Skip to main content

Root-foraging behavior ensures the integrated growth of Vallisneria natans in heterogeneous sediments

Abstract

The present study was carried out to determine the efficacy of root foraging and the physiological response of Vallisnaria natans grown in heterogeneous sediments. V. natans was cultivated in two homogeneous and two heterogeneous sediments. The results suggested that V. natans grown in heterogeneous sediments presented a significantly higher root proportion in its total biomass, exhibited root foraging, and grew well, as indicated by a total biomass, ramet number, and plant height very close to those of plants grown in nutrient-rich clay sediment. Moreover, the more sensitive physiological response of the roots than the stems or the leaves to sediment nutrients suggested that root foraging occurred, and the approached values between the two heterogeneous sediments and the homogeneous clay sediment indicated that V. natans could satisfy its nutrient requirements via root foraging. The results may be useful in the recovery of macrophytes that remodel part (rather than all) of the substrate and can potentially improve habitats that are unsuitable for plant growth.

This is a preview of subscription content, access via your institution.

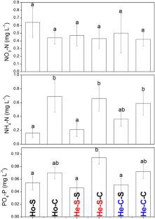
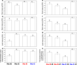
Fig. 1
Fig. 2
Fig. 3
Fig. 4
Fig. 5
Fig. 6
Fig. 7
Fig. 8

References

  • Barko JW, Adams MS, Clesceri NL (1986) Environmental factors and their consideration in the management of submersed aquatic vegetation: a review. J Aquat Plant Manage 24:1–10

    Google Scholar 

  • Barko JW, Smart RM, Mcfarland DG, Chen RL (1988) Interrelationships between the growth of Hydrilla verticillata (L.f.) Royle and sediment nutrient availability. Aquat Bot 32:205–216

    Article  Google Scholar 

  • Barko JW, Gunnison D, Carpenter SR (1991) Sediment interactions with submersed macrophyte growth and community dynamics. Aquat Bot 41:41–65

    Article  Google Scholar 

  • Bloom AJ, Chapin FS, Mooney HA (1985) Resource limitation in plants—an economic analogy. Annu Rev Ecol Evol Syst 16:363–392

    Article  Google Scholar 

  • Cao T, Ni LY, Xie P, Xu J, Zhang M (2011) Effects of moderate ammonium enrichment on three submerged macrophytes under contrasting light availability. Freshw Biol 56:1620–1629

    CAS  Article  Google Scholar 

  • Chambers PA, Prepas EE, Bothwell ML, Hamilton HR (1989) Roots versus shoots in nutrient-uptake by aquatic macrophytes in flowing waters. Can J Fish Aquat Sci 46:435–439

    Article  Google Scholar 

  • Chen JF, Cao T, Zhang XL, Xi YL, Ni LY, Jeppesen E (2016) Differential photosynthetic and morphological adaptations to low light affect depth distribution of two submersed macrophytes in lakes. Sci Rep 6:34028

    CAS  Article  Google Scholar 

  • Dirk LMA, van der Krol AR, Vreugdenhil D, Hilhors HWM, Bewley JD (1999) Galactomannan, soluble sugar and starch mobilization following germination of Trigonella foenum-graecum seeds. Plant Physiol Bioch 37:41–50

    CAS  Article  Google Scholar 

  • Eaton AD, Clesceri LS, Greenberg AE, Branson MH (1995) Standard methods for the examination of water and wastewater. American Public Health Association, Washington, DC

    Google Scholar 

  • Feng F, Fang T, Liu JT (2006) Vertical distribution of species of nitrogen and phosphorus in the sediments of Lake Donghu. Chinese Environmental Science 27:1078–1082 (in Chinese)

    Google Scholar 

  • Golterman GL (1969) Methods for chemical analysis of freshwater. Blackwell, Oxford

    Google Scholar 

  • Hajirezaei MR, Börnke F, Peisker M, TakahataY LJ, Kirakosyan A, Sonnewald U (2003) Decreased sucrose content triggers starch breakdown and respiration in stored potato tubers (Solanum tuberosum). J Exp Bot 54:477–488

    CAS  Article  Google Scholar 

  • Huang X, Chen W, Cai Q (1999) Survey, observation and analysis of lake ecology standard methods for observation and analysis in Chinese ecosystem research network, series V. Standards Press of China, Beijing (in Chinese)

    Google Scholar 

  • Huber H, Chen X, Hendriks M, Keijsers D, Voesenek LACJ, Pierik R, Poorter H, de Kroon H, Visser EJW (2012) Plasticity as a plastic response: how submergence-induced leaf elongation in Rumex palustris depends on light and nutrient availability in its early life stage. New Phytol 194:572–582

    Article  Google Scholar 

  • Hutchings MJ, de Kroon H (1994) Foraging in plants: the role of morphological plasticity in resource acquisition. Adv Ecol Res 25:159–238

    Article  Google Scholar 

  • Hutchings MJ, John EA, Stewart AJA (2000) The ecological consequences of environmental heterogeneity. Blackwell Science, Oxford

    Google Scholar 

  • Jeppesen E, Søndergaard M, Søndergaard M, Christoffersen K (1998) The structuring role of submerged macrophytes in lakes. Springer, New York

    Book  Google Scholar 

  • Lorenzen C (1967) Determination of chlorophyll and pheo-pigments: spectrophotometric equations. Limnol Oceanogr 12:343–346

    CAS  Article  Google Scholar 

  • Madsen TV, Cedergreen N (2002) Sources of nutrients to rooted submerged macrophytes growing in a nutrient-rich river. Freshw Biol 47:283–291

    Article  Google Scholar 

  • Perrow MR, Meijer ML, Dawidowicz P, Coops H (1997) Biomanipulation in the shallow lakes: state of the art. Hydrobiologia 342:355–365

    Article  Google Scholar 

  • Puijalon S, Piola F, Bornette G (2008) Abiotic stresses increase plant regeneration ability. Evol Ecol 22:493–506

    Article  Google Scholar 

  • Smolders AJP, denHartog C, vanGestel CBL, Roelofs JGM (1996) The effects of ammonium on growth, accumulation of free amino acids and nutritional status of young phosphorus deficient Stratiotes aloides plants. Aquat Bot 53:85–96

    CAS  Article  Google Scholar 

  • Scheffer M (1998) Ecology of shallow lakes. Chapman and Hall, London

    Google Scholar 

  • Sparks DL et al (1996) Methods of soil analysis. Part 3—chemical methods. Soil Science Society of America, Madison, pp 869–919

    Google Scholar 

  • van Donk E, van de Bund WJ (2002) Impact of submerged macrophytes including charophytes on phyto- and zooplankton communities: allelopathy versus other mechanisms. Aquat Bot 72:261–274

    Article  Google Scholar 

  • Wang JW, Yu D (2007) Influence of sediment fertility on morphological variability of Vallisneria spiralis L. Aquat Bot 87:127–133

    Article  Google Scholar 

  • Xiao KY, Yu D, Wang JW (2006) Habitat selection in spatially heterogeneous environments: a test of foraging behaviour in the clonal submerged macrophyte Vallisneria spiralis. Freshw Biol 51:1552–1559

    Article  Google Scholar 

  • Xie YH, An SQ, Wu BF (2005a) Resource allocation in the submerged plant Vallisneria natans related to sediment type, rather than water-column nutrients. Freshw Biol 50:391–402

    Article  Google Scholar 

  • Xie YH, An SQ, Yao X, Xiao KY, Zhang C (2005b) Short-time response in root morphology of Vallisneria natans to sediment type and water-column nutrient. Aquat Bot 81:85–96

    Article  Google Scholar 

  • Xie YH, An SQ, Wu BF (2006) Density-dependent root morphology and root distribution in the submerged plant Vallisneria natans. Environ Exp Bot 57:195–200

    CAS  Article  Google Scholar 

  • Xie YH, Deng W, Wang JD (2007) Growth and root distribution of Vallisneria natans in heterogeneous sediment environments. Aquat Bot 86:9–13

    Article  Google Scholar 

  • Xie D, Yu D (2011) Turion production and nutrient reserves in Potamogeton crispus are influenced by sediment nutrient level. Aquat Bot 14:21–28

    Article  Google Scholar 

  • Xie D, Yu D, You WH, Wang LG (2013) Morphological and physiological responses to sediment nutrients in the submerged macrophyte Myriophyllum spicatum. Wetlands 33:1095–1102

    Article  Google Scholar 

  • Yemm EW, Willis AJ (1954) The estimation of carbohydrates in plant extracts by anthrone. Biochem J 57:508–514

    CAS  Article  Google Scholar 

  • Yemm EW, Cocking EC, Ricketts RE (1955) The determination of amino-acids with ninhydrin. Analyst 80:209–214

    CAS  Article  Google Scholar 

Download references

Acknowledgements

This study was supported by the National Science Foundation of China (Grant No. 41230853 and 31200356). The authors thank the anonymous reviewer for his/her insightful suggestions.

Author information

Affiliations

Authors

Corresponding author

Correspondence to Xiaolin Zhang.

Ethics declarations

Conflict of interest

The authors declare that they have no conflict of interest.

Additional information

The first two authors contributed equally to this work.

Responsible editor: Philippe Garrigues

Electronic supplementary material

ESM 1

(DOCX 22 kb)

Rights and permissions

Reprints and Permissions

About this article

Verify currency and authenticity via CrossMark

Cite this article

Chen, J., Hu, X., Cao, T. et al. Root-foraging behavior ensures the integrated growth of Vallisneria natans in heterogeneous sediments. Environ Sci Pollut Res 24, 8108–8119 (2017). https://doi.org/10.1007/s11356-017-8473-z

Download citation

  • Received:

  • Accepted:

  • Published:

  • Issue Date:

  • DOI: https://doi.org/10.1007/s11356-017-8473-z

Keywords

  • Free amino acids
  • Heterogeneous sediments
  • Phosphorus
  • Root foraging
  • Soluble carbohydrates
  • Submersed macrophytes
  • Vallisneria natans