Skip to main content

Is foliar spray of proline sufficient for mitigation of salt stress in Brassica juncea cultivars?

Abstract

The effects of foliar application of proline (20 mM) on growth, physio-biochemical, and yield parameters were assessed in two Brassica juncea (L.) Czern & Coss cultivars, namely, Varuna and RH-30, at different levels (2.8, 4.2, or 5.6 dsm−1) of NaCl in soil. At 29 days after sowing (DAS), plants were sprayed with either 20 mM proline or water in the presence or absence of NaCl stress. The NaCl negatively affected parameters related to growth, photosynthesis, and yield in both varieties but more in RH-30 than in Varuna. Exogenous application of proline counteracted the effects of salt stress in Varuna only, by increasing the antioxidative capacity of the plants. Moreover, proline was not effective in alleviating the detrimental effects of higher salt concentrations on the studied parameters. Proline application to unstressed plants increased growth, photosynthesis, and yield parameters in both varieties; however, the effects were more prominent in Varuna than in RH-30.

This is a preview of subscription content, access via your institution.

Fig. 1
Fig. 2
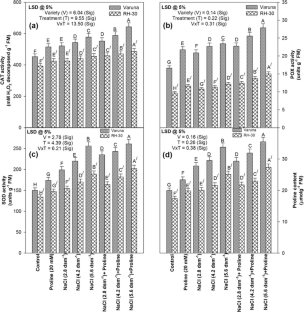
Fig. 3
Fig. 4
Fig. 5

References

  • Aggarwal M, Sharma S, Kaur N, Pathania D, Bhandhari K, Kaushal N, Kaur R, Singh K, Srivastava A, Nayyar H (2011) Exogenous proline application reduces phytotoxic effects of selenium by minimising oxidative stress and improves growth in bean (Phaseolus vulgaris L.) seedlings. Biol Trace Elem Res 140:354–367

    CAS  Article  Google Scholar 

  • Ahmad P, Hakeem KUR, Kumar A, Ashraf M, Akram NA (2012) Salt-induced changes in photosynthetic activity and oxidative defense system of three cultivars of mustard (Brassica juncea L.). Afr J Biotechnol 11:2694–2703

    CAS  Google Scholar 

  • Ahmed CB, Magdich S, Rouina BB, Sensoy S, Boukhris M, Abdullah FB (2011) Exogenous proline effects on water relations and ions contents in leaves and roots of young olive. Amino Acids 40:565–573

    Article  Google Scholar 

  • Ahmed CB, Rouina BB, Sensoy S, Boukhriss M, Abdullah FB (2010) Exogenous proline effects on photosynthetic performance and antioxidant defense system of young olive tree. J Agric Food Chem 58:4216–4222

    Article  Google Scholar 

  • Akbari Ghogdi E, Izadi-Darbandi A, Borzouei A (2012) Effects of salinity on some physiological traits in wheat (Triticum aestivum L.) cultivars. Ind J Sci Technol 5:1901–1906

    Google Scholar 

  • Akram NA, Ashraf M (2011) Pattern of accumulation of inorganic elements in sunflower (Helianthus annuus L.) plants subjected to salt stress and exogenous application of 5-aminolevulinic acid. Pak J Bot 43:521–530

    CAS  Google Scholar 

  • Ali Q, Ashraf M, Athar HUR (2007) Exogenously applied proline at different growth stages enhances growth of two maize cultivars grown under water deficit conditions. Pak J Bot 39:1133–1144

    Google Scholar 

  • Arbona V, Marco AJ, Ijlesias DJ, Lopez-Climent MF, Talon M, Gómez-Coudenas A (2005) Carbohydrate depletion in roots and leavers of salt stressed potted Citrus clemtina L. Plant Growth Regul 46:153–160

    CAS  Article  Google Scholar 

  • Ashraf M (2004) Some important physiological selection criteria for salt tolerance in plants. Flora 199:361–376

    Article  Google Scholar 

  • Ashraf M (2009) Biotechnological approach of improving plant salt tolerance using antioxidants as markers. Biotechnol Adv 27:84–93

    CAS  Article  Google Scholar 

  • Ashraf M, Athar HR, Harris PJC, Kwon TR (2008) Some prospective strategies for improving crop salt tolerance. Adv Agron 97:45–110

    CAS  Article  Google Scholar 

  • Ashraf M, Foolad MR (2007) Roles of glycine betaine and proline in improving plant abiotic stress resistance. Environ Exp Bot 59:206–216

    CAS  Article  Google Scholar 

  • Athar HR, Ashraf M (2005) Photosynthesis under drought stress. In: Pessarakli M (ed) Handbook of photosynthesis. CRC Press, Taylor and Francis Group, New York, pp 793–804

    Google Scholar 

  • Badger M (2003) The roles of carbonic anhydrases in photosynthetic CO2 concentrating mechanisms. Photosynth Res 77:83–94

    CAS  Article  Google Scholar 

  • Bates LS, Waldren RP, Teare ID (1973) Rapid determination of free proline for water stress studies. Plant Sci 39:205–207

    CAS  Google Scholar 

  • Beauchamp LO, Fridovich I (1971) Superoxide dismutase improved assays and assay applicable to acrylamide gels. Ann Biochem 44:276–287

    CAS  Article  Google Scholar 

  • Chance B, Maehly AC (1956) Assay of catalase and peroxidase. Methods Enzymol 2:764–775

    Article  Google Scholar 

  • Chen C, Huang D, Liu J (2009) Functions and toxicity of nickel in plants: recent advances and future prospects. Clean-Soil Air Water 37:304–313

    CAS  Article  Google Scholar 

  • Chen H, Jiang JG (2009) Osmotic responses of Dunaliella to the changes of salinity. J Cell Physiol 219:251–258

    CAS  Article  Google Scholar 

  • Claussen W (2005) Proline as measure of stress in tomato plants. Plant Sci 168:241–248

    CAS  Article  Google Scholar 

  • Cuin TA, Shabala S (2007) Compatible solutes reduce ROS-induced potassium efflux in Arabidopsis roots. Plant Cell Environ 30:875–885

    CAS  Article  Google Scholar 

  • Deivanai S, Xavier R, Vinod V, Timalata K, Lim OF (2011) Role of exogenous proline in ameliorating salt stress at early stage in two rice cultivars. J Stress Physiol Biochem 7:157–174

    Google Scholar 

  • Dwivedi RS, Randhawa NS (1974) Evaluation of rapid test for the hidden hunger of zinc in plants. Plant Soil 40:445–451

    CAS  Article  Google Scholar 

  • Hare PD, Cress WA, van Staden J (1998) Dissecting the roles of osmolyte accumulation during stress. Plant Cell Environ 21:535–553

    CAS  Article  Google Scholar 

  • Hasegawa PM, Bressan RA, Zhu JK, Bohnert HJ (2000) Plant cellular and molecular responses to high salinity. Annu Rev Plant Biol 51:463–499

    CAS  Article  Google Scholar 

  • Hayat S, Hayat Q, Alyemeni MN, Wani AS, Pitchel J, Ahmad A (2012) Role of proline under changing environments: a review. Plant Signal Behav 7:1456–1466

    CAS  Article  Google Scholar 

  • Hayat S, Mir BA, Wani AS, Hasan SA, Irfan M, Ahmad A (2011) Screening of salt tolerant genotypes of Brassica juncea based on photosynthetic attributes. J Plant Interact 6:53–60

    CAS  Article  Google Scholar 

  • Hayat S, Yadav S, Wani AS, Irfan M, Ahmad A (2010) Response of tomato to two possible modes of salinity stress—a comparative analysis. J Soil Salinity Water Qual 2:84–90

    Google Scholar 

  • Heidari M (2012) Effects of salinity stress on growth, chlorophyll content and osmotic components of two basil (Ocimum basilicum L.) genotypes. Afr J Biotechnol 11:379–384

    CAS  Google Scholar 

  • Huang Z, Zhao L, Chen D, Liang M, Liu Z, Shao H, Long X (2013) Salt stress encourages proline accumulation by regulating proline biosynthesis and degradation in Jerusalem artichoke plantlets. PLoS One 8(4):e62085. doi:10.1371/journal.Pone.0062085

    CAS  Article  Google Scholar 

  • Iqbal M, Ashraf M (2013) Gibberellic acid mediated induction of salt tolerance in wheat plants: growth, ionic partitioning, photosynthesis, yield and hormonal homeostasis. Environ Exp Bot 86:76–85

    CAS  Article  Google Scholar 

  • Irigoyen JJ, Emerich DW, Sanchez-Diaz M (1992) Water stress induced changes in concentration of proline and total soluble sugars in nodulated alfalfa (Medicago sativa) plants. Physiol Plant 84:55–64

    CAS  Article  Google Scholar 

  • Islam MM, Hoque MA, Okuma E, Banu MNA, Shimoishi Y, Nakamura Y, Murata Y (2009) Exogenous proline and glycinebetaine increase antioxidant enzyme activities and confer tolerance to cadmium stress in cultured tobacco cells. J Plant Physiol 166:1587–1597

    CAS  Article  Google Scholar 

  • Iyengar ERR, Reddy MP (1996) Photosynthesis in high salt tolerant plants. In: Pesserkali M (ed) Hand Book of Photosynthesis. Marshal Deker. Baten Rose, USA, pp. 56–65

  • Jain M, Mathur G, Koul S, Sarin NB (2001) Ameliorative effects of proline on salt stress-induced lipid peroxidation in cell lines of groundnut (Arachis hypogea L.). Plant Cell Rep 20:463–468

    CAS  Article  Google Scholar 

  • Kamran M, Shahbaz M, Ashraf M, Akram NA (2009) Alleviation of drought-induced adverse effects in spring wheat (Triticum aestivum L.) using proline as a pre-sowing seed treatment. Pak J Bot 41:621–632

    Google Scholar 

  • Kanwal H, Ashraf M, Shahbaz M (2011) Assessment of salt tolerance of some newly developed and candidate wheat (Triticum aestivum L.) cultivars using gas exchange and chlorophyll fluorescence attributes. Pak J Bot 43:2693–2699

    CAS  Google Scholar 

  • Khedr AHA, Abbas MA, Wahid AAA, Quick WP, Abogadallah GM (2003) Proline induces the expression of salt-stress-responsive proteins and may improve the adaptation of Pancratium maritimum L. to salt-stress. J Exp Bot 54:2553–2562

    CAS  Article  Google Scholar 

  • Kiyosue T, Yoshiba Y, Yamaghuchi-Shinozaki K, Shinozaki K (1996) A nuclear gene encoding mitochondrial proline dehydrogenase, an enzyme involved in proline metabolism, is upregulated by proline but down regulated by dehydration in Arabidopsis. Plant Cell 8:1323–1335

    CAS  Article  Google Scholar 

  • Liu W, Ming Y, Li P, Huang Z (2012) Inhibitory effects of hypo-osmotic stress on extracellular carbonic anhydrase and photosynthetic efficiency of green alga Dunaliella salina possibly through reactive oxygen species formation. Plant Physiol Biochem 54:43–48

    CAS  Article  Google Scholar 

  • Lu KX, Cao BH, Feng XP, He Y, Jiang DA (2009) Photosynthetic response of salt tolerant and sensitive soybean varieties. Photosynthetica 47:381–387

    CAS  Article  Google Scholar 

  • Majeau N, Coleman JR (1994) Correlation of carbonic anhydrase and ribulose-1,5-bisphosphate carboxylase/oxygenase expression in pea. Plant Physiol 104:1393–1399

    CAS  Google Scholar 

  • Megdiche W, Hessini K, Gharbi F, Jaleel CA, Ksouri R, Abdelly C (2008) Photosynthesis and photosystem-2 efficiency of two salt-adapted halophytic seashore Cakile maritima ecotypes. Photosynthetica 46:410–419

    CAS  Article  Google Scholar 

  • Mehta P, Jajoo A, Mathur S, Bharti S (2010) Chlorophyll-a fluorescence study revealing effects of high salt stress on photosystem II in wheat leaves. Plant Physiol Biochem 48:16–20

    CAS  Article  Google Scholar 

  • Moustakas M, Sperdouli I, Kouna T, Antonopoulou CI, Therios I (2011) Exogenous proline induces soluble sugar accumulation and alleviates drought stress effects on photosystem II functioning of Arabidopsis thaliana leaves. Plant Growth Regul 65:315–325

    CAS  Article  Google Scholar 

  • Noreen S, Ashraf M, Hussain M, Jamil A (2009) Exogenous application of salicylic acid enhances antioxidative capacity in salt stressed sunflower (Helianthus annuus L.) plants. Pak J Bot 41:473–479

    CAS  Google Scholar 

  • Nounjan N, Nghia PT, Theerakulpisut P (2012) Exogenous proline and trehalose promote recovery of rice seedlings from salt-stress and differentially modulate antioxidant enzymes and expression of related genes. J Plant Physiol 169:596–604

    CAS  Article  Google Scholar 

  • Okuma E, Murakami Y, Shimoishi Y, Tada M, Murata Y (2004) Effects of exogenous application of proline and betaine on the growth of tobacco cultured cells under saline conditions. Soil Sci Plant Nutr 50:1301–1305

    CAS  Article  Google Scholar 

  • Oukarroum A, El Madidi S, Strasser RJ (2012) Exogenous glycine betaine and proline play a protective role in heat-stressed barley leaves (Hordeum vulgare L.): a chlorophyll-a fluorescence study. Plant Biosyst 146:1037–1043

    Article  Google Scholar 

  • Paleg LG, Doughlas TJ, van Daal A, Keech DB (1981) Proline and betaine protect enzymes against heat inactivation. Aust J Plant Physiol 8:107–114

    CAS  Google Scholar 

  • Pitann B, Schubert S, Mühling KH (2009) Decline in leaf growth under salt stress is due to an inhibition of H+ pumping activity and increase in apoplastic pH of maize leaves. J Plant Nutr Soil Sci 172:535–543

    CAS  Article  Google Scholar 

  • Sabir P, Ashraf M, Akram NA (2011) Accession variation for salt tolerance in proso millet (Panicum miliaceum L.) using leaf proline content and activities of some key antioxidant enzymes. J Agron Crop Sci 197:340–347

    CAS  Article  Google Scholar 

  • Sahu S, Das P, Ray M, Sabat SC (2010) Osmolyte modulated enhanced rice leaf catalase activity under salt-stress. Adv Biosci Biotechnol 1:39–46

    CAS  Article  Google Scholar 

  • Saleem M, Ashraf M, Akram NA (2011) Salt (NaCl) induced modulation in some key physio-biochemical attributes in okra (Abelmoschus esculentus L.). J Agron Crop Sci 197:202–213

    CAS  Article  Google Scholar 

  • Santos MA, Camara R, Rodriguez P, Glaparols I, Torne JM (1996) Influence of exogenous maize callus subjects to salt stress. Plant Cell Tiss Org Cult 47:59–65

    CAS  Article  Google Scholar 

  • Shahbaz M, Mushtaq Z, Andaz F, Masood A (2013) Does proline application ameliorate adverse effects of salt stress on growth, ions and photosynthetic ability of eggplant (Solanum melongena L.)? Sci Hortic 164:507–511

    CAS  Article  Google Scholar 

  • Sharma P, Jha AB, Dubey RS (2010) Oxidative stress and antioxidative defense system in plants growing under abiotic stresses. In: Pessarakli M (ed) Handbook of plant and crop stress, 3rd edn. CRC Press, Florida, pp 89–138

    Chapter  Google Scholar 

  • Sharma P, Jha AB, Dubey RS, Pessarakli M (2012) Reactive oxygen species, oxidative damage, and antioxidative defense mechanism in plants under stressful conditions. J Bot. doi:10.1155/2012/217037

    Google Scholar 

  • Shu S, Guo SR, Sun J, Yuan LY (2012) Effects of salt stress on the structure and function of the photosynthetic apparatus in Cucumis sativus and its protection by exogenous putrescine. Physiol Plant 146:285–296

    CAS  Article  Google Scholar 

  • Slathia S, Sharma A, Choudhary SP (2012) Influence of exogenously applied epibrassinolide and putrescine on protein content, antioxidant enzymes and lipid peroxidation in Lycopersicon esculentum under salinity stress. Am J Plant Sci 3:714–720

    CAS  Article  Google Scholar 

  • Sullivan CY, Ross WM (1979) Selection for drought and heat tolerance in grain sorghum. In: Mussel H, Staples RC (eds) Stress physiology in crop plants. John Wiley & Sons, New York, pp 263–281

    Google Scholar 

  • Szabados L, Savoure A (2009) Proline: a multifunctional amino acid. Trends Plant Sci 15:89–97

    Article  Google Scholar 

  • Wang M, Jiang W, Yu H (2010) Effects of exogenous epibrassinolide on photosynthetic characteristics in tomato (Lycopersicon esculentum Mill) seedlings under weak light stress. J Agri Food Chem 8:3642–3645

    Article  Google Scholar 

  • Wani AS, Ahmad A, Hayat S, Fariduddin Q (2013) Salt-induced modulation in growth, photosynthesis and antioxidant system in two varieties of Brassica juncea. Saudi J Biol Sci 20:183–193

    CAS  Article  Google Scholar 

  • Wani AS, Irfan M, Hayat S, Ahmad A (2012) Response of two mustard (Brassica juncea L.) cultivars differing in photosynthetic capacity subjected to proline. Protoplasma 249:75–87

    CAS  Article  Google Scholar 

  • Wu XX, Ding HD, Zhu ZW, Yang SJ, Zha DS (2012) Effects of 24-epibrassinolide on photosynthesis of eggplant (Solanum melongena L.) seedlings under salt stress. Afr J Biotechnol 11:8665–8671

    CAS  Article  Google Scholar 

  • Yan Z, Guo S, Shu S, Sun J, Tezuka T (2011) Effects of proline on photosynthesis, root reactive oxygen species (ROS) metabolism in two melon cultivars (Cucumis melo L.) under NaCl stress. Afr J Biotechnol 10:18381–18390

    CAS  Article  Google Scholar 

  • Yancey PH (1994) Compatible and counteracting solutes. In: Strange K (ed) Cellular and molecular physiology of cell volume regulation. CRC Press, Boca Raton, pp 81–109

    Google Scholar 

  • Yang SL, Lan SS, Gong M (2009) Hydrogen peroxide-induced proline and metabolic pathway of its accumulation in maize seedlings. J Plant Physiol 166:1694–1699

    CAS  Article  Google Scholar 

  • Yang XH, Lu CM (2005) Photosynthesis is improved by exogenous glycine betaine in salt-stressed maize plants. Physiol Plant 124:343–352

    CAS  Article  Google Scholar 

  • Zhu M, Xu A, Yuan M, Huang CH, Yu Z, Wang L, Yu J (1990) Effects of amino acids on callus differentiation in barley anther culture. Plant Cell Tiss Org Cult 22:201–204

    CAS  Article  Google Scholar 

Download references

Acknowledgments

Dr. Arif Shafi Wani thanks SERB, DST, New Delhi, India, for providing a fellowship under the Young Scientist (SB/YS/LS-389/2013) Program. Authors are also thankful to the Prof. John Pichtel, Natural Resources and Environmental Management, West Quad, Room 110, Ball State University, Muncie, IN 47306, for the English corrections.

Author information

Affiliations

Authors

Corresponding author

Correspondence to S. Hayat.

Additional information

Responsible editor: Philippe Garrigues

Rights and permissions

Reprints and Permissions

About this article

Verify currency and authenticity via CrossMark

Cite this article

Wani, A.S., Ahmad, A., Hayat, S. et al. Is foliar spray of proline sufficient for mitigation of salt stress in Brassica juncea cultivars?. Environ Sci Pollut Res 23, 13413–13423 (2016). https://doi.org/10.1007/s11356-016-6533-4

Download citation

  • Received:

  • Accepted:

  • Published:

  • Issue Date:

  • DOI: https://doi.org/10.1007/s11356-016-6533-4

Keywords

  • Antioxidant system
  • Net photosynthetic rate
  • Electrolyte leakage
  • Yield
  • Maximum quantum yield of PSII
  • Leaf water potential