Skip to main content

Antimicrobial activity of aqueous extracts from four plants on bacterial isolates from periodontitis patients

Abstract

Four aqueous extracts of different plant organs are the following: Artemisia herba-alba, Opuntia ficus-indica, Camellia sinensis and Phlomis crinita were evaluated against two bacterial strains: Porphyromonas gingivalis and Prevotella intermedia, which are implicated in periodontal diseases. By using a disc method, these plant extracts demonstrated powerful bacterial activity against these Gram-negative strains. The minimum inhibitory concentration values of the four plant extracts varied between 0.03 and 590.82 mg/ml for the microbes. Another assay using commercial antibiotics and antibacterials as positive controls was also conducted. Values obtained after statistical analysis of inhibition diameters of all plant extracts demonstrated that for P. gingivalis, the aqueous extracts of A. herba-alba and O. ficus-indica were most effective, followed by those of C. sinensis and P. crinita. For P. intermedia, aqueous extracts of O. ficus-indica and C. sinensis appeared to be more efficient with significantly different (P > 0.05) inhibition diameters, followed by those of O. ficus-indica and P. crinita. In summary, the statistical results reveal that these plant extracts exert stronger antibacterial activity on P. intermedia germ as compared to P. gingivalis.

This is a preview of subscription content, access via your institution.

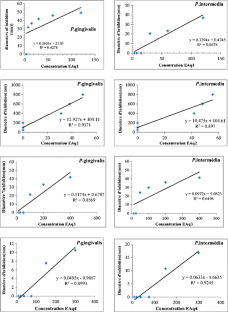
Fig. 1
Fig. 2

References

  • Alimi H, Hfaeidh N, Bouoni Z, Sakly M, Ben Rhouma K (2013) Ameliorative effect of Opuntia ficus indica juice on ethanol-induced oxidative stress in rat erythrocytes. Experimental Toxicol Pathol 65:391–396

    CAS  Article  Google Scholar 

  • Anagnostou F, Itri Jazouli L, Cohen N, Azogui-Lévy S (2011) Maladies parodontales et état de santé général. EMC (Elsevier Masson SAS, Paris), traité de médecine Akos. 7–1104.

  • Araghizadeh A, Kohanteb J, Fani MM (2013) Inhibitory activity of green tea (Camellia sinensis) extract on some clinically isolated cariogenic and periodontopathic bacteria. Med Princ Pract 22:368–372

    Article  Google Scholar 

  • Athamena S, Chalghem I, Kassah-Laouar A, Laroui S, et Khebri S (2010) Activite anti-oxydante et antimicrobienne d’extraits de Cuminum cyminum L. Lebanese Sci J 11:69–81.

    CAS  Google Scholar 

  • Bansal S, Choudhary S, Sharma M, Kumar SS, Lohan S, Bhardwaj V, Syan N, Jyoti S (2013) Tea: a native source of antimicrobial agents. Food Res Int 53:568–584

    CAS  Article  Google Scholar 

  • Bargougui A, Champy P, Triki S, Bories C, Le Pape P, Loiseau PM (2014) Antileishmanial activity of Opuntia ficus-indica fractions. Biomedicine Prevent Nutr 4:101–104

    Article  Google Scholar 

  • Basli A, Chibane M, Madani K, Oukil N (2012) Activité antibactérienne des polyphénols extraits d’une plante médicinale de la flore d’Algérie: Origanum glandulosum Desf. Phytothérapie 10:2–9

    Article  Google Scholar 

  • Beck JD, Offenbacher S (1998) Oral health and systemic disease : periodontitis and cardiovascular disease. J Dent Educ 62:859–870

    CAS  Google Scholar 

  • Beck J, Garcia R, Heiss G, Vokanas PS, Offenbacher S (1996) Periodontal disease and cardiovascular disease. J Periodontol 67:1123–1137

    CAS  Article  Google Scholar 

  • Ben-Amor IL, Boubaker J, Ben Sgaier M, Skandrani I, Bhouri W, Neffati A, Kilani S, Bouhlel I, Ghedira K, Chekir-Ghedira L (2009) Phytochemistry and biological activities of Phlomis species. J Ethnopharmacol 125:183–202

    Article  Google Scholar 

  • Betatache H, Aouabed A, Drouiche N, Lounici H (2014) Conditioning of sewage sludge by prickly pear cactus (Opuntia ficus Indica) juice. Ecological Eng 70:465–469

    Article  Google Scholar 

  • Boizot N, Charpentier JP (2006) Méthode rapide d’évaluation du contenu en composés phénoliques des organes d’un arbre forestier. Le Cahier des Techniques de l’Inra Numéro spécial:79–82

  • Bora KS, Sharma A (2011) Evaluation of antioxidant and free radical scavenging potential of Artemisia absinthium. Pharm Biol 49:1216–1223

    Article  Google Scholar 

  • Boukef MK, (1986) Les plantes dans la médecine traditionnelle tunisienne. Ed. Agence de Cooperation Culturelle et Technique. 92: 9028–085-9.

  • Bouterfas K, Mehdadi Z, Latreche A, Aouad L (2014) Pouvoir antimicrobien des flavonoïdes extraits des feuilles de Marrubium vulgare L. en provenance du mont de Tessala (Algérie occidental). Phytothérapie 12:6–14

    CAS  Article  Google Scholar 

  • Celiktas OY, Kocabas EEH, Bedir E, Vardar Sukan F, Ozek T, Baser KHC (2007) Antimicrobial activities of methanol extracts and essential oils of Rosmarinus officinalis, depending on location and seasonal variations. Food Chem 100:553–559

    CAS  Article  Google Scholar 

  • Chardin H, Barsotti O, Bonnaure-Mallet M (2006) Microbiologie odonto-stomatologie. Maloine, Paris, pp 256–259

    Google Scholar 

  • Cicco N, Lanorte MT, Paraggio M, Viggiano M, Lattanzio V (2009) A reproductible, rapid and inexpensive Folin-Ciocalteu micro-method in determining phenolics of plant methanol extracts. Microchem J 91:107–110

    CAS  Article  Google Scholar 

  • Cooper R, Morré DJ, Morré DM (2005) Medicinal benefits of green tea: part I. Review of noncancer health benefits. J Altern Complement Med 11:3521–3528

    Google Scholar 

  • Dashiff A, Kadouri DE (2011) Predation of oral pathogens by Bdellovibrio bacteriovorus 109J. Mol Oral Microbiol 26:19–34

    CAS  Article  Google Scholar 

  • Derbel S, Ghedira K (2005) Les phytonutriments et leur impact sur la santé. Phytothérapie 1:28–34

    Article  Google Scholar 

  • Djeridane A, Yousfi M, Nadjemi B, Boutassouna D, Stocker P, Vidal N (2006) Antioxidant activity of some Algerian medicinal plants extracts containing phenolic compounds. Food Chem 97:654–660

    CAS  Article  Google Scholar 

  • El-Negoumy SI, Abdalla MF, Saleh NAM (1986) Flavonoids of Phlomis aurea and P. floccosa. Phytochemistry 25:772–774

    CAS  Article  Google Scholar 

  • Fani M, Kohanteb J (2012) Inhibitory activity of Aloe vera gel on some clinically isolated cariogenic and periodontopathic bacteria. J Oral Sci 54:15–21

    Article  Google Scholar 

  • Fedala N, Lounici H, Drouiche N, Mameri N, Drouiche M (2015) Physical parameters affecting coagulation of turbid water woth Opuntia ficus-indica cactus. Ecological Eng 77:33–36

    Article  Google Scholar 

  • Ferrazzano GF, Amato I, Ingenito A, Zarrelli A, Pinto G, Pollio A (2011) Plant polyphenols and their anti-cariogenic properties: a review. Molecules 16:1486–1507

    CAS  Article  Google Scholar 

  • Filoche S, Wong L, Sissons CH (2010) Oral biofilms: emerging concepts in microbial ecology. J Dent Res 89:8–18

    CAS  Article  Google Scholar 

  • Gibbons RJ (1984) Adherent interactions which may affect microbial ecology in the mouth. J Dent Res 63:378–385

    CAS  Article  Google Scholar 

  • Grenier D, Mayrand D (2000) Periodontitis as an ecological imbalance. In: Kuramitsu HK, Ellen RP (eds) Oral bacterial ecology: the molecular basis. Horizon Scientific Press, Wymondham, United Kingdom, pp 275–310

    Google Scholar 

  • Gultz J, Kaim JM, DeLeo J, Scherer W (1998) An in vivo comparison of antimicrobial activities of three mouthrinses. J Clin Dent 9:43–45

    CAS  Google Scholar 

  • Hirasawa M, Takada K, Otake S (2006) Inhibition of acid production in dental plaque bacteria by green tea catechins. Caries Res 40:265–270

    CAS  Article  Google Scholar 

  • Horz HP, Conrads G (2007). Diagnosis and anti-infective therapy of periodontitis. Expert Rev Anti infect Ther P-703-715.

  • Houle MA, Grenier D (2003) Maladies parodontales: connaissances actuelles. Current concepts in periodontal diseases. MédMaladies Infectieuses 33:331–340

    Article  Google Scholar 

  • Hussain J, Bukhari N, Hussain H, Bano N, Naeem A, Green IR (2010) Flavonoids and terpenoids from Phlomis cashmeriana and their chemotaxonomic significance. Rec Nat Prod 4:242–249

    CAS  Google Scholar 

  • Jhajharia K, Parolia A, Shetty KV, Mehta LK (2015) Biofilm in endodontics: a review. J Int Soc Prev Community Dent 5:1–12

    Article  Google Scholar 

  • Kabouche A, Kabouche Z, Seguin E, Tillequin F, Bruneau C (2004) Comparative phytochemical study of the butanolic extracts of two Algerian Phlomis species. Chem Natural Compounds 40:188–189

    CAS  Article  Google Scholar 

  • Khlifi D, Sghaier RM, Amouri S, Laouini D, Hamdi M, Bouajila J (2013) Composition and anti-oxidant, anti-cancer and anti-inflammatory activities of Artemisia herba-alba, Ruta chalpensis L. and Peganum harmala L. Food Cheml Toxicol 55:202–208

    CAS  Article  Google Scholar 

  • Kyriakopoulou I, Magiatis P, Skaltsounis AL, Aligianis N, Harvala C (2001) Samioside, a new phenylpropanoid glycoside with free radical scavenging and antimicrobial activities from Phlomis samia. J Natl Prod 64:1095–1097

    CAS  Article  Google Scholar 

  • Laouini S-E, Redha OM, Ladjel S (2016) Influence of solvent extraction on phenolic content, antioxidant and anti-inflammatory activities of aerial parts extract from Algerian Artemisia herba-alba. J Pharm Res 10:58–64

    Google Scholar 

  • Limem-Ben Amor I, Boubaker J, Ben Sgaier M, Skandrani I, Bhouri W, Neffati A, Kilani S, Bouhlel I, Ghedira K, Chekir-Ghedira L (2009) Phytochemistry and biological activities of Phlomis species. J Ethnopharmacol 125:183–202

    CAS  Article  Google Scholar 

  • Lolayekar N, Shanbhag C (2012) Polyphenols and oral health. RSBO 9(1):74–842012 Jan-Mar

    Google Scholar 

  • Loziene K, Venskutonis PR, Sipailiené A, Labokas J (2007) Radical scavenging and antibacterial properties of the extracts from different Thymus pulegioides L. chemotypes. Food Chem 103:546–559

    CAS  Article  Google Scholar 

  • Mak JC (2012) Potential role of green tea catechins in various disease therapies: progress and promise. Clin Ex Pharmacol Physiol 39:265–273

    CAS  Article  Google Scholar 

  • Mbata TI, Debiao LU, Saikia A (2008) Antibacterial activity of the crude extract of Chinese green tea (Camellia sinensis) on Listeria monocytogenes. African J Biotechnol 7:1571–1573

    Google Scholar 

  • Mc Kay DL, Blumberg JB (2002) The role of tea in human health: an update. J Am Coll Nutr 21:1–13

    CAS  Article  Google Scholar 

  • Mighri H, Hajlaoui H, Akrout A, Najjaa H, Neffati M (2010) Antimicrobial and antioxidant activities of Artemisia herba-alba essential oil cultivated in Tunisian arid zone. Comp Rendus Chimie 13:380–386

    CAS  Article  Google Scholar 

  • Mohamed AEH, El-Sayed MA, Hegazy ME, Helaly SE, Esmail AM, Mohamed NS (2010) Chemical constituents and biological activities of Artemisia herba-alba. Rec Nat Prod 4(1):1–25

    CAS  Google Scholar 

  • Moreira MR, Ponce AG, Del Valle CE, Roura SI (2005) Inhibitory parameters of essential oils to reduce a food borne pathogen. LWT Food Sci Technol 38:565–570

    CAS  Article  Google Scholar 

  • morteza-Semnani K, Azadbakht M, Goodarzi A (2004) The essential oils composition of P hlomis herba - venti L. leaves and flowers of Iranian origin. Flavour Fragrance J 19:29–31

  • Nagano K, Hasegawa Y, Yoshida Y, Yoshimura F (2015) A major fimbrilin variant of Mfa1 fimbriae in Porphyromonas gingivalis. J Dent Res 94:1143–1148

    CAS  Article  Google Scholar 

  • Natarajan D, Britto SJ, Srinivasan K, Nagamurugan N, Mohanasundari C, Perumal G (2005) Anti-bacterial activity of Euphorbia fusiformis: a rare medicinal herb. J Ethnopharmacol 102:123–126

    CAS  Article  Google Scholar 

  • Ncibi S, Ben Othman M, Akacha A, Krifi MN, Zourgui L (2008) Opuntia ficus indica extract protects against chlorpyrifos-induced damage on mice liver. Food Chem Toxicol 46:797–802

    CAS  Article  Google Scholar 

  • Palaska I, Papathanasiou E, Theoharides TC (2013) Use of polyphenols in periodontal inflammation. Eur J Pharmacol 720(1–3):77–83

    CAS  Article  Google Scholar 

  • Palmer, RJ Jr (2014) Composition and development of oral bacterial communities. Periodontol 2000 64(1):20–39

  • Pham-Huy LAN, He H, Pham-Huy C (2008a) Green tea and health: an overview. J Food Agricul Environ 6(6–1):3

    Google Scholar 

  • Pham-Huy LAN, He H, Pham-Huy C (2008b) Green tea and health: an overview. J Food, Agricul Environ 6:6–1 3

    CAS  Google Scholar 

  • Quezel P, Santa S (1963) Nouvelle flore de l’Algerie et des regions desertiques et meridionales. Tome II. Editions CNRS, Paris

    Google Scholar 

  • Sagdic O, Ozcan M (2003) Antibacterial activity of Turkish spice hydrosols. Food Control 14:141–143

    CAS  Article  Google Scholar 

  • Sakanaka S, Okada Y (2004) Inhibitory effects of green tea polyphenols on the production of a virulence factor of the periodontal-disease-causing anaerobic bacterium Porphyromonas gingivalis. J Agri Food Chem 52:1688–1692

    CAS  Article  Google Scholar 

  • Tamert A, Latreche A (2016) Antioxidant activity of extracts of six aromatic Lamiaceae of Western Algeria. Phytothérapie DOI. doi:10.1007/s10298-015-1016-1

    Google Scholar 

  • Tsai T-H, Tsai T-H, Chien Y-C, Lee C-W, Tsai P-J (2008) In vitro antimicrobial activities against cariogenic streptococci and their antioxidant capacities: a comparative study of green tea versus different herbs. Food Chem 110:859–864

    CAS  Article  Google Scholar 

  • Turkmen N, Sari F, Velioglu YS (2006) Effects of extraction solvents on concentration and antioxidant activity of black and black mate tea polyphenols determined by ferrous tartrate and Folin–Ciocalteu methods. Food Chem 99:835–841

    CAS  Article  Google Scholar 

  • Turkmen N, Velioglu YS, Sari F, Polat G (2007) Effect of extraction conditions on measured total polyphenol contents and antioxidant and antibacterial activities of black tea. Molecules 12:484–496

    CAS  Article  Google Scholar 

  • Ulukanli Z, Akkaya A (2011) Antibacterial activities of Marrubium catariifolium and Phlomis pungens var. Hirta grown wild in Eastern Anatolia, Turkey. Int J Agric Biol 13:1560–8530

    Google Scholar 

  • Zarco MF, Vess TJ, Ginsburg GS (2012) The oral microbiome in health and disease and the potential impact on personalized dental medicine. Oral Dis 18:109–120

    CAS  Article  Google Scholar 

Download references

Acknowledgements

The authors would like to thank the DGRSDT/MESRS Algeria for financially supporting this research.

Author information

Affiliations

Authors

Corresponding author

Correspondence to Nadjib Drouiche.

Additional information

Responsible editor: Philippe Garrigues

Rights and permissions

Reprints and Permissions

About this article

Verify currency and authenticity via CrossMark

Cite this article

Arbia, L., Chikhi-Chorfi, N., Betatache, I. et al. Antimicrobial activity of aqueous extracts from four plants on bacterial isolates from periodontitis patients. Environ Sci Pollut Res 24, 13394–13404 (2017). https://doi.org/10.1007/s11356-017-8942-4

Download citation

  • Received:

  • Accepted:

  • Published:

  • Issue Date:

  • DOI: https://doi.org/10.1007/s11356-017-8942-4

Keywords

  • Artemisia herba-alba
  • Opuntia ficus-indica
  • Camellia sinensis
  • Phlomis crinita
  • Antibacterial activity
  • Porphyromonas gingivalis
  • Prevotella intermedia