Abstract
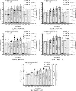
Horizontal zeolite subsurface constructed wetland system (HZCWs) and horizontal limestone subsurface constructed wetland system (HLCWs) were applied to the removal of nitrogen in lightly polluted wastewater, and the existing forms, changes, and removal mechanism of nitrogen in the constructed wetlands were analyzed. The results indicated that compared with HLCWs, HZCWs exhibited better nitrogen removal effect, and the maximum removal rates of ammonia nitrogen and total nitrogen could reach 96.97 ± 5.29 and 93.12 ± 3.35%, respectively. Besides, analysis of the removal effect on nitrogen in different existing forms on different substrate heights in the constructed wetlands showed that variation of nitrogen removal efficiency had certain regularities, which were related to the interior construction features of the wetland systems, and agreed with the regularities in the changes of the influential factors such as DO inside of the wetlands. In addition, degradation mechanism of pollutions was also analyzed, and the results indicated that the quantity of microorganisms and enzymes, including FDA, catalase, and urease, on the surface of the substrates had significant influence on the removal regularities and effects of the major pollutions in constructed wetlands.





Similar content being viewed by others
Explore related subjects
Discover the latest articles and news from researchers in related subjects, suggested using machine learning.References
American Public Health Association (APHA) (2005) Standard methods for the examination of water and wastewater, 21st edn. American Public Health Association, American Water Works Association, Water Pollution Control Federation, Washington, DC
Brix H (1999) How “green” are aquaculture, constructed wetlands and conventional wastewater treatment systems? Water Sci Technol 40(3):45–50
Chang JJ, Wu SQ, Dai YR, Liang W, Wu ZB (2012) Treatment performance of integrated vertical-flow constructed wetland plots for domestic wastewater. Ecol Eng 44:152–159
Chang JJ, Wu SQ, Liang K, Wu ZB, Liang W (2015) Responses of microbial abundance and enzyme activity in integrated vertical-flow constructed wetlands for domestic and secondary wastewater. Desalin Water Treat 56(8):2082–2091
Coban O, Kuschk P, Kappelmeyer U, Spott O, Martienssen M, Jetten MS, Knoeller K (2015) Nitrogen transforming community in a horizontal subsurface-flow constructed wetland. Water Res 74:203–212
Fibbi D, Doumett S, Lepri L, Checchini L, Gonnelli C, Coppini E, Del Bubba M (2012) Distribution and mass balance of hexavalent and trivalent chromium in a subsurface, horizontal flow (SF-h) constructed wetland operating as post-treatment of textile wastewater for water reuse. J Hazard Mater 199:209–216
Gale PM, Redely KR, Graetz DA (1993) Nitrogen removal from reclaimed water applied to constructed and natural wetland microcosms. Water Environ Res 65(2):162–168
Harrington R, McInnes R (2009) Integrated constructed wetlands (ICW) for livestock wastewater management. Bioresour Technol 100(22):5498–5505
Hussain SI, Blowes DW, Ptacek CJ, Jamieson-Hanes JH, Wootton B, Balch G, Higgins J (2015) Mechanisms of phosphorus removal in a pilot-scale constructed wetland/BOF slag wastewater treatment system. Environ Eng Sci 32(4):340–352
Hu Y, Zhao Y, Rymszewicz A (2014) Robust biological nitrogen removal by creating multiple tides in a single bed tidal flow constructed wetland. Sci Total Environ 470:1197–1204
Inamori R, Gui P, Dass P et al (2007) Investigating CH4 and N2O emissions from eco-engineering wastewater treatment processes using constructed wetland microcosms. Process Biochem 42(3):363–373
Khandare RV, Watharkar AD, Kabra AN, Kachole MS, Govindwar SP (2014) Development of a low-cost, phyto-tunnel system using Portulaca grandiflora and its application for the treatment of dye-containing wastewaters. Biotechnol Lett 36(1):47–55
Larue C, Korboulewsky N, Wang R, Mévy JP (2010) Depollution potential of three macrophytes: exudated, wall-bound and intracellular peroxidase activities plus intracellular phenol concentrations. Bioresour Technol 101(20):7951–7957
Li C, Dong Y, Lei Y, Wu D, Xu P (2015) Removal of low concentration nutrients in hydroponic wetlands integrated with zeolite and calcium silicate hydrate functional substrates. Ecol Eng 82:442–450
Maine MA, Sune N, Hadad H, Sánchez G, Bonetto C (2007) Removal efficiency of a constructed wetland for wastewater treatment according to vegetation dominance. Chemosphere 68(6):1105–1113
Maltais-Landry G, Maranger R, Brisson J, Chazarenc F (2009) Nitrogen transformations and retention in planted and artificially aerated constructed wetlands. Water Res 43(2):535–545
Meng P, Pei H, Hu W, Shao Y, Li Z (2014) How to increase microbial degradation in constructed wetlands: influencing factors and improvement measures. Bioresour Technol 157:316–326
Oon YL, Ong SA, Ho LN et al (2016) Synergistic effect of up-flow constructed wetland and microbial fuel cell for simultaneous wastewater treatment and energy recovery. Bioresour Technol 203:190–197
Sehar S, Naeem S, Perveen I, Ali N, Ahmed S (2015) A comparative study of macrophytes influence on wastewater treatment through subsurface flow hybrid constructed wetland. Ecol Eng 81:62–69
Shen Z, Zhou Y, Liu J, Xiao Y, Cao R, Wu F (2015) Enhanced removal of nitrate using starch/PCL blends as solid carbon source in a constructed wetland. Bioresour Technol 175:239–244
Sochacki A, Surmacz-Gorska J, Faure O, Guy B (2014a) Polishing of synthetic electroplating wastewater in microcosm upflow constructed wetlands: effect of operating conditions. Chem Eng J 237:250–258
Sochacki A, Surmacz-Górska J, Guy B, Faure O (2014b) Microcosm fill-and-drain constructed wetlands for the polishing of synthetic electroplating wastewater. Chem Eng J 251:10–16
Song K, Lee SH, Kang H (2011) Denitrification rates and community structure of denitrifying bacteria in newly constructed wetland. Eur J Soil Biol 47(1):24–29
Song K, Lee SH, Mitsch WJ, Kang H (2010) Different responses of denitrification rates and denitrifying bacterial communities to hydrologic pulsing in created wetlands. Soil Biol Biochem 42(10):1721–1727
Tang XY, Wang SY, Yang Y, Tao R, Dai YN, Dan A, Li L (2015) Removal of six phthalic acid esters (PAEs) from domestic sewage by constructed wetlands. Chem Eng J 275:198–205
Verhoeven JT, Meuleman AF (1999) Wetlands for wastewater treatment: opportunities and limitations. Ecol Eng 12(1):5–12
Vymazal J (2007) Removal of nutrients in various types of constructed wetlands. Sci Total Environ 380(1):48–65
Vymazal J (2009) The use constructed wetlands with horizontal sub-surface flow for various types of wastewater. Ecol Eng 35(1):1–17
Vymazal J, Kröpfelová L (2015) Multistage hybrid constructed wetland for enhanced removal of nitrogen. Ecol Eng 84:202–208
Waki M, Yasuda T, Suzuki K, Komada M, Abe K (2015) Distribution of anammox bacteria in a free-water-surface constructed wetland with wild rice (Zizania latifolia). Ecol Eng 81:165–172
Wang XH, Wang X, Huppes G, Heijungs R, Ren NQ (2015) Environmental implications of increasingly stringent sewage discharge standards in municipal wastewater treatment plants: case study of a cool area of China. J Clean Prod 94:278–283
Wu S, Kuschk P, Brix H, Vymazal J, Dong R (2014) Development of constructed wetlands in performance intensifications for wastewater treatment: a nitrogen and organic matter targeted review. Water Res 57:40–55
Zhou L, Boyd CE (2014) Total ammonia nitrogen removal from aqueous solutions by the natural zeolite, mordenite: a laboratory test and experimental study. Aquaculture 432:252–257
Acknowledgements
This work was supported by Youth Foundation of Hebei Educational Committee [QN2015197] and Hebei Province science and technology project [15273601D].
Author information
Authors and Affiliations
Corresponding author
Additional information
Responsible editor: Philippe Garrigues
Rights and permissions
About this article
Cite this article
Wang, H., Zhong, H. & Bo, G. Existing forms and changes of nitrogen inside of horizontal subsurface constructed wetlands. Environ Sci Pollut Res 25, 771–781 (2018). https://doi.org/10.1007/s11356-017-0477-1
Received:
Accepted:
Published:
Issue Date:
DOI: https://doi.org/10.1007/s11356-017-0477-1


