Skip to main content

Ibuprofen photodegradation in aqueous solutions

Abstract

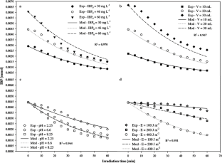
The advanced treatment of polluted liquid streams containing traces of pharmaceutical compounds is a major issue, since more and more effluents from pharma labs and wastewaters containing the excretions of medically treated humans and animals are discharged in the conventional wastewater treatment plants without previous effective treatments. Ibuprofen is a widely used non-steroidal anti-inflammatory drug (NSAID), which explains why it is found in wastewaters so often. In this paper, the removal of IBP from simulated water streams was investigated by using a lab-scale experimental device, consisting of a batch reactor equipped with a lamp emitting monochromatic UV light at a fixed wavelength (254 nm) and various intensities. Three sets of experiments were carried out: the first to study IBP concentration as a function of time, at different volumes of treated solutions (V = 10–30 mL); the second to explore the effect of pH on IBP degradation as a function of time (pH = 2.25–8.25) and the third to evaluate the effect of different UV light intensities on IBP degradation (E = 100–400 mJ m−2). The IBP initial concentration (IBP 0) was varied in the range 30–60 mg L−1. The results obtained show that the concentration of IBP decreases along with treatment time, with a negative effect of the treated volume, i.e. smaller volumes, such as lower liquid heights, are more easily degraded. Moreover, the higher the pH, the better the IBP degradation; actually, when pH increases from 2.25 to 6.6 and 8.25, the IBP concentration, after an hour of treatment, decreases respectively to 45, 34 and 27 % of its initial value. In addition, as the intensity of light increases from 100 to 400 mJ m−2, the IBP concentration decreases to 34 % of its initial value. A reaction scheme is put forward in the paper, which well describes the effects of volume, pH and light intensity on the IBP degradation measured experimentally. Moreover, the IBP degradation by-products have been identified.

This is a preview of subscription content, access via your institution.

Fig. 1
Fig. 2
Fig. 3
Fig. 4
Fig. 5
Fig. 6
Fig. 7
Fig. 8
Fig. 9
Fig. 10
Fig. 11

References

  • Achilleos A, Hapeshi E, Xekoukoulotakis NP, Mantzavinos D, Fatta-Kassinos D (2010) UV-A and solar photodegradation of ibuprofen and carbamazepine catalyzed by TiO2. Separ Sci Technol 45(11):1564–1570. doi:10.1080/01496395.2010.487463

    CAS  Article  Google Scholar 

  • Barndõk H, Peláez M, Han C, Platten WE 3rd, Campo P, Hermosilla D, Blanco A, Dionysiou DD (2013) Photocatalytic degradation of contaminants of concern with composite NF-TiO2 films under visible and solar light. Environ Sci Pollut Res 20(6):3582–3591. doi:10.1007/s11356-013-1550-z

    Article  Google Scholar 

  • Bolton JR, Mayor-Smith I, Linden KG (2015) Rethinking the concepts of fluence (UV dose) and fluence rate: the importance of photon-based units—a systemic review. Photochem Photobiol 91:1252–1262. doi:10.1111/php.12512

    CAS  Article  Google Scholar 

  • Bolton JR, Linden KG (2003) Standardization of methods for fluence UV dose determination in bench-scale UV experiments. J Environ Eng 129:209–215. doi:10.1061/ASCE0733-93722003129:3209

    CAS  Article  Google Scholar 

  • Bolton JR, Stefan MI (2003) Fundamental photochemical approach to the concepts of fluence (UV dose) and electrical energy efficiency in photochemical degradation reactions. Res Chem Intermed 28(7–9):857–870. doi:10.1163/15685670260469474

    Google Scholar 

  • Bortone I, Di Nardo A, Di Natale M, Erto A, Musmarra D, Santonastaso GF (2013) Remediation of an aquifer polluted with dissolved tetrachloroethylene by an array of wells filled with activated carbon. J Hazard Mater 260:914–920. doi:10.1016/j.jhazmat.2013.06.050

    CAS  Article  Google Scholar 

  • Canonica S, Meunier L, von Gunten U (2008) Phototransformation of selected pharmaceuticals during UV treatment of drinking water. Water Res 42:121–128. doi:10.1016/j.watres.2007.07.026

    CAS  Article  Google Scholar 

  • Capocelli M, Joyce E, Lancia A, Mason T, Musmarra D, Prisciandaro M (2012) Sonochemical degradation of estradiols: incidence of ultrasonic frequency. Chem Eng J 210:9–17. doi:10.1016/j.cej.2012.08.084

    CAS  Article  Google Scholar 

  • Capocelli M, Prisciandaro M, Lancia A, Musmarra D (2014a) Chemical effect of hydrodynamic cavitation: simulation and experimental comparison. AICHE J 60:2566–2572. doi:10.1002/aic.14472

    CAS  Article  Google Scholar 

  • Capocelli M, Prisciandaro M, Lancia A, Musmarra D (2014b) Hydrodynamic cavitation of p-nitrophenol: a theoretical and experimental insight. Chem Eng J 254:1–8. doi:10.1016/j.cej.2014.05.102

    CAS  Article  Google Scholar 

  • Castell JV, Gomez MJ, Miranda MA, Morera IM (1987) Photolytic degradation of ibuprofen. Toxicity of the isolated photoproducts on fibroblasts and erythrocytes. Photochem Photobiol 46(6):991–996. doi:10.1111/j.1751-1097.1987.tb04882.x

    CAS  Article  Google Scholar 

  • Chianese S, Iovino P, Canzano S, Prisciandaro M, Musmarra D (2016) Ibuprofen degradation in aqueous solution by using UV light. Desalin Water Treat. doi. doi:10.1080/19443994.2016.1153908

    Google Scholar 

  • Choina J, Kosslick H, Fischer C, Flechsig GU, Frunza L, Schulz A (2013) Photocatalytic decomposition of pharmaceutical ibuprofen pollutions in water over titania catalyst. Appl Catal B Environ 129:589–598. doi:10.1016/j.apcatb.2012.09.053

    CAS  Article  Google Scholar 

  • da Silva JCC, Teodoro JAR, de Cássia Franco Afonso RJ, Aquino SF, Augusti R (2014) Photolysis and photocatalysis of ibuprofen in aqueous medium: characterization of by-products via liquid chromatography coupled to high-resolution mass spectrometry and assessment of their toxicities against Artemia Salina. J Mass Spectrom 49:145–153. doi:10.1002/jms.332

    CAS  Article  Google Scholar 

  • Erto A, Andreozzi R, Di Natale F, Lancia A, Musmarra D (2009) Experimental and isotherm-models analysis on TCE and PCE adsorption onto activated carbon. Chem Eng Trans 17:293–298. doi:10.3303/CET0917050

    Google Scholar 

  • Georgaki I, Vasilaki E, Katsarakis N (2014) A study on the degradation of carbamazepine and ibuprofen by TiO2 & ZnO photocatalysis upon UV/visible-light irradiation. AJAC 5:518–534. doi:10.4236/ajac.2014.58060

    CAS  Article  Google Scholar 

  • Iovino P, Canzano S, Capasso S, Erto A, Musmarra D (2015) A modeling analysis for the assessment of ibuprofen adsorption mechanism onto activated carbons. Chem Eng J 277:360–367. doi:10.1016/j.cej.2015.04.097

    CAS  Article  Google Scholar 

  • Li FH, Yao K, Lv WY, Liu GG, Chen P, Huang HP, Kang YP (2015) Photodegradation of ibuprofen under UV–Vis irradiation: mechanism and toxicity of photolysis products. Bull environ. Contam Toxicol 94:479–483. doi:10.1007/s00128-015-1494-8

    CAS  Article  Google Scholar 

  • Jacobs LE, Fimmen RL, Chin YP, Mash HE, Weavers LK (2011) Fulvic acid mediated photolysis of ibuprofen in water. Water Res 45:4449–4458. doi:10.1016/j.watres.2011.05.041

    CAS  Article  Google Scholar 

  • Kaur A, Umar A, Kansal SK (2016) Heterogeneous photocatalytic studies of analgesic and non-steroidal anti-inflammatory drugs. Appl Catal A 510:134–155. doi:10.1016/j.apcata.2015.11.008

    CAS  Article  Google Scholar 

  • Karatza D, Prisciandaro M, Lancia A, Musmarra D (2010) Sulfite oxidation catalyzed by cobalt ions in flue gas desulfurization processes. J Air Waste Manage Assoc 60(6):675–680. doi:10.3155/1047-3289.60.6.675

    CAS  Article  Google Scholar 

  • Karatza D, Prisciandaro M, Lancia A, Musmarra D (2008) Reaction rate of sulfite oxidation catalyzed by cuprous. Chem Eng J 145(2):285–289. doi:10.1016/j.cej.2008.07.031

    CAS  Article  Google Scholar 

  • Lapworth DJ, Baran N, Stuart ME, Ward RS (2012) Emerging organic contaminants in groundwater: a review of sources, fate and occurrence. Environ Pollut 163:287–303. doi:10.1016/j.envpol.2011.12.034

    CAS  Article  Google Scholar 

  • Mendez-Arriaga F, Esplugas S, Gimenez J (2008) Photocatalytic degradation of non-steroidal anti-inflammatory drugs with TiO2 and simulated solar irradiation. Water Res 42:589–594. doi:10.1016/j.watres.2007.08.002

    Google Scholar 

  • Mendez-Arriaga F, Esplugas S, Gimenez J (2010) Degradation of the emerging contaminant ibuprofen in water by photo-Fenton. Water Res 44:589–595. doi:10.1016/j.watres.2009.07.009

    CAS  Article  Google Scholar 

  • Miralles-Cuevas S, Oller I, Pérez JA, Malato S (2015) Application of solar photo-Fenton at circumneutral pH to nanofiltration concentrates for removal of pharmaceuticals in MWTP effluents. Environ Sci Pollut Res 22(2):846–855. doi:10.1007/s11356-014-2871-2

    CAS  Article  Google Scholar 

  • Musmarra D, Prisciandaro M, Capocelli M, Karatza D, Iovino P, Canzano S, Lancia A (2016) Degradation of ibuprofen by hydrodynamic cavitation: reaction pathways and effect of operational parameters. Ultrason Sonochem 29:76–83. doi:10.1016/j.ultsonch.2015.09.002

    CAS  Article  Google Scholar 

  • Nick K, Schoeler HF, Mark G, Söylemez T, Akhlaq MS, Schuchmann HP, von Sonntag C (1992) Degradation of some triazine herbicides such as used in the UV-disinfection of drinking water. J Water SRT-Aqua 41:82–87

    CAS  Google Scholar 

  • Pedrouzo M, Borrull F, Pocurull E, Marc RM (2011) Presence of pharmaceuticals and hormones in waters from sewage treatment plants. Water Air Soil Poll 217:267–281. doi:10.1007/s11270-010-0585-8

    CAS  Article  Google Scholar 

  • Pereira LC, de Souza AO, Franco Bernardes MF, Pazin M, Tasso MJ, Pereira PH, Dorta DJ (2015) A perspective on the potential risks of emerging contaminants to human and environmental health. Environ Sci Pollut Res 22(18):13800–13823. doi:10.1007/s11356-015-4896-6

    CAS  Article  Google Scholar 

  • Reijenga J, van Hoof A, van Loon A, Teunissen B (2013) Development of methods for the determination of pKa values. Anal Chem Insights 8:53–71. doi:10.4137/ACI.S12304

    CAS  Article  Google Scholar 

  • Rioja N, Benguria P, Peñas FJ, Zorita S (2014) Competitive removal of pharmaceuticals from environmental waters by adsorption and photocatalytic degradation. Environ Sci Pollut Res 21(19):11168–11177. doi:10.1007/s11356-014-2593-5

    CAS  Article  Google Scholar 

  • Rivera-Utrilla J, Sánchez-Polo M, Ferro-García MÁ, Prados-Joya G, Ocampo-Pérez R (2014) Pharmaceuticals as emerging contaminants and their removal from water. A review. Chemosphere 93(7):1268–1287. doi:10.1016/j.chemosphere.2013.07.059

    Article  Google Scholar 

  • Salladini A, Prisciandaro M, Barba D (2007) Ultrafiltration of biologically treated wastewater by using backflushing. Desalination 207:24–34. doi:10.1016/j.desal.2006.02.078

    CAS  Article  Google Scholar 

  • Santos JL, Aparicio I, Alonso E (2007) Occurrence and risk assessment of pharmaceutically active compounds in wastewater treatment plants. A case study: Seville city (Spain). Environ Int 33:596–601. doi:10.1016/j.envint.2006.09.014

    CAS  Article  Google Scholar 

  • Shu Z, Bolton JR, Belosevic M, El-Din MG (2013) Photodegradation of emerging micropollutants using the medium-pressure UV/H2O2 advanced oxidation process. Water Res 47:2881–2889. doi:10.1016/j.watres.2013.02.045

    CAS  Article  Google Scholar 

  • Skoumal M, Rodríguez RM, Cabot PL, Centellas F, Garrido JA, Arias C, Brillas E (2009) Electro-Fenton, UVA photoelectro-Fenton and solar photoelectro-Fenton degradation of the drug ibuprofen in acid aqueous medium using platinum and boron-doped diamond anodes. Electrochim Acta 54:2077–2085. doi:10.1016/j.electacta.2008.07.014

    CAS  Article  Google Scholar 

  • Thokchom B, Kim K, Park J, Khim J (2015) Ultrasonically enhanced electrochemical oxidation of ibuprofen. Ultrason Sonochem 22:429–436. doi:10.1016/j.ultsonch.2014.04.019

    CAS  Article  Google Scholar 

  • Trapido M, Epold I, Bolobajev J, Dulova N (2014) Emerging micropollutants in water/wastewater: growing demand on removal technologies. Environ Sci Pollut Res 21(21):12217–12222. doi:10.1007/s11356-014-3020-7

    CAS  Article  Google Scholar 

  • Vicenteño-Vera AG, Campos-Hernández T, Ramírez-Silva MT, Galano A, Rojas-Hernández A (2010) Determination of pKa values of diclofenac and ibuprofen in aqueous solutions by capillary zone electrophoresis. ECS Trans 29(1):443–448. doi:10.1149/1.3532340

    Article  Google Scholar 

  • Vione D, Maddigapu PR, De Laurentiis E, Minella M, Pazzia M, Maurino V, Minero C, Kouras S, Richard C (2011) Modelling the photochemical fate of ibuprofen in surface waters. Water Res 45:6725–6736. doi:10.1016/j.watres.2011.10.014

    CAS  Article  Google Scholar 

  • Yuan F, Hu C, Hu X, Qu J, Yang M (2009) Degradation of selected pharmaceuticals in aqueous solution with UV and UV/H2O2. Water Res 43:1766–1774. doi:10.1016/j.watres.2009.01.008

    CAS  Article  Google Scholar 

  • Zhang H, Zhang P, Ji Y, Tian J, Du Z (2015) Photocatalytic degradation of four non-steroidal anti-inflammatory drugs in water under visible light by P25-TiO2/tetraethyl orthosilicate film and determination via ultra performance liquid chromatography electrospray tandem mass spectrometry. Chem Eng J 262:1108–1115. doi:10.1016/j.cej.2014.10.019

    CAS  Article  Google Scholar 

  • Zheng BG, Zheng Z, Zhang JB, Luo XZ, Wang JQ, Liu Q, Wang LH (2011) Degradation of the emerging contaminant ibuprofen in aqueous solution by gamma irradiation. Desalination 276:379–385. doi:10.1016/j.desal.2011.03.078

    CAS  Article  Google Scholar 

Download references

Acknowledgments

Authors wish to thank professor Sante Capasso for the helpful discussion about the interpretation of the obtained results.

Author information

Affiliations

Authors

Corresponding author

Correspondence to Marina Prisciandaro.

Additional information

Responsible editor: Roland Kallenborn

Rights and permissions

Reprints and Permissions

About this article

Verify currency and authenticity via CrossMark

Cite this article

Iovino, P., Chianese, S., Canzano, S. et al. Ibuprofen photodegradation in aqueous solutions. Environ Sci Pollut Res 23, 22993–23004 (2016). https://doi.org/10.1007/s11356-016-7339-0

Download citation

  • Received:

  • Accepted:

  • Published:

  • Issue Date:

  • DOI: https://doi.org/10.1007/s11356-016-7339-0

Keywords

  • Ibuprofen
  • Photodegradation
  • Modelling
  • By-products
  • UV light