Skip to main content

Efficiency in the European agricultural sector: environment and resources

Abstract

This article intends to compute agriculture technical efficiency scores of 27 European countries during the period 2005–2012, using both data envelopment analysis (DEA) and stochastic frontier analysis (SFA) with a generalized cross-entropy (GCE) approach, for comparison purposes. Afterwards, by using the scores as dependent variable, we apply quantile regressions using a set of possible influencing variables within the agricultural sector able to explain technical efficiency scores. Results allow us to conclude that although DEA and SFA are quite distinguishable methodologies, and despite attained results are different in terms of technical efficiency scores, both are able to identify analogously the worst and better countries. They also suggest that it is important to include resources productivity and subsidies in determining technical efficiency due to its positive and significant exerted influence.

This is a preview of subscription content, access via your institution.

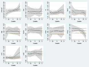
Fig. 1
Fig. 2
Fig. 3

Notes

  1. Belgium, Bulgaria, Czech Republic, Denmark, Germany, Estonia, Ireland, Greece, Spain, France, Italy, Cyprus, Latvia, Lithuania, Luxembourg, Hungary, Malta, Netherlands, Austria, Poland, Portugal, Romania, Slovenia, Slovakia, Finland, Sweden, and United Kingdom.

  2. For this sector in particular, it includes de net value added of all units involved in agricultural production, also if the units have more economic important activities as well and if the purpose of the units is not commercial. Kitchen garden (producing for own consumption only) is not included. The data considers: growing of non-perennial crops; growing of perennial crops; plant propagation; animal production; mixed farming; support activities to agriculture and post-harvest crop activities; hunting, trapping and related service activities.

  3. In tonnes per capita. Considering only biomass, DMC measures the total amount of biomass directly used by the economy, being defined as the annual quantity extracted from the domestic economy, plus all physical imports minus all physical exports.

  4. The code was implemented by us in MATLAB (R2009a) software.

  5. See Wasserstein and Lazar (2016) for an important discussion on the use of p values.

  6. The authors use the share of livestock subsidies in total subsidies (%), the share of the sum of subsidies on crops, intermediate consumption and external factors in total subsidies (%), and the share of total subsidies in total farm income (%).

References

  • Abay C, Miran B, Gunden C (2004) An analysis of input use efficiency in Tobacco production with respect to sustainability: the case study of Turkey. J Sust Agr 24(3):123–143

    Article  Google Scholar 

  • Abdulai A, Huffman W (2000) Structural adjustment and economic efficiency of rice farmers in Northern Ghana. Econ Develop Cult Change Univ Chicago Press 48(3):503–520

    Article  Google Scholar 

  • Akande, O.P. (2012) An evaluation of technical efficiency and agricultural productivity growth in EU regions. Wageningen University, http://library.wur.nl/WebQuery/groenekennis/2002508

  • Arita S, Leung P (2014) A technical efficiency analysis of Hawaii’s aquaculture industry. J World Aquac Soc 45:312–321

    Article  Google Scholar 

  • Avadí A, Vázquez-Rowe I, Fréon P (2014) Eco-efficiency assessment of the Peruvian anchoveta steel and wooden fleets using the LCA-DEA framework. J Clean Prod 70:118–131

    Article  Google Scholar 

  • Barnes AP, Revoredo-Giha C, Sauer J, Elliott J, Jones G (2010) A report on technical efficiency at the farm level 1989 to 2008. Report for Defra, London

    Google Scholar 

  • Bartolini F, Viaggi D (2013) The common agricultural policy and the determinants of changes in EU farm size. Land Use Policy 31:126–135

    Article  Google Scholar 

  • Baum, C.F. (2013) Quantile regression. http://fmwww.bc.edu/EC-C/S2013/823/EC823.S2013.nn04.slides.pdf

  • Bilgili F, Öztürk I, Koçak E, Bulut Ü, Pamuk Y, Muğaloğlu E, Bağlıtaş HH (2016) The influence of biomass energy consumption on CO2 emissions: a wavelet coherence approach. Environ Sci Pollut Res 23(19):19043–19061

    CAS  Article  Google Scholar 

  • Bojnec Š, Fertő I, Jámbor A, Tóth J (2014) Determinants of technical efficiency in agriculture in new EU member states from Central and Eastern Europe. Acta Oecon. 64(2):197–217

    Article  Google Scholar 

  • Bravo-Ureta BE, Evenson RE (1994) Efficiency in agricultural production: the case of peasant farmers in eastern Paraguay. Agric. Econ. 10(1):27–37

    Article  Google Scholar 

  • Campbell R, Rogers K, Rezek J (2008) Efficient frontier estimation: a maximum entropy approach. J Produc Anal 30(3):213–221

    Article  Google Scholar 

  • Chen L, Jia G (2017) Environmental efficiency analysis of China's regional industry: a data envelopment analysis (DEA) based approach. J Clean Prod 142:846–853

    Article  Google Scholar 

  • Chen Z, Huffman WE (2006) Measuring county-level technical efficiency of Chinese agriculture: a spatial analysis. In: Dong X-Y, Song S, Zhang X (eds) China’s agricultural development. Ashgate Publishing Limited, Aldershot UK

    Google Scholar 

  • Coelli TJ, Prasada Rao DS, O’Donnell CJ, Battese GE (2005) An Introduction to efficiency and productivity analysis, 2nd edn. Springer, New York

    Google Scholar 

  • Coelli, T, Lauwers L, van Huylenbroeck G (2007). Environmental efficiency measurement and the materials balance condition. Journal of Productivity Analysis, 28:3–12.

    Article  Google Scholar 

  • Färe R, Grosskopf S, Hernandez-Sancho F (2004) Environmental performance: an index number approach. Res Energ Econ. 26:343–352

    Article  Google Scholar 

  • Farrell MJ (1957) The measurement of productive efficiency. J Royal Stat Soc Series A 120:253–290

    Article  Google Scholar 

  • Fousekis P, Spathis P, Tsimboukas K (2001) Assessing the efficiency of sheep farming in mountainous areas of Greece: a non-parametric approach. Agric Econ Rev 2(2):5–15

    Google Scholar 

  • Garibaldi LA, Aizen MA, Klein A-M, Cunningham SA, Harder LH (2011) Global growth and stability of agricultural yield decrease with pollinator dependence. Proc Natl Acad Sci USA (14):5909–5914

    CAS  Article  Google Scholar 

  • Giller KE, Rowe EC, de Ridder N, van Keulen H (2006) Resource use dynamics and interactions in the tropics: scaling up in space and time. Agric Syst 88:8–27

    Article  Google Scholar 

  • Golan A, Judge G, Miller D (1996) Maximum entropy econometrics: robust estimation with limited data. John Wiley & Sons, Chichester

    Google Scholar 

  • Gorton M, Davidova S (2004) Farm productivity and efficiency in the CEE applicant countries: a synthesis of results. J Agric Econ 30:1–16

    Article  Google Scholar 

  • Hoang VN, Alauddin M (2012) Input-orientated data envelopment analysis framework of measuring and decomposing economic, environmental and ecological efficiency: an application to OECD agriculture. Environ Res Econ 51:431–452

    Article  Google Scholar 

  • Hoang VN, Coelli T (2011) Measurement of agricultural total factor productivity growth incorporating environmental factors: a nutrients balance approach. J Environ Econ Manag 62:462–474

    Article  Google Scholar 

  • Hoang V-N, Rao DSP (2010) Measuring and decomposing sustainable efficiency in agricultural production: a cumulative exergy balance approach. Ecol Econ 69:1765–1776

    Article  Google Scholar 

  • Hoang VN, Trung T (2013) Analysis of environmental efficiency variation: a materials balance approach. Ecol Econ 86(1):37–46

    Article  Google Scholar 

  • Hoff A (2007) Second stage DEA: comparison of approaches for modelling the DEA score. Europ J Operat Res 181(1):425–435

    Article  Google Scholar 

  • Iliyasu A, Mohamed ZA, Terano R (2016) Comparative analysis of technical efficiency for different production culture systems and species of freshwater aquaculture in Peninsular Malaysia. Aquac Rep 3:51–57

    Article  Google Scholar 

  • Iraizoz B, Rapun M, Zabaleta I (2003) Assessing the technical efficiency of horticultural production in Navarra, Spain. Agric Syst 78:387–403

    Article  Google Scholar 

  • Khoshnevisan B, Shariati HM, Rafiee S, Mousazadeh H (2014) Comparison of energy consumption and GHG emissions of open field and greenhouse strawberry production. Renew Sust Energ Rev 29:316–324

    CAS  Article  Google Scholar 

  • Kočišová K (2015) Application of the DEA on the measurement of efficiency in the EU countries. Agric Econ 61(2):51–62

    Google Scholar 

  • Koenker R, Bassett GS (1982) Robust tests for heteroscedasticity based on regression quantiles. Economet. 50:43–61

    Article  Google Scholar 

  • Kumbhakar SC, Lovell CAK (2000) Stochastic Frontier Analysis. Cambridge Univ. Press, Cambridge

    Book  Google Scholar 

  • Kwon OS, Lee H (2004) Productivity improvement in Korean rice farming: parametric and nonparametric analysis. Aust J Agric Res Econ 48(2):323–346

    Article  Google Scholar 

  • Lauwers L (2009) Justifying the incorporation of the materials balance principle into frontier-based eco-efficiency models. Ecol Econ 68(6):1605–1614

    Article  Google Scholar 

  • Li L, Hao T, Chi T (2017) Evaluation on China's forestry resources efficiency based on big data. J Clean Prod 142:513–523

    Article  Google Scholar 

  • Macedo P, Scotto M (2014) Cross-entropy estimation in technical efficiency analysis. J Math Econ 54:124–130

    Article  Google Scholar 

  • Macedo P, Silva E, Scotto M (2014) Technical efficiency with state-contingent production frontiers using maximum entropy estimators. J Product Anal 41(1):131–140

    Article  Google Scholar 

  • McDonald J (2009) Using least squares and tobit in second stage DEA efficiency analyses. Eur J Op Res 197(2):792–798

    Article  Google Scholar 

  • Minviel JJ, Latruffe L (2017) Effect of public subsidies on farm technical efficiency: a meta-analysis of empirical results. Appl Econ 49(2):213–226

    Article  Google Scholar 

  • Nguyen TT, Hoang VN, Seo B (2012) Cost and environmental efficiency of rice farms in South Korea. Agric Econ 43:367–376

    Google Scholar 

  • O’Garra T, Mourato S (2007) Public preferences for hydrogen buses: comparing interval data. OLS and quantile regression approaches. Environ Res Econ 36(4):389–411

    Article  Google Scholar 

  • Olsen L (2010) Supporting a just transition: the role of international labour standards. Int. J Lab Res 2(2):293–318

    Google Scholar 

  • Picazo-Tadeo AJ, Beltrán-Esteve M, Gómez-Limón JA (2012) Assessing eco-efficiency with directional distance functions. Europ J Operat Res 220:798–809

    Article  Google Scholar 

  • Qureshi MI, Awan U, Arshad Z, Rasli AM, Zaman K, Khan F (2016) Dynamic linkages among energy consumption, air pollution, greenhouse gas emissions and agricultural production in Pakistan: sustainable agriculture key to policy success. Nat Haz 84(1):367–363

    Article  Google Scholar 

  • Reinhard S, Lovell CAK, Thijssen G (2002) Analysis of environmental efficiency variation. Americ J Agric Econ 84:1054–1065

    Article  Google Scholar 

  • Reinhard S, Lovell KCA, Thijssen GJ (2000) Environmental efficiency with multiple environmentally detrimental variables; estimated with SFA and DEA. Europ J Operat Res 121:287–303

    Article  Google Scholar 

  • Robaina-Alves M, Moutinho V (2014) Decomposition of energy-related GHG emissions in agriculture over 1995–2008 for European countries. Appl Energy 114:949–957

    CAS  Article  Google Scholar 

  • Robaina-Alves M, Moutinho V, Macedo P (2015) A new frontier approach to model the eco-efficiency in European countries. J Clean Prod 103:562–573

    Article  Google Scholar 

  • Schreurs, E., Peeters, L., Van Passel, S. (2014) Analyzing the impacts of soil contamination and urban development pressure on farmland values: Unconditional quantile regression estimation. 2014 International Congress, August 26-29 Ljubljana, Slovenia No. 182741, European Association of Agricultural Economists

  • Sharma KR, Leung PS, Chen H, Peterson A (1999a) Economic efficiency and optimum stocking densities in fish polyculture: an application of data envelopment analysis (DEA) to Chinese fish farms. Aquac. 180:207–221

    Article  Google Scholar 

  • Sharma KR, Leung PS, Zaleski HM (1999b) Technical, allocative and economic efficiencies in swine production in Hawaii: a comparison of parametric and nonparametric approaches. J Agric Econ 20:23–35

    Article  Google Scholar 

  • Simar L, Wilson PW (2007) Estimation and inference in two-stage, semi-parametric models of production processes. J Economet 136:31–64

    Article  Google Scholar 

  • Špicka, J. (2016) Changes in the energy efficiency of crop production in EU countries. Proceedings of the 7th International Scientific Conference Rural Development 2015:1-6.

  • Toma E, Dobre C, Dona I, Cofas E (2015) DEA applicability in assessment of agriculture efficiency on areas with similar geographically patterns. Agric Agric Sci Procedia 6:704–711

    Google Scholar 

  • Toma P, Miglietta PP, Zurlini G, Valente D, Petrosillo I (2017) A non-parametric bootstrap-data envelopment analysis approach for environmental policy planning and management of agricultural efficiency in EU countries. Ecol Ind 83:132–143

    Article  Google Scholar 

  • Van Meensel J, Lauwers L, Van Huylenbroeck G (2010) Communicative diagnosis of cost-saving options for reducing nitrogen emission from pig finishing. J Environ Manag 91(11):2370–2377

    Article  Google Scholar 

  • Van Passel S, Van Huylenbroeck G, Lauwers L, Mathijs E (2009) Sustainable value assessment of farms using frontier efficiency benchmarks. J Environ Manag 90(10):3057–3069

    Article  Google Scholar 

  • Vlontzos G, Niavis S, Manos B (2014) A DEA approach for estimating the agricultural energy and environmental efficiency of EU countries. Renew Sust Energy Rev 40:91–96

    Article  Google Scholar 

  • Vlontzos G, Niavis S, Pardalos P (2017) Testing for environmental Kuznets curve in the EU agricultural sector through an Eco-(in)efficiency index. Energies 10(12):1–15

    Article  Google Scholar 

  • Wasserstein RL, Lazar NA (2016) The ASA’s statement on p-values: context, process, and purpose. Amer Stat 70(2):129–133

    Article  Google Scholar 

  • Xiao Y, Wu X-Z, Wang L, Liang J (2017) Optimal farmland conversion in China under double restraints of economic growth and resource protection. J Clean Prod 142:524–537

    Article  Google Scholar 

  • Xu X, Jeffrey SR (1998) Efficiency and technical progress in traditional and modern agriculture: evidence from rice production in China. Agric Econ 18:157–165

    CAS  Article  Google Scholar 

  • Zamanian GHR, Shahabinejad V, Yaghoubi M (2013) Application of DEA and SFA on the measurement of agricultural technical efficiency in MENA1 Countries. Int J Appl Operat Res 3:43–51

    Google Scholar 

  • Zelenyuk V, Zheka V (2006) Corporate governance and Firm’s efficiency: the case of a transitional country, Ukraine. J Product Anal 25(1):143–157

    Article  Google Scholar 

  • Zhao C, Chen B (2014) Driving force analysis of the agricultural water footprint in China based on the LMDI method. Environ Sci Technol 48(21):12723–12731

    CAS  Article  Google Scholar 

  • Zhou P, Ang BW, Poh KL (2006) Slacks-based efficiency measures for modelling environmental performance. Ecol Econ 60:111–118

    Article  Google Scholar 

  • Zhou P, Poh KL, Ang BW (2007) A non-radial DEA approach to measuring environmental performance. Eur J Operat Res 178:1–9

    Article  Google Scholar 

  • Zhu X, Demeter RM, Lansink AO (2012) Technical efficiency and productivity differentials of dairy farms in three EU countries: the role of CAP subsidies. Agric Econ Rev 13(1):66–92

    Google Scholar 

  • Zhu X, Lansink AO (2010) Impact of CAP subsidies on technical efficiency of crop farms in Germany, the Netherlands and Sweden. J Agric Econ 61(3):545–564

    Article  Google Scholar 

  • Zhu Z, Wang K, Zhang B (2014) A network data envelopment analysis model to quantify the eco-efficiency of products: a case study of pesticides. J Clean Prod 69:67–73

    Article  Google Scholar 

Download references

Acknowledgements

This work was supported in part by the Portuguese Foundation for Science and Technology (FCT—Fundação para a Ciência e a Tecnologia), through CIDMA—Center for Research and Development in Mathematics and Applications, within project UID/MAT/04106/2013 and by the Research Unit on Governance, Competitiveness and Public Policy—GOVCOPP (project POCI-01-0145-FEDER-008540), funded by FEDER funds through COMPETE2020—Programa Operacional Competitividade e Internacionalização (POCI), and by national funds through FCT—Fundação para a Ciência e a Tecnologia. We thank the comments received from the reviewers and the Editor of this article which helped us to improve this final version. Any remaining errors and shortcomings are our own responsibility.

Author information

Affiliations

Authors

Corresponding author

Correspondence to Mara Madaleno.

Additional information

Responsible editor: Philippe Garrigues

Appendix

Appendix

Table 3 DEA efficiency estimates for 27 European countries, by year
Table 4 SFA with GCE efficiency estimates for 27 European countries, by year
Table 5 DEA and SFA with GCE rankings for the sixth highest and lowest scores for the 27 European countries, by year
Table 6. Results of fixed effects and quantile regression estimates (DEA method)
Table 7. Specification and diagnosis tests

Rights and permissions

Reprints and Permissions

About this article

Verify currency and authenticity via CrossMark

Cite this article

Moutinho, V., Madaleno, M., Macedo, P. et al. Efficiency in the European agricultural sector: environment and resources. Environ Sci Pollut Res 25, 17927–17941 (2018). https://doi.org/10.1007/s11356-018-2041-z

Download citation

  • Received:

  • Accepted:

  • Published:

  • Issue Date:

  • DOI: https://doi.org/10.1007/s11356-018-2041-z

Keywords

  • Agriculture resources productivity
  • European subsidies
  • Common agricultural policy (CAP)
  • Data envelopment analysis (DEA)
  • Stochastic frontier analysis (SFA)
  • Generalized cross-entropy (GCE)