulfurization residues from coal-fired power plant. Environ Sci Pollut Res 25, 19808–19817 (2018). https://doi.org/10.1007/s11356-018-2207-8
Received:
Accepted:
Published:
Issue Date:
DOI: https://doi.org/10.1007/s11356-018-2207-8


