Skip to main content

Bacterial communities associated with sulfonamide antibiotics degradation in sludge-amended soil

Abstract

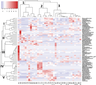
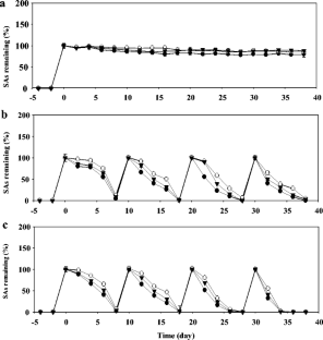
This study investigated the degradation of sulfonamide antibiotics (SAs) and microbial community changes in sludge-amended soil. In batch experiments, SA degradation was enhanced by addition of spent mushroom compost (SMC), SMC extract, and extract-containing microcapsule, with SMC showing higher SA degradation rate than the other additives in soil-sludge mixtures. In bioreactor experiments, the degradation of SAs in soil-sludge mixtures was in the order of sulfamethoxazole > sulfadimethoxine > sulfamethazine during four times of SA addition. SA removal was higher in soil-sludge mixtures than in soil alone. The bacterial composition differed in soil-sludge mixtures with and without SMC. In total, 44 differentially distributed bacterial genera were identified from different experimental settings and stages. Four bacterial genera, Acinetobacter, Alcaligenes, Brevundimonas, and Pseudomonas, were previously found involved in SA degradation, and 20 of the 44 bacterial genera were previously found in aromatic hydrocarbon degradation. Therefore, these bacteria have high potential to be SA degradation bacteria in this study.

This is a preview of subscription content, access via your institution.

Fig. 1
Fig. 2
Fig. 3
Fig. 4
Fig. 5
Fig. 6

References

  • Accinelli C, Koskinen WC, Becker JM, Sadowsky MJ (2007) Environmental fate of two sulfonamide antimicrobial agents in soil. J Agric Food Chem 55:2677–1682. doi:10.1021/jf063709j

    CAS  Article  Google Scholar 

  • Allen HK, Donato J, Wang HH, Cloud-Hansen KA, Davies J, Handelsman J (2010) Call of the wild: antibiotic resistance genes in natural environment. Nat Rev Microbiol 8:251–259. doi:10.1038/nrmicro2312

    CAS  Article  Google Scholar 

  • Bacosa HP, Inoue C (2015) Polycyclic aromatic hydrocarbons (PAHs) biodegradation potential and diversity of microbial consortia enriched from tsunami sediments in Miyagi, Japan. J Hazard Mater 283:689–697. doi:10.1016/j.jhazmat.2014.09.068

    CAS  Article  Google Scholar 

  • Baldrian P (2006) Fungal laccases occurrence and properties. FEMS Microbiol Rev 30:215–242. doi:10.1111/j.1574-4976.2005.00010.x

    CAS  Article  Google Scholar 

  • Chang BV, Ren YL (2015) Biodegradation of three tetracyclines in river sediment. Ecol Eng 75:272–277. doi:10.1016/j.ecoleng.2014.11.039

    Article  Google Scholar 

  • Chang SW, Hyman MR, Williamson KJ (2002) Cooxidation of naphthalene and other polycyclic aromatic hydrocarbons by the nitrifying bacterium, Nitrosomonas europaea. Biodegradation 13:373–381. doi:10.1023/A:1022811430030

    CAS  Article  Google Scholar 

  • Chen C, Lei W, Lu M, Zhang J, Zhang Z, Luo C, Chen Y, Hong Q, Shen Z (2016) Characterization of Cu(II) and Cd(II) resistance mechanisms in Sphingobium sp. PHE-SPH and Ochrobactrum sp. PHE-OCH and their potential application in the bioremediation of heavy metal-phenanthrene co-contaminated sites. Environ Sci Pollut Res 23:6861–6872. doi:10.1007/s11356-015-5926-0

    CAS  Article  Google Scholar 

  • Clarke BO, Smith SR (2011) Review of ‘emerging’ organic contaminants in biosolids and assessment of international research priorities for the agricultural use of biosolids. Environ Int 37:226–247. doi:10.1016/j.envint.2010.06.004

    CAS  Article  Google Scholar 

  • Ferreira L, Cobas M, Tavares T, Sanroman MA, Pazos M (2013) Assessment of Arthrobacter viscosus as reactive medium for forming permeable reactive biobarrier applied to PAHs remediation. Environ Sci Pollut Res 20:7348–7354. doi:10.1007/s11356-013-1750-6

    CAS  Article  Google Scholar 

  • Gallego S, Vila J, Tauler M, Nieto JM, Breugelmans P, Springael D, Grifoll M (2014) Community structure and PAH ring-hydroxylating dioxygenase genes of a marine pyrene-degrading microbial consortium. Biodegradation 25:543–556. doi:10.1007/s10532-013-9680-z

    CAS  Article  Google Scholar 

  • Guermouche M’rassi A, Bensalah F, Gury J, Duran R (2015) Isolation and characterization of different bacterial strains for bioremediation of n-alkanes and polycyclic aromatic hydrocarbons. Environ Sci Pollut Res 22:15332–15346. doi:10.1007/s11356-015-4343-8

    Article  Google Scholar 

  • Haritash AK, Kaushik CP (2009) Biodegradation aspects of polycyclic aromatic hydrocarbons (PAHs): a review. J Hazard Mater 169:1–15. doi:10.1016/j.jhazmat.2009.03.137

    CAS  Article  Google Scholar 

  • Herzog B, Lemmer H, Horn H, Muller E (2013) Characterization of pure cultures isolated from sulfamethoxazole-acclimated activated sludge with respect to taxonomic identification and sulfamethoxazole biodegradation potential. BMC Microbiol 13:276. doi:10.1186/1471-2180-13-276

    Article  Google Scholar 

  • Hou J, Liu W, Wang B, Wang Q, Luo Y, Franks AE (2015) PGPR enhanced phytoremediation of petroleum contaminated soil and rhizosphere microbial community response. Chemosphere 138:592–598. doi:10.1016/j.chemosphere.2015.07.025

    CAS  Article  Google Scholar 

  • Hsu FY, Wang ZY, Chang BV (2013) Use of microcapsules with electrostatically immobilized bacterial cells or enzyme extract to remove nonylphenol in wastewater sludge. Chemosphere 91:745–750. doi:10.1016/j.chemosphere.2013.02.019

    CAS  Article  Google Scholar 

  • Huang Y, Zeng Y, Feng H, Wu Y, Xu X (2015) Croceicoccus naphthovorans sp. nov., a polycyclic aromatic hydrocarbons-degrading and acylhomoserine-lactone- producing bacterium isolated from marine biofilm, and emended description of the genus Croceicoccus. Int J Syst Evol Microbiol 65:1531–1536. doi:10.1099/ijs.0.000132

    CAS  Article  Google Scholar 

  • Islas-Espinoza M, Reid BJ, Wexler M, Bond PL (2012) Soil bacterial consortia and previous exposure enhance the biodegradation of sulfonamides from pig manure. Microb Ecol 64:140–151. doi:10.1007/s00248-012-0010-5

    CAS  Article  Google Scholar 

  • Kaci A, Petit F, Fournier M, Cecillon S, Boust D, Lesueur P, Berthe T (2015) Diversity of active microbial communities subjected to long-term exposure to chemical contaminants along a 40-year-old sediment core. Environ Sci Pollut Res 23:4095–4110. doi:10.1007/s11356-015-4506-7

    Article  Google Scholar 

  • Kolpin DW, Furlong ET, Meyer MT, Thurman EM, Zaugg SD, Barber LB, Buxton HT (2002) Pharmaceuticals, hormones, and other organic wastewater contaminants in US streams, 1999–2000: a national reconnaissance. Environ Sci Technol 36:1202–1211. doi:10.1021/es011055j

    CAS  Article  Google Scholar 

  • Kweon O, Kim SJ, Blom J, Kim SK, Kim BS, Baek DH, Park SI, Sutherland JB, Cerniglia CE (2015) Comparative functional pan-genome analyses to build connections between genomic dynamics and phenotypic evolution in polycyclic aromatic hydrocarbon metabolism in the genus Mycobacterium. BMC Evol Biol 15:21–44. doi:10.1186/s12862-015-0302-8

    Article  Google Scholar 

  • Lau KL, Tsang YY, Chiu SW (2003) Use of spent mushroom compost to bioremediate PAH-contaminated samples. Chemosphere 52:1539–1546. doi:10.1016/S0045-6535(03)00493-4

    CAS  Article  Google Scholar 

  • Lee SM, Koo BW, Lee SS, Kim MK, Choi DH, Hong EJ, Jeung EB, Choi IG (2004) Biodegradation of dibutyl phthalate by white rot fungi and evaluation on its estrogenic activity. Enzym Microb Technol 35:417–423. doi:10.1016/j.enzmictec.2004.06.001

    CAS  Article  Google Scholar 

  • Li XZ, Lin XG, Zhang J, YC W, Yin R, Feng YZ, Wang Y (2010) Degradation of polycyclic aromatic hydrocarbons by crude extracts from spent mushroom substrate and its possible mechanisms. Curr Microbiol 60:336–342. doi:10.1007/s00284-009-9546-0

    CAS  Article  Google Scholar 

  • Liao CS, Yuan SY, Hung BH, Chang BV (2012) Removal of organic toxic chemicals using the spent mushroom compost of Ganoderma lucidum. J Environ Monit 14:1983–1988. doi:10.1039/c2em10910g

    CAS  Article  Google Scholar 

  • Muangchinda C, Chavanich S, Viyakarn V, Watanabe K, Imura S, Vangnai AS, Pinyakong O (2015) Abundance and diversity of functional genes involved in the degradation of aromatic hydrocarbons in Antarctic soils and sediments around Syowa Station. Environ Sci Pollut Res 22:4725–4735. doi:10.1007/s11356-014-3721-y

    CAS  Article  Google Scholar 

  • Nieto A, Borrull F, Pocurull E, Marce RM (2010) Occurrence of pharmaceuticals and hormones in sewage sludge. Environ Toxicol Chem 29:1484–1489. doi:10.1002/etc.188

    CAS  Article  Google Scholar 

  • Oberoi AS, Philip L, Bhallamudi SM (2015) Biodegradation of various aromatic compounds by enriched bacterial cultures: part A—monocyclic and polycyclic aromatic hydrocarbons. Appl Biochem Biotechnol 176:1870–1888. doi:10.1007/s12010-015-1684-1

    CAS  Article  Google Scholar 

  • Pepper LL, Gerba CP, Gentry TJ (2015) Environmental microbiology. In: Maier MM, Gentry TJ (eds) Microorganisms and organic pollutants. Elsevier Inc, CA, pp. 377–413

    Google Scholar 

  • Semple KT, Reid BJ, Fermor TR (2001) Impact of composting strategies on the treatment of soils contaminated with organic pollutants. Environ Pollut 112:269–283. doi:10.1016/S0269-7491(00)00099-3

    CAS  Article  Google Scholar 

  • Song M, Luo C, Jiang L, Zhang D, Wang Y, Zhang G (2015) Identification of benzo[a]pyrene-metabolizing bacteria in forest soils by using DNA-based stable-isotope probing. Appl Environ Microbiol 81:7368–7376. doi:10.1128/AEM.01983-15

    CAS  Article  Google Scholar 

  • Song M, Jiang L, Zhang D, Luo C, Wang Y, Yu Z, Yin H, Zhang G (2016) Bacteria capable of degrading anthracene, phenanthrene, and fluoranthene as revealed by DNA based stable-isotope probing in a forest soil. J Hazard Mater 308:50–57. doi:10.1016/j.jhazmat.2016.01.009

    CAS  Article  Google Scholar 

  • Sukul P, Spiteller M (2006) Sulfonamides in the environment as veterinary drugs. Rev Environ Contam Toxicol 187:67–101. doi:10.1007/0-387-32885-8_2

    CAS  Google Scholar 

  • Tang X, He LY, Tao XQ, Dang Z, Guo CL, GN L, Yi XY (2010) Construction of an artificial microalgal-bacterial consortium that efficiently degrades crude oil. J Hazard Mater 181:1158–1162. doi:10.1016/j.jhazmat.2010.05.033

    CAS  Article  Google Scholar 

  • Teng Y, Luo Y, Sun M, Liu Z, Li Z, Christie P (2010) Effect of bioaugmentation by Paracoccus sp. strain HPD-2 on the soil microbial community and removal of polycyclic aromatic hydrocarbons from an aged contaminated soil. Bioresour Technol 101:3437–3443. doi:10.1016/j.biortech.2009.12.088

    CAS  Article  Google Scholar 

  • Wang QQ, Guo MX, Yates SR (2006) Degradation kinetics of manure-derived sulfadimethoxine in amended soil. J Agric Food Chem 54:157–163. doi:10.1021/jf052216w

    CAS  Article  Google Scholar 

  • Xiao J, Guo L, Wang S, Lu Y (2010) Comparative impact of cadmium on two phenanthrene-degrading bacteria isolated from cadmium and phenanthrene co-contaminated soil in China. J Hazard Mater 174:818–823. doi:10.1016/j.jhazmat.2009.09.126

    CAS  Article  Google Scholar 

  • Xu M, Chen X, Qiu M, Zeng X, Xu J, Deng D, Sun G, Li X, Guo J (2012) Bar-coded pyrosequencing reveals the responses of PBDE-degrading microbial communities to electron donor amendments. PLoS One 7:e30439. doi:10.1371/journal.pone.0030439

    CAS  Article  Google Scholar 

  • Yan P, Lu M, Guan Y, Zhang W, Zhang Z (2011) Remediation of oil-based drill cuttings through a biosurfactant-based washing followed by a biodegradation treatment. Bioresour Technol 102:10252–10259. doi:10.1016/j.biortech.2011.08.074

    CAS  Article  Google Scholar 

  • Yang JF, Ying GG, Yang LH, Zhao JL, Liu F, Tao R (2009) Degradation behavior of sulfadiazine in soils under different conditions. J Environ Sci Health B 44:241–248. doi:10.1080/03601230902728245

    CAS  Article  Google Scholar 

  • Yang SF, Lin CF, Lin AYC, Hong PKA (2011) Sorption and biodegradation of sulfonamide antibiotics by activated sludge: experimental assessment using batch data obtained under aerobic conditions. Water Res 45:3389–3397. doi:10.1016/j.watres.2011.03.052

    CAS  Article  Google Scholar 

  • Yang CW, Huang HW, Chao WL, Chang BV (2015a) Bacterial communities associated with aerobic degradation of polybrominated diphenyl ethers from river sediment. Environ Sci Pollut Res 22:3810–3819. doi:10.1007/s11356-014-3626-9

    CAS  Article  Google Scholar 

  • Yang Y, Wang Z, He T, Dai Y, Xie S (2015b) Sediment bacterial communities associated with anaerobic biodegradation of bisphenol-A. Microb Ecol 70:97–104. doi:10.1007/s00248-014-0551-x

    CAS  Article  Google Scholar 

  • Yuan H, Yao J, Masakorala K, Wang F, Cai M, Yu C (2014) Isolation and characterization of a newly isolated pyrene-degrading Acinetobacter strain USTB-X. Environ Sci Pollut Res 21:2724–2732. doi:10.1007/s11356-013-2221-9

    CAS  Article  Google Scholar 

  • Zhang WW, Wen YY, Niu ZL, Yin K, DX X, Chen LX (2012) Isolation and characterization of sulfonamide-degrading bacteria Escherichia sp. HS21 and Acinetobacter sp. HS51. World J Microbiol Biotechnol 28:447–452. doi:10.1007/s11274-011-0834-z

    CAS  Article  Google Scholar 

Download references

Acknowledgments

This research was supported by the Ministry of Science and Technology, Republic of China, Taiwan (grant no. MOST 104-2313-B-031-001-MY3 and MOST 104-2632-B-031- 001).

Author information

Affiliations

Authors

Corresponding author

Correspondence to Bea-Ven Chang.

Ethics declarations

Conflict of interest

The authors declare that they have no conflict of interest.

Additional information

Responsible editor: Robert Duran

Rights and permissions

Reprints and Permissions

About this article

Verify currency and authenticity via CrossMark

Cite this article

Yang, CW., Hsiao, WC., Fan, CH. et al. Bacterial communities associated with sulfonamide antibiotics degradation in sludge-amended soil. Environ Sci Pollut Res 23, 19754–19763 (2016). https://doi.org/10.1007/s11356-016-7187-y

Download citation

  • Received:

  • Accepted:

  • Published:

  • Issue Date:

  • DOI: https://doi.org/10.1007/s11356-016-7187-y

Keywords

  • Sulfonamide antibiotics
  • Degradation
  • Bacterial community
  • Spent mushroom compost
  • Sludge-amended soil