Abstract
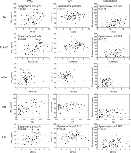
Understanding how urban form is related to air pollution is important to urban planning and sustainability, but the urban form-air pollution relationship is currently muddled by inconsistent findings. In this study, we investigated how the compositional and configurational attributes of urban form were related to different air pollution measures (PM2.5, API, and exceedance) in 83 Chinese cities, with explicit consideration of city size and seasonality. Ten landscape metrics were selected to quantify urban form attributes, and Spearman’s correlation was used to quantify the urban form-air pollution relationship. Our results show that the urban form and air pollution relationship was dominated by city size and moderated by seasonality. Specifically, urban air pollution levels increased consistently and substantially from small to medium, large, and megacities. The urban form-air pollution relationship depended greatly on seasonality and monsoons. That is, the relationship was more pronounced in spring and summer than fall and winter, as well as in cities affected by monsoons. Urban air pollution was correlated more strongly with landscape composition metrics than landscape configuration metrics which seemed to affect only PM2.5 concentrations. Our study suggests that, to understand how air pollution levels are related to urban form, city size and seasonality must be explicitly considered (or controlled). Also, in order to mitigate urban air pollution problems, regional urban planning is needed to curb the spatial extent of built-up areas, reduce the degree of urban fragmentation, and increase urban compactness and contiguity, especially for large and megacities.
This is a preview of subscription content, access via your institution.






References
Bechle MJ, Millet DB, Marshall JD (2011) Effects of income and urban form on urban NO2: global evidence from satellites. Environ Sci Technol 45:4914–4919. https://doi.org/10.1021/es103866b
Beijing Municipal Environmental Protection Bureau (BJEPB) (2014) Source analysis of PM2.5 in Beijing. http://www.bjepb.gov.cn/bjepb/323265/340674/396253/index.html
Bereitschaft B, Debbage K (2013) Urban form, air pollution, and CO2 emissions in large U.S. metropolitan areas. Prof Geogr 65:612–635. https://doi.org/10.1080/00330124.2013.799991
Borrego C, Martins H, Tchepel O, Salmim L, Monteiro A, Miranda AI (2006) How urban structure can affect city sustainability from an air quality perspective. Environ Model Softw 21:461–467. https://doi.org/10.1016/j.envsoft.2004.07.009
Burchfield M, Overman HG, Puga D, Turner MA (2006) Causes of sprawl: a portrait from space. Q J Econ 121:587–633 Retrieved from http://www.jstor.org/stable/25098801
Buyantuyev A, Wu J, Gries C (2010) Multiscale analysis of the urbanization pattern of the Phoenix metropolitan landscape of USA: time, space and thematic resolution. Landscape Urban Plan 94:206–217. https://doi.org/10.1016/j.landurbplan.2009.10.005
Cárdenas Rodríguez M, Dupont-Courtade L, Oueslati W (2016) Air pollution and urban structure linkages: evidence from European cities. Renew Sust Energ Rev 53:1–9. https://doi.org/10.1016/j.rser.2015.07.190
Chen J, Zhu L, Fan P, Tian L, Lafortezza R (2016) Do green spaces affect the spatiotemporal changes of PM2.5 in Nanjing? Ecol Process 5:1–13. https://doi.org/10.1186/s13717-016-0052-6
The State Council of People's Republic of China (2014) Notice on adjusting the standard of city size (in Chinese)
Cho H-S, Choi M (2014) Effects of compact urban development on air pollution: empirical evidence from Korea. Sustainability 6:5968–5982. https://doi.org/10.3390/su6095968
Elminir HK (2005) Dependence of urban air pollutants on meteorology. Sci Total Environ 350:225–237. https://doi.org/10.1016/j.scitotenv.2005.01.043
Ewing R (1997) Is Los Angeles-style sprawl desirable? J Am Plan Assoc 63:107–126. https://doi.org/10.1080/01944369708975728
Ewing R, Schieber RA, Zegeer CV (2003) Urban sprawl as a risk factor in motor vehicle occupant and pedestrian fatalities. Am J Public Health 93:1541–1545. https://doi.org/10.2105/AJPH.93.9.1541
Fan DP, Bengston DN, Potts RS, Goetz EG (2005) The rise and fall of concern about urban sprawl in the United States: an updated analysis. In: Bengston DN, tech. (ed) policies for managing urban growth and landscape change: a key to conservation in the 21st century, vol gen. Tech. Rep. NC-265. U.S. Department of Agriculture, Forest Service, north central Research Station, St. Paul, MN, pp 1–7
Fang X, Zou B, Liu X, Sternberg T, Zhai L (2016) Satellite-based ground PM2.5 estimation using timely structure adaptive modeling. Remote Sens Environ 186:152–163. https://doi.org/10.1016/j.rse.2016.08.027
Feng H, Zou B, Tang Y (2017) Scale- and region-dependence in landscape-PM2.5 correlation: implications for urban planning. Remote Sens 9:918. https://doi.org/10.3390/rs9090918
Forman RT, Wu J (2016) Where to put the next billion people. Nature 537:608–611. https://doi.org/10.1038/537608a
Gaigné C, Riou S, Thisse J-F (2012) Are compact cities environmentally friendly? J Urban Econ 72:123–136. https://doi.org/10.1016/j.jue.2012.04.001
Galster G, Hanson R, Ratcliffe MR, Wolman H, Coleman S, Freihage J (2001) Wrestling sprawl to the ground: defining and measuring an elusive concept. Hous Policy Debate 12:681–717. https://doi.org/10.1080/10511482.2001.9521426
Georgescu M (2014) Challenges associated with adaptation to future urban expansion. J Clim 28:2544–2563. https://doi.org/10.1175/JCLI-D-14-00290.1
Han L, Zhou W, Li W, Li L (2014) Impact of urbanization level on urban air quality: a case of fine particles (PM2.5) in Chinese cities. Environ Pollut 194:163–170. https://doi.org/10.1016/j.envpol.2014.07.022
He Q, Huang B (2018) Satellite-based high-resolution PM2.5 estimation over the Beijing-Tianjin-Hebei region of China using an improved geographically and temporally weighted regression model Environ Pollut (Accepeted) doi:https://doi.org/10.1016/j.envpol.2018.01.053
Hess P, Kinnison D, Tang Q (2015) Ensemble simulations of the role of the stratosphere in the attribution of northern extratropical tropospheric ozone variability. Atmos Chem Phys 15:2341–2365. https://doi.org/10.5194/acp-15-2341-2015
Hien PD, Loc PD, Dao NV (2011) Air pollution episodes associated with East Asian winter monsoons. Sci Total Environ 409:5063–5068. https://doi.org/10.1016/j.scitotenv.2011.08.049
Hu Y, Zhou Z (2009) Climatic characteristics of haze in China Meteorological Monthly (in Chinese) 35:73–78. https://doi.org/10.3969/j.issn.1000-0526.2009.07.011
Huang G (2015) PM2.5 opened a door to public participation addressing environmental challenges in China. Environ Pollut 197:313–315. https://doi.org/10.1016/j.envpol.2014.12.001
Huang R et al (2014) High secondary aerosol contribution to particulate pollution during haze events in China. Nature 514:218–222. https://doi.org/10.1038/nature13774
Irwin EG, Bockstael NE (2007) The evolution of urban sprawl: evidence of spatial heterogeneity and increasing land fragmentation. P Natl Acad Sci USA 104:20672–20677. https://doi.org/10.1073/pnas.0705527105
Jaeger JAG, Schwick C (2014) Improving the measurement of urban sprawl: weighted urban proliferation (WUP) and its application to Switzerland. Ecol Indic 38:294–308. https://doi.org/10.1016/j.ecolind.2013.11.022
Jiang N, Dirks KN, Luo KH (2014) Effects of local, synoptic and large-scale climate conditions on daily nitrogen dioxide concentrations in Auckland, New Zealand. Int J Climatol 34:1883–1897. https://doi.org/10.1002/joc.3808
Jiang J, Jiang D, Lin Y (2015) Monsoon area and precipitation over China for 1961–2009. Chin J Atmos Sci (in Chinese) 39:722–730. https://doi.org/10.3878/j.issn.1006-9895.1410.14195
Li C, Li J, Wu J (2013a) Quantifying the speed, growth modes, and landscape pattern changes of urbanization: a hierarchical patch dynamics approach. Landsc Ecol 28:1875–1888. https://doi.org/10.1007/s10980-013-9933-6
Li J, Li C, Zhu F, Song C, Wu J (2013b) Spatiotemporal pattern of urbanization in Shanghai, China between 1989 and 2005. Landsc Ecol 28:1545–1565. https://doi.org/10.1007/s10980-013-9901-1
Liu Z, He C, Zhou Y, Wu J (2014) How much of the world’s land has been urbanized, really? A hierarchical framework for avoiding confusion. Landsc Ecol 29:763–771. https://doi.org/10.1007/s10980-014-0034-y
Liu Y, Wu J, Yu D (2017) Characterizing spatiotemporal patterns of air pollution in China: a multiscale landscape approach. Ecol Indic 76:344–356. https://doi.org/10.1016/j.ecolind.2017.01.027
Lu C, Liu Y (2015) Effects of China’s urban form on urban air quality. Urban Stud 53:2607–2623. https://doi.org/10.1177/0042098015594080
Luck M, Wu J (2002) A gradient analysis of urban landscape pattern: a case study from the Phoenix metropolitan region, Arizona, USA. Landscape Ecol 17:327–339. https://doi.org/10.1023/a:1020512723753
Lue Y et al (2010) Characteristics and provenance of dustfall during an unusual floating dust event. Atmos Environ 44:3477–3484. https://doi.org/10.1016/j.atmosenv.2010.06.027
Luo J, Du P, Samat A, Xia J, Che M, Xue Z (2017) Spatiotemporal pattern of PM2.5 concentrations in mainland China and analysis of its influencing factors using geographically weighted regression. Sci Rep 7:40607. https://doi.org/10.1038/srep40607
Ma Q, Wu J, He C (2016a) A hierarchical analysis of the relationship between urban impervious surfaces and land surface temperatures: spatial scale dependence, temporal variations, and bioclimatic modulation. Landsc Ecol 31:1139–1153. https://doi.org/10.1007/s10980-016-0356-z
Ma Z, Hu X, Sayer AM, Levy R, Zhang Q, Xue Y, Tong S, Bi J, Huang L, Liu Y (2016b) Satellite-Based Spatiotemporal Trends in PM2.5 Concentrations: China, 2004–2013. Environ Health Persp 124:184–192. https://doi.org/10.1289/ehp.1409481
Mansfield TJ, Rodriguez DA, Huegy J, MacDonald Gibson J (2015) The effects of urban form on ambient air pollution and public health risk: a case study in Raleigh, North Carolina. Risk Anal 35:901–918. https://doi.org/10.1111/risa.12317
Martins H (2012) Urban compaction or dispersion? An air quality modelling study. Atmos Environ 54:60–72. https://doi.org/10.1016/j.atmosenv.2012.02.075
McGarigal K, Cushman SA, Ene E (2012) FRAGSTATS v4: spatial pattern analysis program for categorical and continuous maps. In. Computer software program produced by the authors at the University of Massachusetts, Amherst,
Ministry of Environmental Protection of the People’s Republic of China (MEP) (1996) Ambient air pollution standard vol GB3095–1996. China Environmental Science Press, Beijing
Ministry of Environmental Protection of the People’s Republic of China (MEP) (2012) Technical regulation on ambient air quality index (on trial). China Environmental Science Press, Beijing
Ministry of Environmental Protection of the People's Republic of China (MEP) (2017) Analysis report on the state of the environment in China, 2017. In: Beijing
Pardyjak ER, Fernando H, Hunt JS, JCRG AJ (2009) A case study of the development of nocturnal slope flows in a wide open valley and associated air quality implications. Meteo Z 18:85–100. https://doi.org/10.1127/0941-2948/2009/362
Peng J, Chen S, Lü H, Liu Y, Wu J (2016) Spatiotemporal patterns of remotely sensed PM2.5 concentration in China from 1999 to 2011. Remote Sens Environ 174:109–121. https://doi.org/10.1016/j.rse.2015.12.008
Pope R, Wu J (2014) Characterizing air pollution patterns on multiple time scales in urban areas: a landscape ecological approach. Urban Ecosyst 17:855–874. https://doi.org/10.1007/s11252-014-0357-0
Shao M, Tang X, Zhang Y, Li W (2006) City clusters in China: air and surface water pollution. Front Ecol Environ 4:353–361. https://doi.org/10.1890/1540-9295(2006)004[0353:ccicaa]2.0.co;2
Shi T, Liu Y, Zhang L, Hao L, Gao Z (2014) Burning in agricultural landscapes: an emerging natural and human issue in China. Landsc Ecol 29:1785–1798. https://doi.org/10.1007/s10980-014-0060-9
Song Y, Knaap G-J (2004) Measuring urban form: is Portland winning the war on sprawl? J Am Plan Assoc 70:210–225. https://doi.org/10.1080/01944360408976371
Song C, Wu L, Xie Y, He J, Chen X, Wang T, Lin Y, Jin T, Wang A, Liu Y, Dai Q, Liu B, Wang YN, Mao H (2017) Air pollution in China: status and spatiotemporal variations. Environ Pollut 227:334–347. https://doi.org/10.1016/j.envpol.2017.04.075
Stone B (2008) Urban sprawl and air quality in large US cities. J Environ Manag 86:688–698. https://doi.org/10.1016/j.jenvman.2006.12.034
Sung CY, Yi Y-j, Li M-H (2013) Impervious surface regulation and urban sprawl as its unintended consequence. Land Use Policy 32:317–323. https://doi.org/10.1016/j.landusepol.2012.10.001
Sutton PC (2003) A scale-adjusted measure of “urban sprawl” using nighttime satellite imagery. Remote Sens Environ 86:353–369. https://doi.org/10.1016/S0034-4257(03)00078-6
Tsai Y-H (2005) Quantifying urban form: compactness versus ‘sprawl’. Urban Stud 42:141–161. https://doi.org/10.1080/0042098042000309748
van Donkelaar A, Martin RV, Park RJ (2006) Estimating ground-level PM2.5using aerosol optical depth determined from satellite remote sensing. J Geogr Sci Atmo 111:D21201. https://doi.org/10.1029/2005jd006996
van Donkelaar A, Martin RV, Brauer M, Kahn R, Levy R, Verduzco C, Villeneuve PJ (2010) Global estimates of ambient fine particulate matter concentrations from satellite-based aerosol optical depth: development and application Environ Health Persp 118:847–855 doi:https://doi.org/10.1289/ehp.090l62
van Donkelaar A, Martin RV, Brauer M, Boys BL (2015) Use of Satellite Observations for Long-Term Exposure Assessment of Global Concentrations of Fine Particulate Matter. Environ Health Persp 123:135–143. https://doi.org/10.1289/ehp.1408646
Wang L, Xu J, Yang J, Zhao X, Wei W, Cheng D, Pan X, Su J (2012) Understanding haze pollution over the southern Hebei area of China using the CMAQ model. Atmos Environ 56:69–79. https://doi.org/10.1016/j.atmosenv.2012.04.013
Weber N, Haase D, Franck U (2014) Assessing modelled outdoor traffic-induced noise and air pollution around urban structures using the concept of landscape metrics. Landscape Urban Plan 125:105–116. https://doi.org/10.1016/j.landurbplan.2014.02.018
Wu J, Jenerette GD, Buyantuyev A, Redman CL (2011) Quantifying spatiotemporal patterns of urbanization: the case of the two fastest growing metropolitan regions in the United States Ecol Complex 8:1–8 doi:https://doi.org/10.1016/j.ecocom.2010.03.002
Wu J, Xiang W, Zhao J (2014) Urban ecology in China: historical developments and future directions. Landscape Urban Plan 125:222–233. https://doi.org/10.1016/j.landurbplan.2014.02.010
Wu J, Xie W, Li W, Li J (2015) Effects of urban landscape pattern on PM2.5 pollution—a Beijing case study. PLoS One 10:e0142449. https://doi.org/10.1371/journal.pone.0142449
Xiao L, Lang Y, Christakos G (2018) High-resolution spatiotemporal mapping of PM2.5 concentrations at mainland China using a combined BME-GWR technique. Atmos Environ 173:295–305. https://doi.org/10.1016/j.atmosenv.2017.10.062
Yuan Q, Yang L, Dong C, Yan C, Meng C, Sui X, Wang W (2014) Temporal variations, acidity, and transport patterns of PM2.5 ionic components at a background site in the Yellow River Delta, China. Air Qual Atmos Health 7:143–153. https://doi.org/10.1007/s11869-014-0236-0
Zhang R, Li Q, Zhang R (2014) Meteorological conditions for the persistent severe fog and haze event over eastern China in January 2013 Science China: Earth. Sciences 44:27–36. https://doi.org/10.1007/s11430-013-4774-3
Zhou DR, Ding A, Mao H, Fu C, Wang T, Chan LY, Ding K, Zhang Y, Liu J, Lu A, Hao N (2013) Impacts of the East Asian monsoon on lower tropospheric ozone over coastal South China. Environ Res Lett 8:575–592. https://doi.org/10.1088/1748-9326/8/4/044011
Zou B, Xu S, Sternberg T, Fang X (2016) Effect of land use and cover change on air quality in urban sprawl. Sustainability 8:677. https://doi.org/10.3390/su8070677
Acknowledgments
This research was supported by the Chinese Ministry of Science and Technology through the National Basic Research Program of China (2014CB954303, 2014CB954301). We thank the members of the Center for Human-Environment System Sustainability (CHESS) at Beijing Normal University for their suggestions on this study. The National Earth System Science Data Sharing Infrastructure, National Science & Technology Infrastructure of China (http://www.geodata.cn) is gratefully acknowledged for data sharing.
Author information
Authors and Affiliations
Corresponding authors
Additional information
Responsible editor: Philippe Garrigues
Electronic supplementary material
ESM 1
(DOCX 434 kb)
Rights and permissions
About this article
Cite this article
Liu, Y., Wu, J., Yu, D. et al. The relationship between urban form and air pollution depends on seasonality and city size. Environ Sci Pollut Res 25, 15554–15567 (2018). https://doi.org/10.1007/s11356-018-1743-6
Received:
Accepted:
Published:
Issue Date:
DOI: https://doi.org/10.1007/s11356-018-1743-6
Keywords
- PM2.5
- Air Pollution Index
- Exceedance
- Built-up area
- Urban sprawl
- Urban morphology