Skip to main content

Seasonal and storm-driven changes in chemical composition of dissolved organic matter: a case study of a reservoir and its forested tributaries

Abstract

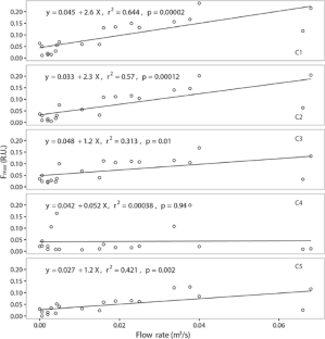
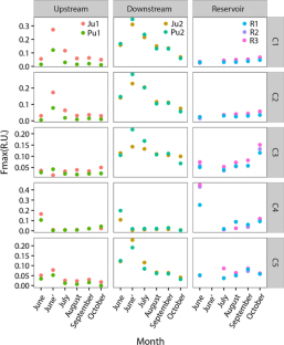
Many drinking water supplies are located in forested watersheds, which operate as an important source of dissolved organic matter (DOM). In this study, monthly sampling campaigns were conducted from a reservoir (Daecheong Reservoir, South Korea) and its forested tributaries for five consecutive months (June to October) to examine the variations of DOM composition. Excitation-emission matrix fluorescence spectroscopy combined with parallel factor analysis (EEM-PARAFAC) was applied to track the variations of different fluorescent components within bulk DOM. Selected samples were further separated into hydrophobic (Ho) and hydrophilic (Hi) fractions. Water quality and DOM composition varied greatly with the sampling locations including the upstream and the downstream tributary sites, and the reservoir. Non-metric multidimensional scaling (NMDS) provided the information on the DOM sources and the potential processes leading to the observed DOM changes. Four of the five fluorescent components, identified by EEM-PARAFAC, were well correlated with the flow rates of the tributaries, suggesting hydrological control on DOM composition. The greatest effects were found on two terrestrial humic-like components (C1 and C2). The Ho fraction of DOM was more abundant for the post-storm samples versus the non-storm samples, supporting the important roles of hydrology on the changes in chemical composition of DOM. The amounts of the DOM resin fractions, either Ho or Hi, showed strong relationships with C1 and C2, suggesting that DOM fluorescence could be successfully applied to estimate different DOM chemical constituents in forested watersheds.

This is a preview of subscription content, access via your institution.

Fig. 1
Fig. 2
Fig. 3
Fig. 4
Fig. 5
Fig. 6
Fig. 7
Fig. 8

References

  • APHA, AWWA, WEF (2005) Standard methods for the examination of water and wastewater. American Water Works Association and American Environment Federation, Baltimore

    Google Scholar 

  • Benner R, Stuart EGF, Robert LS (2003) Molecular indicators of the bioavailability of dissolved organic matter. In: Findlay SEG, Sinsabaugh RL (eds) Aquatic ecosystems. Academic Press, Burlington, pp. 121–137

    Chapter  Google Scholar 

  • Bida MR, Tyler AC, Pagano T (2015) Quantity and composition of stream dissolved organic matter in the watershed of Conesus Lake, New York. J Great Lakes Res 41:730–742

    CAS  Article  Google Scholar 

  • Camargo JA, Alonso Á, Puente M (2005) Eutrophication downstream from small reservoirs in mountain rivers of Central Spain. Water Res 39:3376–3384

    CAS  Article  Google Scholar 

  • Chen M, He W, Choi I, Hur J (2015) Tracking the monthly changes of dissolved organic matter composition in a newly constructed reservoir and its tributaries during the initial impounding period. Environ Sci Pollut R 23:1274–1283

    Article  Google Scholar 

  • Chow AT, Gao S, Dahlgren RA (2005) Physical and chemical fractionation of dissolved organic matter and trihalomethane precursors: a review. Journal of Water Supply: Research and Technology - Aqua 54:475–507

    CAS  Google Scholar 

  • Coble PG (1996) Characterization of marine and terrestrial DOM in seawater using excitation emission matrix spectroscopy. Mar Chem 51:325–346. doi:10.1016/0304-4203(95)00062-3

    CAS  Article  Google Scholar 

  • Coble PG (2007) Marine optical biogeochemistry: the chemistry of ocean color. Chem Rev 107:402–418. doi:10.1021/cr050350+

    CAS  Article  Google Scholar 

  • Easterling DR, Meehl GA, Parmesan C, Changnon SA, Karl TR, Mearns LO (2000) Climate extremes: observations, modeling, and impacts. Science 289:2068–2074

    CAS  Article  Google Scholar 

  • FAO (2010) Global forest resources assessment 2010. Food and Agriculture Organization of the United Nations, Rome

    Google Scholar 

  • Fasching C, Ulseth AJ, Schelker J, Steniczka G, Battin TJ (2016) Hydrology controls dissolved organic matter export and composition in an Alpine stream and its hyporheic zone. Limnol Oceanogr 61:558–571

    CAS  Article  Google Scholar 

  • Findlay SE, Sinsabaugh RL (2003) Aquatic ecosystems: interactivity of dissolved organic matter. Academic Press, Burlington

    Google Scholar 

  • Garcia RD, Reissig M, Queimaliños CP, Garcia PE, Dieguez MC (2015) Climate-driven terrestrial inputs in ultraoligotrophic mountain streams of Andean Patagonia revealed through chromophoric and fluorescent dissolved organic matter. Sci Total Environ:521–522

  • He W, Hur J (2015) Conservative behavior of fluorescence EEM-PARAFAC components in resin fractionation processes and its applicability for characterizing dissolved organic matter. Water Res 83:217–226

    CAS  Article  Google Scholar 

  • He X-S, Xi B-D, Gao R-T, Zhang H, Dang Q-L, Li D, Huang C-H (2016) Insight into the composition and degradation potential of dissolved organic matter with different hydrophobicity in landfill leachates. Chemosphere 144:75–80

    CAS  Article  Google Scholar 

  • Helms JR, Stubbins A, Perdue EM, Green NW, Chen H, Mopper K (2013) Photochemical bleaching of oceanic dissolved organic matter and its effect on absorption spectral slope and fluorescence. Mar Chem 155:81–91

    CAS  Article  Google Scholar 

  • Helms J, Mao J, Stubbins A, Schmidt-Rohr K, Spencer RM, Hernes P, Mopper K (2014) Loss of optical and molecular indicators of terrigenous dissolved organic matter during long-term photobleaching. Aquat Sci 76:353–373

    CAS  Article  Google Scholar 

  • Hur J, Hwang S-J, Shin J-K (2008) Using synchronous fluorescence technique as a water quality monitoring tool for an Urban River. Water Air Soil Pollut 191:231–243

    CAS  Article  Google Scholar 

  • Imai A, Fukushima T, Matsushige K, Hwan Kim Y (2001) Fractionation and characterization of dissolved organic matter in a shallow eutrophic lake, its inflowing rivers, and other organic matter sources. Water Res 35:4019–4028

    CAS  Article  Google Scholar 

  • Imai A, Fukushima T, Matsushige K, Kim Y-H, Choi K (2002) Characterization of dissolved organic matter in effluents from wastewater treatment plants. Water Res 36:859–870

    CAS  Article  Google Scholar 

  • Imai A, Matsushige K, Nagai T (2003) Trihalomethane formation potential of dissolved organic matter in a shallow eutrophic lake. Water Res 37:4284–4294

    CAS  Article  Google Scholar 

  • Jeong D-H et al (2011) A study on the management and improvement of alert system according to algal bloom in the Daecheong Reservoir. Journal of Environmental Impact Assessment 20:915–925

    Google Scholar 

  • Kowalczuk P, Tilstone GH, Zabłocka M, Röttgers R, Thomas R (2013) Composition of dissolved organic matter along an Atlantic Meridional transect from fluorescence spectroscopy and parallel factor analysis. Mar Chem 157:170–184

    CAS  Article  Google Scholar 

  • Lawaetz AJ, Stedmon CA (2009) Fluorescence intensity calibration using the Raman scatter peak of water. Appl Spectrosc 63:936–940

    CAS  Article  Google Scholar 

  • Leenheer JA, Croue JP (2003) Characterizing aquatic dissolved organic matter. Environ Sci Technol 37:18a–26a

    CAS  Article  Google Scholar 

  • Li P, Chen L, Zhang W, Huang Q (2015) Spatiotemporal distribution, sources, and photobleaching imprint of dissolved organic matter in the Yangtze estuary and its adjacent sea using fluorescence and parallel factor analysis. PLoS One 10:e0130852

    Article  Google Scholar 

  • Murphy KR (2011) A note on determining the extent of the water Raman peak in fluorescence spectroscopy. Appl Spectrosc 65:233–236

    CAS  Article  Google Scholar 

  • Murphy KR, Butler KD, Spencer RG, Stedmon CA, Boehme JR, Aiken GR (2010) Measurement of dissolved organic matter fluorescence in aquatic environments: an interlaboratory comparison. Environ Sci Technol 44:9405–9412

    CAS  Article  Google Scholar 

  • Murphy KR, Stedmon CA, Wenig P, Bro R (2014) OpenFluor- an online spectral library of auto-fluorescence by organic compounds in the environment. Anal Methods-UK 6:658–661

    CAS  Article  Google Scholar 

  • Nguyen HV-M, Hur J, Shin H-S (2010) Changes in spectroscopic and molecular weight characteristics of dissolved organic matter in a river during a storm event. Water Air Soil Pollut 212:395–406

    CAS  Article  Google Scholar 

  • Nguyen HV-M, Lee M-H, Hur J, Schlautman MA (2013) Variations in spectroscopic characteristics and disinfection byproduct formation potentials of dissolved organic matter for two contrasting storm events. J Hydrol 481:132–142

    CAS  Article  Google Scholar 

  • Ohno T (2002) Fluorescence inner-filtering correction for determining the humification index of dissolved organic matter. Environ Sci Technol 36:742–746

    CAS  Article  Google Scholar 

  • Oksanen J, Blanchet FG, Kindt R, Legendre P, Minchin PR, O'Hara RB, Simpson GL, Solymos P, Stevens MHH, Wagner H (2016) vegan: community ecology package

  • Papageorgiou A, Papadakis N, Voutsa D (2015) Fate of natural organic matter at a full-scale drinking water treatment plant in Greece. Environ Sci Pollut R 23:1841–1851

    Article  Google Scholar 

  • Park J-H, Lee J-H, Kang S-Y, Kim S-Y (2007) Hydroclimatic controls on dissolved organic matter (DOM) characteristics and implications for trace metal transport in Hwangryong River Watershed, Korea, during a summer monsoon period. Hydrol Process 21:3025–3034

    CAS  Article  Google Scholar 

  • R Core Team (2015) R: a language and environment for statistical computing. R Foundation for Statistical Computing, Vienna, Austria

    Google Scholar 

  • Rodgers M, O’Connor M, Healy MG, O’Driscoll C, Asam Z-u-Z, Nieminen M, Poole R, Müller M, Xiao L (2010) Phosphorus release from forest harvesting on an upland blanket peat catchment. Forest Ecol Manag 260:2241–2248

  • Sebestyen SD, Boyer EW, Shanley JB, Kendall C, Doctor DH, Aiken GR, Ohte N (2008) Sources, transformations, and hydrological processes that control stream nitrate and dissolved organic matter concentrations during snowmelt in an upland forest. Water Resour Res 44

  • Stedmon CA, Bro R (2008) Characterizing dissolved organic matter fluorescence with parallel factor analysis: a tutorial. Limnol Oceanogr-Meth 6:572–579

    CAS  Article  Google Scholar 

  • Stedmon CA, Markager S (2005a) Resolving the variability in dissolved organic matter fluorescence in a temperate estuary and its catchment using PARAFAC analysis. Limnol Oceanogr 50:686–697

    CAS  Article  Google Scholar 

  • Stedmon CA, Markager S (2005b) Tracing the production and degradation of autochthonous fractions of dissolved organic matter by fluorescence analysis. Limnol Oceanogr 50:1415–1426

    CAS  Article  Google Scholar 

  • Stedmon CA, Markager S, Bro R (2003) Tracing dissolved organic matter in aquatic environments using a new approach to fluorescence spectroscopy. Mar Chem 82:239–254

    CAS  Article  Google Scholar 

  • Walker SA, Amon RMW, Stedmon C, Duan S, Louchouarn P (2009) The use of PARAFAC modeling to trace terrestrial dissolved organic matter and fingerprint water masses in coastal Canadian Arctic surface waters. J Geophys Res-Biogeo 114

  • Wang C, Zhang X, Wang J, Chen C (2013) Characterization of dissolved organic matter as N-nitrosamine precursors based on hydrophobicity, molecular weight and fluorescence. J Environ Sci 25:85–95

    CAS  Article  Google Scholar 

  • Wilson HF, Raymond PA, Saiers JE, Sobczak WV, Xu N (2016) Increases in humic and bioavailable dissolved organic matter in a forested New England headwater stream with increasing discharge. Mar Freshwater Res

  • Xu Z, Xu YJ (2014) Rapid field estimation of biochemical oxygen demand in a subtropical eutrophic urban lake with chlorophyll a fluorescence. Environ Monit Assess 187:1–14

    Google Scholar 

  • Yang L, Hur J, Lee S, Chang S-W, Shin H-S (2015) Dynamics of dissolved organic matter during four storm events in two forest streams: source, export, and implications for harmful disinfection byproduct formation. Environ Sci Pollut R 22:9173–9183

    CAS  Article  Google Scholar 

  • Zhang Y, van Dijk MA, Liu M, Zhu G, Qin B (2009) The contribution of phytoplankton degradation to chromophoric dissolved organic matter (CDOM) in eutrophic shallow lakes: field and experimental evidence. Water Res 43:4685–4697

    CAS  Article  Google Scholar 

  • Zhang Y, Zhang E, Yin Y, van Dijk MA, Feng L, Shi Z, Liu M, Qin B (2010) Characteristics and sources of chromophoric dissolved organic matter in lakes of the Yungui Plateau, China, differing in trophic state and altitude. Limnol Oceanogr 55:2645–2659

  • Zhang Y, Yin Y, Feng L, Zhu G, Shi Z, Liu X, Zhang Y (2011) Characterizing chromophoric dissolved organic matter in Lake Tianmuhu and its catchment basin using excitation-emission matrix fluorescence and parallel factor analysis. Water Res 45:5110–5122

    CAS  Article  Google Scholar 

  • Zhang Y, Shi K, Zhou Y, Liu X, Qin B (2016) Monitoring the river plume induced by heavy rainfall events in large, shallow, Lake Taihu using MODIS 250 m imagery. Remote Sens Environ 173:109–121

    Article  Google Scholar 

  • Zhou Y, Zhang Y, Jeppesen E, Murphy KR, Shi K, Liu M, Liu X, Zhu G (2016a) Inflow rate-driven changes in the composition and dynamics of chromophoric dissolved organic matter in a large drinking water lake. Water Res 100:211–221

  • Zhou Y, Zhou J, Jeppesen E, Zhang Y, Qin B, Shi K, Tang X, Han X (2016b) Will enhanced turbulence in inland waters result in elevated production of autochthonous dissolved organic matter? Sci Total Environ 543:405–415

Download references

Acknowledgments

This work was supported by a National Research Foundation of Korea (NRF) grant funded by the Korean government (MSIP) (No.2014R1A2A2A09049496). It was also funded by the National Institute of Environmental Research, Republic of Korea. The views expressed are not necessarily those of NIER.

Author information

Affiliations

Authors

Corresponding author

Correspondence to Jin Hur.

Additional information

Responsible editor: Philippe Garrigues

Electronic supplementary material

ESM 1

(DOCX 1032 kb)

Rights and permissions

Reprints and Permissions

About this article

Verify currency and authenticity via CrossMark

Cite this article

Li, P., Lee, S.H., Lee, S.H. et al. Seasonal and storm-driven changes in chemical composition of dissolved organic matter: a case study of a reservoir and its forested tributaries. Environ Sci Pollut Res 23, 24834–24845 (2016). https://doi.org/10.1007/s11356-016-7720-z

Download citation

  • Received:

  • Accepted:

  • Published:

  • Issue Date:

  • DOI: https://doi.org/10.1007/s11356-016-7720-z

Keywords

  • Fluorescence
  • Parallel factor analysis (PARAFAC)
  • Flow rate
  • Hydrology
  • Resin fractionation