Skip to main content

Partitioning characteristic of chlorine ion in gas and solid phases in process of desulfurization wastewater evaporation: model development and calculation

Abstract

Since the promulgation of “Water Pollution Control Action Plan “ in China, zero liquid discharge of desulfurization wastewater has become a new trend of power plant water pollution control. Aiming at the application of desulfurization wastewater evaporation technology using high-temperature flue gas, simulation and experimental research on quantifying and predicting gas-solid partitioning of chlorine ion under different operation conditions are carried out in this paper. The gas-liquid equilibrium theory is applied to the complex mixed salt system; based on state equation, the semi-empirical model of gas-solid phase partitioning coefficient of chlorine ion is calculated, with high degree of fitting range from 180 to 380 °C. The essential effects of pH, Cl concentration, and total dissolved solids (TDS) on the gas-solid phase partitioning coefficient of chlorine ion are investigated. The study provides key data for the application of evaporation technology using high-temperature flue gas, obtaining the quantification and prediction of chlorine ion volatilization during desulfurization wastewater evaporation.

This is a preview of subscription content, access via your institution.

Fig. 1
Fig. 2
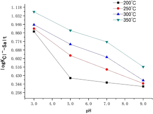
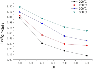
Fig. 3
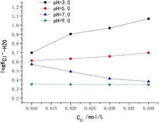
Fig. 4
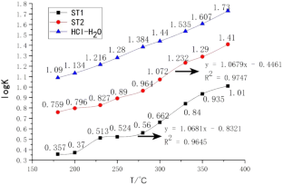
Fig. 5
Fig. 6
Fig. 7
Fig. 8
Fig. 9

Abbreviations

K :

Gas-liquid partitioning coefficient

m :

Cl concentration

γ :

Activity coefficient

T :

Temperature (K)

ρ :

Density (kg/m3)

f i :

Fugacity

Φ:

Fugacity coefficient

p :

Total pressure (P)

y :

Mole fraction of gas phase

V :

Total molar volume

Z :

Compression factor

n :

Mole amount

x :

Mole fraction of liquid phase

a :

Intermolecular gravitational correction

b :

Volume correction

D :

Article

vap :

Gas phase

liq :

Liquid phase

c :

Critical

w :

Water

m :

Gas (liquid) phase mixture

t :

Total

i :

Component

References

  • Bahadori A, Vuthaluru HB (2010) Prediction of silica carry-over and solubility in steam of boilers using simple correlation. Appl Therm Eng 30:250–253

    Article  CAS  Google Scholar 

  • Chao KC, Greenkorn RA (1975) Thermodynamics of fluids an introduction to equilibrium theory. Marcel Dekker Inc New York, New York

    Google Scholar 

  • Córdoba P (2015) Status of flue gas desulfurization (FGD) systems from coal-fired power plants: overview of the physic-chemical control processes of wet limestone FGDs. Fuel 144:274–286

    Article  CAS  Google Scholar 

  • Gordillo MD, Blanco MA, Pereyra C (2005) Thermodynamic modelling of supercritical fluid–solid phase equilibrium data. Comput Chem Eng 29:1885–1890

    Article  CAS  Google Scholar 

  • Gruszkiewicz MS, Arshall SL, Palmer DA (1999) The partitioning of acetic, formic, and phosphoric acids between liquid water and steam. Office of Scientific Technical Information Technical Reports. In: US

    Google Scholar 

  • Guszkiewicz MS, Joyce DB, Marshall SL (2000) The partitioning of acetate, Formate and phosphates around the water/steam cycle. Office of Scientific Technical Information Technical Reports. In: US

    Google Scholar 

  • Jemaa N, Paleologou M, Thompson R, Chloride removal from the Kraft recovery boiler ESP dust using the precipitator dust purification (PDP) system, Canada; 1999

    Google Scholar 

  • Kiil S, Nygaard H, Johnsson E (2002) J, simulation studies of the influence of HCl absorption on the performance of a wet flue gas desulfurization pilot plant. Chem Eng Sci 57:347–354

    Article  CAS  Google Scholar 

  • Lazzús JA, Rivera M (2013) Gas-solid phase equilibrium of biosubstances by two biological algorithms. Rev Mex Fis 59:577–583

    Google Scholar 

  • Liang B, Song C, Jia Q (2012) Study of the desulfurization process and gas-solid-liquid phase partitioning under the complex humidification conditions in dense tower, advances. Environ Prot 3:334–339

    Article  CAS  Google Scholar 

  • Liu CK (1981) Group-contribution methods in estimating liquid-liquid partitioning coefficents. Texas tech. University, Lubbock

    Google Scholar 

  • Ma SC, Yu W (2016) Properties of flue duct evaporation products by desulfurization wastewater in coal fired power plants. J Chin Soc Power Eng 36:894–900

    Google Scholar 

  • Ma SC, Chai J, Chen GD (2016) Research on FGD wastewater evaporation: present and future perspectives. Renew Sust Energ Rev 58:1143–1151

    Article  CAS  Google Scholar 

  • Meij R (1994) Trace element behavior in coal-fired power plants. Fuel Rev Technol 39:199–217

    Article  CAS  Google Scholar 

  • Meij R, Winkel BT (2004) The emissions and environmental impact of PM 10, and trace elements from a modern coal-fired power plant equipped with ESP and wet FGD. Fuel Process Technol 85:641–656

    Article  CAS  Google Scholar 

  • Ministry of environmental protection of China (2015) http://zfs.mep.gov.cn/fg/gwyw/201504/t20150416_299146.htm. Accessed 16 April 2015

  • Ministry of environmental protection of China (2016) http://www.mep.gov.cn/gkml/hbb/bgth/201610/W020161009327656386426.pdf. Accessed 30 Sept 2016

  • Nhu NV, Deiters UK (1996) Application of a generalized van der Waals equation of state to several nonpolar mixtures. Fluid Phase Equilib 118:53–174

    Google Scholar 

  • Otakar J (2000) ESAA Power Station Chemistry Conference, Effective cycle chemistry control. Rockhampton Queensland Australia

  • Reid RC, Prausnitz JM, Poling BE (1987) The properties of gases and liquids. McGraw-Hill New York, New York

    Google Scholar 

  • Schmidt G, Wenzel H (1980) A modified van der Waals type equation of state. Chem Eng Sci 35:1503–1512

    Article  CAS  Google Scholar 

  • Simonson JM, Donald AP (1993) Liquid-vapor partitioning of HCl(aq) to 350°C. Geochim Cosmochim Acta 57:1–7

    Article  CAS  Google Scholar 

  • Simonson JM, Donald AP (1998) Vapor-liquid partitioning of HCI in acidic NaCl brines at high temperatures. Geotherm Resour Counc Trans 22:20–23

    Google Scholar 

  • Smith JM (1987) Introduction to chemical engineering thermodynamics. McGraw-Hill New York, New York

    Google Scholar 

  • Storey JME, Luo W, Isabelle LM (1995) Gas/solid partitioning of Semivolatile organic compounds to model atmospheric solid surfaces as a function of relative humidity, environ. SciTechnol 29:2420–2428

    Article  CAS  Google Scholar 

  • Tsidilkovskii VI, Leonidov IA, Lakhtin AA (2010) High-temperature equilibrium between high-Tc, oxide and gas phase. Phys Status Solidi 163:231–240

    Article  Google Scholar 

  • US EPA (1984) Pilot plant tests of chlorine ion effects on wet FGD system performance, US

  • Vladana N, Rajaković O, Dragana Z, Grgur BN (2011) Improvement of chemical control in the water-steam cycle of thermal power plants. Appl Therm Eng 31:119–128

    Article  CAS  Google Scholar 

  • Waals VD (2001) Van der Waals equation of state. Mathematical modeling analysis. In: US

    Google Scholar 

  • Walas JM (1985) Phase equilibria in chemical engineering. Butterworth Publishers, Boston

    Google Scholar 

  • Zhou SQ, Alan T (2002) Steam turbine operating conditions, Chemistry of condensates, and environment assisted cracking – a critical review, NPL report MATC, US

Download references

Funding

Support was provided by the National Key R&D Program of China (2018YFB0604305) and Central University Foundation of North China Electric Power University (2017XS124).

Author information

Affiliations

Authors

Corresponding author

Correspondence to Shuangchen Ma.

Additional information

Publisher’s note

Springer Nature remains neutral with regard to jurisdictional claims in published maps and institutional affiliations.

Responsible editor: Marcus Schulz

Rights and permissions

Reprints and Permissions

About this article

Verify currency and authenticity via CrossMark

Cite this article

Ma, S., Chai, J., Chen, G. et al. Partitioning characteristic of chlorine ion in gas and solid phases in process of desulfurization wastewater evaporation: model development and calculation. Environ Sci Pollut Res 26, 8257–8265 (2019). https://doi.org/10.1007/s11356-018-04070-5

Download citation

  • Received:

  • Accepted:

  • Published:

  • Issue Date:

  • DOI: https://doi.org/10.1007/s11356-018-04070-5

Keywords

  • Desulfurization wastewater
  • High-temperature flue gas evaporation
  • Chlorine ion
  • Gas-solid phase partitioning model