Skip to main content

Preparation of modified waterworks sludge particles as adsorbent to enhance coagulation of slightly polluted source water

Abstract

Without treatment, waterworks sludge is ineffective as an adsorbent. In this study, raw waterworks sludge was used as the raw material to prepare modified sludge particles through high-temperature calcination and alkali modification. The feasibility of using a combination of modified particles and polyaluminum chloride (PAC) as a coagulant for treatment of slightly polluted source water was also investigated. The composition, structure, and surface properties of the modified particles were characterized, and their capabilities for removing ammonia nitrogen and turbidity were determined. The results indicate that the optimal preparation conditions for the modified sludge particles were achieved by preparing the particles with a roasting temperature of 483.12 °C, a roasting time of 3.32 h, and a lye concentration of 3.75%. Furthermore, enhanced coagulation is strengthened with the addition of modified sludge particles, which is reflected by reduction of the required PAC dose and enhancement of the removal efficiency of ammonia nitrogen and turbidity by over 80 and 93%, respectively. Additional factors such as pH, temperature, dose, and dosing sequence were also evaluated. The optimum doses of modified particles and PAC were 40 and 15 mg/L, respectively, and adding modified particles at the same time as or prior to adding PAC improves removal efficiency.

This is a preview of subscription content, access via your institution.

Fig. 1
Fig. 2
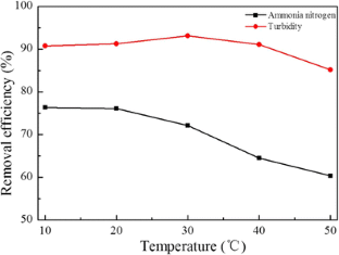
Fig. 3
Fig. 4
Fig. 5
Fig. 6
Fig. 7
Fig. 8
Fig. 9

References

  • Alshameri A, Ibrahim A, Assabri AM, Lei X, Wang H, Yan C (2014) The investigation into the ammonium removal performance of Yemeni natural zeolite: modification, ion exchange mechanism, and thermodynamics. Powder Technol 258:20–31

    CAS  Article  Google Scholar 

  • Anonymous (1998) Bulletin of China environmental status in 1997 [J]. Environ Prot 7:3–8

  • Babatunde AO, Zhao YQ (2007) Constructive approaches toward water treatment works sludge management: an international review of beneficial reuses. Crit Rev Env Sci Tec 37:129–164

    CAS  Article  Google Scholar 

  • Carlson K, Via S, Bellamy B, Carlson M (2000) Secondary effects of enhanced coagulation and softening. J Am Water Works Ass 92:63–75

    CAS  Google Scholar 

  • Cheng A, Huang K (2011) Study on adsorption properties of Cr(VI) on waterworks sludge. Chin J Environ Eng 5:917–920

    CAS  Google Scholar 

  • Dong B, Liu X, Dai L, Dai X (2013) Changes of heavy metal speciation during high-solid anaerobic digestion of sewage sludge. Bioresour Technol 131:152–158

    CAS  Article  Google Scholar 

  • Feng Y, Zhang Y, Quan X, Chen S (2014) Enhanced anaerobic digestion of waste activated sludge digestion by the addition of zero valent iron. Water Res 52:242–250

    CAS  Article  Google Scholar 

  • Ford DL, Churchwell RL, Kachtick JW (1980) Comprehensive analysis of nitrification of chemical processing wastewaters. Journal-Water Pollut Control Fed 52:2726–2746

    CAS  Google Scholar 

  • Guan XH, Chen GH, Shang C (2005) Re-use of water treatment works sludge to enhance particulate pollutant removal from sewage. Water Res 39:3433–3440

    CAS  Article  Google Scholar 

  • Hale RC, La Guardia MJ, Harvey E, Chen D, Mainor TM, Luellen DR, Hundal LS (2012) Polybrominated diphenyl ethers in U.S. sewage sludges and biosolids: temporal and geographical trends and uptake by corn following land application. Environ Sci Technol 46:2055–2063

    CAS  Article  Google Scholar 

  • Hovsepyan A, Bonzongo JJ (2009) Aluminum drinking water treatment residuals (Al-WTRs) as sorbent for mercury: implications for soil remediation. J Hazard Mater 164:73–80

    CAS  Article  Google Scholar 

  • Huang K, Du BX (2013) The research on preparation methods of sludge-based adsorbent and its application in water treatment. Adv Mater Res 798-799:1166–1169

    Article  Google Scholar 

  • Irawan C, Liu JC, Wu C (2011) Removal of boron using aluminum-based water treatment residuals (Al-WTRs). Desalination 276:322–327

    CAS  Article  Google Scholar 

  • Jaafar AR, Isa MH, Kutty SRM (2008): Adsorption of zinc, cadmium and nickel from aqueous solutions using ground water sludge (GWS). In: Rico DP, Brebbia CA, Esteve YV (Rico DP, Brebbia CA, Esteve YV)^(Rico DP, Brebbia CA, Esteve YVs)|,*WIT Transactions on Ecology and the Environment, pp. 247–253

  • Jacangelo JG, Demarco J, Owen DM, Randtke SJ (1995) Selected processes for removing NOM: on overview. J Am Water Works Assoc 87:64–77

    CAS  Google Scholar 

  • Jha VK, Hayashi S (2009) Modification on natural clinoptilolite zeolite for its NH4+ retention capacity. J Hazard Mater 169:29–35

    CAS  Article  Google Scholar 

  • Kim JG, Kim JH, Moon HS, Chon CM, Ahn JS (2002) Removal capacity of water plant alum sludge for phosphorus in aqueous solutions. Chem Spec Bioavailab 14:67–73

    Article  Google Scholar 

  • Leader JW, Dunne EJ, Reddy KR (2008) Phosphorus sorbing materials: sorption dynamics and physicochemical characteristics. J Environ Qual 37:174–181

    CAS  Article  Google Scholar 

  • Lei C, QIN (2012): Research of enhanced coagulation to remove natural organic matter from micro-polluted raw water. Sci Technol Inf

  • Li JW, Li X, Xu XH, Wang DB (2011) Ultrasound enhanced coagulation to remove organic matter in low temperature and low turbidity studies. Adv Mater Res 356-360:291–297

    Article  Google Scholar 

  • Li Z, Jiang N, Wu F, Zhou Z (2013) Experimental investigation of phosphorus adsorption capacity of the waterworks sludges from five cities in China. Ecol Eng 53:165–172

    Article  Google Scholar 

  • Mezni M, Hamzaoui A, Hamdi N, Srasra E (2011) Synthesis of zeolites from the low-grade Tunisian natural illite by two different methods. Appl Clay Sci 52:209–218

    CAS  Article  Google Scholar 

  • Moghaddam SS, Moghaddam MRA, Arami M (2011) Response surface optimization of acid red 119 dye from simulated wastewater using Al based waterworks sludge and polyaluminium chloride as coagulant. J Environ Manag 92:1284–1291

    Article  Google Scholar 

  • Narayan S, Goel S (2011) Enhanced coagulation for turbidity and total organic carbon (TOC) removal from river Kansawati water. J Environ Sci Eng 53:39

    CAS  Google Scholar 

  • Ramirez A, Sierra L, Mesa M, Restrepo J (2005) Simulation of nitrogen adsorption-desorption isotherms. Hysteresis as an effect of pore connectivity. Chem Eng Sci 60:4702–4708

    CAS  Article  Google Scholar 

  • Sing K (2001) The use of nitrogen adsorption for the characterisation of porous materials. Colloid Surface A 187:3–9

    Article  Google Scholar 

  • Siswoyo E, Mihara Y, Tanaka S (2014) Determination of key components and adsorption capacity of a low cost adsorbent based on sludge of drinking water treatment plant to adsorb cadmium ion in water. Appl Clay Sci 97-98:146–152

    CAS  Article  Google Scholar 

  • Vik EA (1988): Coagulation process for removal of humic substances from drinking water. Aquatic Humic Substances

  • Vinitnantharat S, Kositchaiyong S, Chiarakorn S (2010) Removal of fluoride in aqueous solution by adsorption on acid activated water treatment sludge. Appl Surf Sci 256:5458–5462

    CAS  Article  Google Scholar 

  • Wang B, Goodpaster AM, Kennedy MA (2013) Coefficient of variation, signal-to-noise ratio, and effects of normalization in validation of biomarkers from NMR-based metabonomics studies. Chemometr Intell Lab 128:9–16

    CAS  Article  Google Scholar 

  • Wang B, Wang Y, Wang W (2014): Retention and mitigation of metals in sediment, soil, water, and plant of a newly constructed root-channel wetland (China) from slightly polluted source water. SPRINGERPLUS 3

  • Widiastuti N, Wu H, Ang HM, Zhang D (2011) Removal of ammonium from greywater using natural zeolite. Desalination 277:15–23

    CAS  Article  Google Scholar 

  • Xiao F, Huang JH, Zhang B, Cui C (2009) Effects of low temperature on coagulation kinetics and floc surface morphology using alum. Desalination 237:201–213

    CAS  Article  Google Scholar 

  • Yang Y, Zhao YQ, Babatunde AQ, Wang L, Ren YX, Han Y (2006) Characteristics and mechanisms of phosphate adsorption on dewatered alum sludge. Sep Purif Technol 51:193–200

    CAS  Article  Google Scholar 

  • Yang X, Zhang X, Wang J, Zhao G, Wang B (2014a) Performance of the subsurface flow constructed wetlands for pretreatment of slightly polluted source water. Ecotoxicology 23:699–706

    CAS  Article  Google Scholar 

  • Yang L, Wei J, Zhang Y, Wang J, Wang D (2014b) Reuse of acid coagulant-recovered drinking waterworks sludge residual to remove phosphorus from wastewater. Appl Surf Sci 305:337–346

    CAS  Article  Google Scholar 

  • Yang L, Wei J, Liu Z, Wang J, Wang D (2015a) Material prepared from drinking waterworks sludge as adsorbent for ammonium removal from wastewater. Appl Surf Sci 330:228–236

    CAS  Article  Google Scholar 

  • Yang G, Zhang G, Wang H (2015b) Current state of sludge production, management, treatment and disposal in China. Water Res 78:60–73

    Article  Google Scholar 

  • Zhang Q, Sun F, Dong W, Zhang G, Han R (2015) Micro-polluted surface water treatment and trace-organics removal pathway in a PAC-MBR system. Process Biochem 50:1422–1428

    CAS  Article  Google Scholar 

Download references

Acknowledgements

This study was supported by the National Natural Science Foundation of China (No. 51308185), the Central University business expenses (No. 2013B32314), a project funded by the Priority Academic Program Development of Jiangsu Higher Education Institutions (PAPD), National major water projects (No. 2014ZX07405002) and the 111 Project under Grant Number B17015.

Author information

Affiliations

Authors

Corresponding author

Correspondence to Hang Xu.

Additional information

Responsible editor: Philippe Garrigues

Electronic supplementary material

Supplementary Fig. S1

(DOCX 405 kb).

Rights and permissions

Reprints and Permissions

About this article

Verify currency and authenticity via CrossMark

Cite this article

Chen, W., Gao, X., Xu, H. et al. Preparation of modified waterworks sludge particles as adsorbent to enhance coagulation of slightly polluted source water. Environ Sci Pollut Res 24, 19393–19401 (2017). https://doi.org/10.1007/s11356-017-9563-7

Download citation

  • Received:

  • Accepted:

  • Published:

  • Issue Date:

  • DOI: https://doi.org/10.1007/s11356-017-9563-7

Keywords

  • Modified waterworks sludge particles
  • Enhanced coagulation
  • Ion exchange
  • Ammonia nitrogen
  • High-temperature calcination
  • Alkali modification