Skip to main content

Plant tolerance to mercury in a contaminated soil is enhanced by the combined effects of humic matter addition and inoculation with arbuscular mycorrhizal fungi

Abstract

In a greenhouse pot experiment, lettuce plants (Lactuca sativa L.) were grown in a Hg-contaminated sandy soil with and without inoculation with arbuscular mycorrhizal fungi (AMF) (a commercial inoculum containing infective propagules of Rhizophagus irregularis and Funneliformis mosseae) amended with different rates of a humic acid (0, 1, and 2 g kg−1 of soil), with the objective of verifying the synergistic effects of the two soil treatments on the Hg tolerance of lettuce plants. Our results indicated that the plant biomass was significantly increased by the combined effect of AMF and humic acid treatments. Addition of humic matter to soil boosted the AMF effect on improving the nutritional plant status, enhancing the pigment content in plant leaves, and inhibiting both Hg uptake and Hg translocation from the roots to the shoots. This was attributed not only to the Hg immobilization by stable complexes with HA and with extraradical mycorrhizal mycelium in soil and root surfaces but also to an improved mineral nutrition promoted by AMF. This work indicates that the combined use of AMF and humic acids may become a useful practice in Hg-contaminated soils to reduce Hg toxicity to crops.

This is a preview of subscription content, access via your institution.

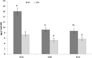
Fig. 1
Fig. 2

References

  • Adriano DC (2001) Trace elements in terrestrial environments. Springer, New York, pp 1–27

    Chapter  Google Scholar 

  • Andrade SA, Gratao PL, Azevedo RA, Silveira AP, Schiavinato MA, Mazzafera P (2010) Biochemical and physiological changes in jack bean under mycorrhizal symbiosis growing in soil with increasing Cu concentrations. Environ Exp Bot 68:198–207

    CAS  Article  Google Scholar 

  • Beauford W, Barber J, Barringer AR (1977) Uptake and distribution of mercury within higher plants. Physiol Plant 39:261–265

    CAS  Article  Google Scholar 

  • Bothe H, Regvar M, Turnau K (2010) Arbuscular mycorrhiza, heavy metal and salt tolerance. In: Sherameti I, Varma A (eds) Soil heavy metals. Springer, Heidelberg, pp 87–111

    Chapter  Google Scholar 

  • Canellas LP, Olivares FL (2014) Physiological responses to humic substances as plant growth promoter. Chemical and Biological Technologies in Agriculture 1:3

    Article  Google Scholar 

  • Cavallini A, Natali L, Durante M, Maserti B (1999) Mercury uptake, distribution and DNA affinity in durum wheat (Triticum durum Desf.) plants. Sci Total Environ 243:119–127

    Article  Google Scholar 

  • Chakraborty P, Vudamala K, Coulibaly M, Ramteke D, Chennuri K, Lean D (2015) Reduction of mercury (II) by humic substances—influence of pH, salinity of aquatic system. Environ Sci Pollut Res 22:10529–10538

    CAS  Article  Google Scholar 

  • Chen J, Shiyab S, Han FX, Monts DL, Waggoner CA, Yang Z, Su Y (2009) Bioaccumulation and physiological effects of mercury in Pteris vittata and Nephrolepis exaltata. Ecotoxicology 18:110–121

    CAS  Article  Google Scholar 

  • Cho UH, Park JO (2000) Mercury-induced oxidative stress in tomato seedlings. Plant Sci 156:1–9

    CAS  Article  Google Scholar 

  • Cornejo P, Pérez-Tienda J, Meier S, Valderas A, Borie F, Azcón-Aguilar C, Ferrol N (2013) Copper compartmentalization in spores as a survival strategy of arbuscular mycorrhizal fungi in Cu-polluted environments. Soil Biol Biochem 57:925–928

    CAS  Article  Google Scholar 

  • Cozzolino A, Piccolo A (2002) Polymerization of dissolved humic substances catalyzed by peroxidase. Effects of pH and humic composition. Org Geochem 33:281–294

    CAS  Article  Google Scholar 

  • Cozzolino V, Pigna M, Di Meo V, Caporale AG, Violante A (2010) Effects of arbuscular mycorrhizal inoculation and phosphorus supply on the growth of Lactuca sativa L. and arsenic and phosphorus availability in an arsenic polluted soil under non-sterile conditions. Appl Soil Ecol 45:262–268

    Article  Google Scholar 

  • Cozzolino V, Di Meo V, Piccolo A (2013) Impact of arbuscular mycorrhizal fungi applications on maize production and soil phosphorus availability. J Geochem Explor 129:40–44

    CAS  Article  Google Scholar 

  • Cui L, Feng X, Lin CJ, Wang X, Meng B, Wang X, Wang H (2014) Accumulation and translocation of 198Hg in four crop species. Environ Toxicol Chem 33:334–340

    CAS  Article  Google Scholar 

  • Ekamawanti HA, Setiadi Y, Sopandie D, Santosa DA (2014) Mercury stress resistances in Nauclea orientalis seedlings inoculated with arbuscular mycorrhizal fungi. Agriculture, Forestry and Fisheries 3:113–120

    Article  Google Scholar 

  • Ferreira PAA, Ceretta CA, Soriani HH, Tiecher TL, Soares CRFS, Rossato LV et al (2015) Rhizophagus clarus and phosphate alter the physiological responses of Crotalaria juncea cultivated in soil with a high Cu level. Appl Soil Ecol 91:37–47

    Article  Google Scholar 

  • Fodor F (2002) Physiological responses of vascular plants to heavy metals. In: Physiology and biochemistry of metal toxicity and tolerance in plants. Springer, Netherlands, pp 149–177

    Chapter  Google Scholar 

  • Garau G, Castaldi P, Santona L, Deiana P, Melis P (2007) Influence of red mud, zeolite and lime on heavy metal immobilization, culturable heterotrophic microbial populations and enzyme activities in a contaminated soil. Geoderma 142:47–57

    CAS  Article  Google Scholar 

  • Gaur A, Adholeya A (2004) Prospects of arbuscular mycorrhizal fungi in phytoremediation of heavy metal contaminated soils. Current Sci India 86:528–534

    CAS  Google Scholar 

  • Gil-Cardeza ML, Ferri A, Cornejo P, Gomez E (2014) Distribution of chromium species in a Cr-polluted soil: presence of Cr (III) in glomalin related protein fraction. Sci Total Environ 493:828–833

    CAS  Article  Google Scholar 

  • Giovannetti M, Mosse B (1980) An evaluation of techniques to measure VA infection in roots. New Phytol 84:167–174

    Article  Google Scholar 

  • Gnamuš A, Byrne AR, Horvat M (2000) Mercury in the soil–plant–deer–predator food chain of a temperate forest in Slovenia. Environ Sci Technol 34:3337–3345

    Article  Google Scholar 

  • Godbold DL, Huettermann A (1988) Inhibition of photosynthesis and transpiration in relation to mercury-induced root damage in spruce seedlings [methyl-mercury]. Physiol Plant

  • Göhre V, Paszkowski U (2006) Contribution of the arbuscular mycorrhizal symbiosis to heavy metal phytoremediation. Planta 223:1115–1122

    Article  Google Scholar 

  • Gonzalez-Chavez C, D'haen J, Vangronsveld J, Dodd JC (2002) Copper sorption and accumulation by the extraradical mycelium of different Glomus spp. (arbuscular mycorrhizal fungi) isolated from the same polluted soil. Plant Soil 240:287–297

    CAS  Article  Google Scholar 

  • Gonzalez-Chavez MC, Carrillo-Gonzalez R, Wright SF, Nichols KA (2004) The role of glomalin, a protein produced by arbuscular mycorrhizal fungi, in sequestering potentially toxic elements. Environ Pollut 130:317–323

    CAS  Article  Google Scholar 

  • Greger M, Wang Y, Neuschütz C (2005) Absence of Hg transpiration by shoot after Hg uptake by roots of six terrestrial plant species. Environ Pollut 134:201–208

    CAS  Article  Google Scholar 

  • Halim M, Conte P, Piccolo A (2003) Potential availability of heavy metals to phytoextraction from contaminated soils induced by exogenous humic substances. Chemosphere 52:265–275

    CAS  Article  Google Scholar 

  • Haneef I, Faizan S, Perveen R, Kausar S (2013) Role of arbuscular mycorrhizal fungi on growth and photosynthetic pigments in Coriandrum sativum L. grown under cadmium stress. World J Agric Sci 9(3):245–250

    Google Scholar 

  • Hartley-Whitaker J, Ainsworth G, Vooijs R, Ten Bookum W, Schat H, Meharg AA (2001) Phytochelatins are involved in differential arsenate tolerance in Holcus lanatus. Plant Physiol 126:299–306

    CAS  Article  Google Scholar 

  • Israr M, Sahi S, Datta R, Sarkar D (2006) Bioaccumulation and physiological effects of mercury in Sesbania drummondii. Chemosphere 65:591–598

    CAS  Article  Google Scholar 

  • Joner EJ, Briones R, Leyval C (2000) Metal-binding capacity of arbuscular mycorrhizal mycelium. Plant Soil 226:227–234

    CAS  Article  Google Scholar 

  • Kaldorf M, Kuhn AJ, Schröder WH, Hildebrandt U, Bothe H (1999) Selective element deposits in maize colonized by a heavy metal tolerance conferring arbuscular mycorrhizal fungus. J Plant Physiol 154:718–728

    CAS  Article  Google Scholar 

  • Khan AG, Kuek C, Chaudhry TM, Khoo CS, Hayes WJ (2000) Role of plants, mycorrhizae and phytochelators in heavy metal contaminated land remediation. Chemosphere 41:197–207

    CAS  Article  Google Scholar 

  • Krupp EM, Mestrot A, Wielgus J, Meharg AA, Feldmann J (2009) The molecular form of mercury in biota: identification of novel mercury peptide complexes in plants. Chem Commun 28:4257–4259

    Article  Google Scholar 

  • Lenti K, Fodor F, Böddi B (2002) Mercury inhibits the activity of the NADPH: protochlorophyllide oxidoreductase (POR). Photosynthetica 40:145–151

    CAS  Article  Google Scholar 

  • Lichtenthaler HK (1987) Chlorophyll fluorescence signatures of leaves during the autumnal chlorophyll breakdown. J Plant Physiol 131:101–110

    CAS  Article  Google Scholar 

  • Ma C (1998) Mercury harm on cell membrane of rape leaf and cell endogenous protection effect. Yingyong Shengtai Xuebao 9:23–326

    Google Scholar 

  • Maggio A, Joly RJ (1995) Effects of mercuric chloride on the hydraulic conductivity of tomato root systems (evidence for a channel-mediated water pathway). Plant Physiol 109:331–335

    CAS  Google Scholar 

  • Mauclair C, Layshock J, Carpi A (2008) Quantifying the effect of humic matter on the emission of mercury from artificial soil surfaces. Appl Geochem 23:594–601

    CAS  Article  Google Scholar 

  • McBride MB (2003) Toxic metals in sewage sludge-amended soils: has promotion of beneficial use discounted the risks? Adv Environ Res 8:5–19

    CAS  Article  Google Scholar 

  • Meng DK, Chen J, Yang ZM (2011) Enhancement of tolerance of Indian mustard (Brassica juncea) to mercury by carbon monoxide. J Hazard Mater 186:1823–1829

    CAS  Article  Google Scholar 

  • Millán R, Gamarra R, Schmid T, Sierra MJ, Quejido AJ, Sánchez DM et al (2006) Mercury content in vegetation and soils of the Almadén mining area (Spain). Sci Total Environ 368:79–87

    Article  Google Scholar 

  • Miretzky P, Bisinoti MC, Jardim WF (2005) Sorption of mercury (II) in Amazon soils from column studies. Chemosphere 60:1583–1589

    CAS  Article  Google Scholar 

  • Moreno FN, Anderson CWN, Stewart RB, Robinson BH, Ghomshei M, Meech JA (2005) Induced plant uptake and transport of mercury in the presence of sulphur-containing ligands and humic acid. New Phytol 166:445–454

    CAS  Article  Google Scholar 

  • Moreno-Jiménez E, Peñalosa JM, Esteban E, Carpena-Ruiz RO (2007) Mercury accumulation and resistance to mercury stress in Rumex induratus and Marrubium vulgare grown in perlite. J Plant Nutr Soil Sci 170:485–494

    Article  Google Scholar 

  • Murphy J, Riley JP (1962) A modified single solution method for the determination of phosphate in natural waters. Anal Chim Acta 27:31–36

    CAS  Article  Google Scholar 

  • Nebbioso A, Piccolo A (2012) Advances in humeomic: enhanced structural identification of humic molecules after size fractionation of a soil humic acid. Anal Chim Acta 720:77–90

    CAS  Article  Google Scholar 

  • Nebbioso A, Mazzei P, Savy D (2014) Reduced complexity of multidimensional and diffusion NMR spectra of soil humic fractions as simplified by Humeomics. Chemical and Biological Technologies in Agriculture 1:24

    Article  Google Scholar 

  • Newsham KK, Fitter AH, Watkinson AR (1995) Multi-functionality and biodiversity in arbuscular mycorrhizas. Trends Ecol Evol 10:407–441

    CAS  Article  Google Scholar 

  • Niu Z, Zhang X, Wang S, Zeng M, Wang Z, Zhang Y, Ci Z (2014) Field controlled experiments on the physiological responses of maize (Zea mays L.) leaves to low-level air and soil mercury exposures. Environ Sci Pollut Res 21:1541–1547

    CAS  Article  Google Scholar 

  • Padmavathiamma PK, Li LY (2010) Phytoavailability and fractionation of lead and manganese in a contaminated soil after application of three amendments. Bioresour Technol 101:5667–5676

    CAS  Article  Google Scholar 

  • Pandey N, Sharma CP (2002) Effect of heavy metals Co2+, Ni2+ and Cd2+ on growth and metabolism of cabbage. Plant Sci 163:753–758

    CAS  Article  Google Scholar 

  • Parniske M (2008) Arbuscular mycorrhiza: the mother of plant root endosymbioses. Nat Rev Microbiol 6:763–775

    CAS  Article  Google Scholar 

  • Patra M, Sharma A (2000) Mercury toxicity in plants. Bot Rev 66:379–422

    Article  Google Scholar 

  • Patra M, Bhowmik N, Bandopadhyay B, Sharma A (2004) Comparison of mercury systems and the development of genetic tolerance. Environ Exp Bot Rev 52:199–223

  • Pedron F, Petruzzelli G, Barbafieri M, Tassi E (2013) Remediation of a mercury-contaminated industrial soil using bioavailable contaminant stripping. Pedosphere 23:104–110

    Article  Google Scholar 

  • Piccolo A (2002) The supramolecular structure of humic substances: a novel understanding of humus chemistry and implications in soil science. Adv Agron 75:57–134

    CAS  Article  Google Scholar 

  • Quiñones MA, Ruiz-Díez B, Fajardo S, López-Berdonces MA, Higueras PL, Fernández-Pascual M (2013) Lupinus albus plants acquire mercury tolerance when inoculated with an Hg-resistant Bradyrhizobium strain. Plant Physiol Biochem 73:168–175

    Article  Google Scholar 

  • Ramos AC, Dobbss LB, Santos LA, Fernandes MS, Olivares FL, Aguiar NO, Canellas LP (2015) Humic matter elicits proton and calcium fluxes and signaling dependent on Ca2+-dependent protein kinase (CDPK) at early stages of lateral plant root development. Chemical and Biological Technologies in Agriculture 2:3

    Article  Google Scholar 

  • Ravichandran M (2004) Interactions between mercury and dissolved organic matter—a review. Chemosphere 55:319–331

    CAS  Article  Google Scholar 

  • Rivera-Becerril F, Calantzis C, Turnau K, Caussanel JP, Belimov AA, Gianinazzi S, Strasser RJ, Gianinazzi-Pearson V (2002) Cadmium accumulation and buffering of cadmium-induced stress by arbuscular mycorrhiza in three Pisum sativum L. genotypes. J Exp Bot 53:1177–1185

    CAS  Article  Google Scholar 

  • Sanità di Toppi L, Gabbrielli R (1999) Response to cadmium in higher plants. Environ Exp Bot 41:105–130

    Article  Google Scholar 

  • Schat H, Mercè L, Bernhard R (2000) Metal-specific patterns of tolerance, uptake and transport of heavy metals in hyperaccumulating and nonhyperaccumulating metallophytes. In: Terry N, Banuelos G (eds) Phytoremediation of contaminated soil and water. CRC Press, Boca Raton, pp 171–188

    Google Scholar 

  • Schuster E (1991) The behavior of mercury in the soil with special emphasis on complexation and adsorption processes—a review of the literature. Water Air Soil Pollut 56:667–680

    CAS  Article  Google Scholar 

  • Šeršeň F, Král'ová K, Bumbalova A (1998) Action of mercury on the photosynthetic apparatus of spinach chloroplasts. Photosynthetica 35:551–559

    Article  Google Scholar 

  • Shiyab S, Chen J, Han FX, Monts DL, Matta FB, Gu MY (2009) Phytotoxicity of mercury in Indian mustard (Brassica juncea L.). Ecotoxicol Environ Saf 72:619–625

    CAS  Article  Google Scholar 

  • Sierra MJ, Millán R, Esteban E (2009) Mercury uptake and distribution in Lavandula stoechas plants grown in soil from Almadén mining district (Spain). Food Chem Toxicol 47:2761–2767

    CAS  Article  Google Scholar 

  • Smith SE, Read DJ (2008). Mycorrhizal Symbiosis. (3th ed). Academic Press

  • Tahir MM, Khurshid M, Khan MZ, Abbasi MK, Kazmi MH (2011) Lignite-derived humic acid effect on growth of wheat plants in different soils. Pedosphere 21:124–131

    CAS  Article  Google Scholar 

  • Tipping E, Lofts S, Hooper H, Frey B, Spurgeon D, Svendsen C (2010) Critical limits for Hg (II) in soils, derived from chronic toxicity data. Environ Pollut 158:2465–2471

    CAS  Article  Google Scholar 

  • Van Steveninck RFM, Babare A, Fernando DR, Van Steveninck ME (1994) The binding of zinc, but not cadmium, by phytic acid in roots of crop plants. Plant Soil 167:157–164

    Article  Google Scholar 

  • Wang Y, Greger M (2004) Clonal differences in mercury tolerance, accumulation, and distribution in willow. J Environ Qual 33:1779–1785

    CAS  Article  Google Scholar 

  • Wang DY, Qing CL, Guo TY, Guo YJ (1997) Effects of humic acid on transport and transformation of mercury in soil-plant systems. Water Air Soil Pollut 95:35–43

    CAS  Google Scholar 

  • Warwick P, Inam E, Evans N (2005) Arsenic’s interaction with humic acid. Environ Chem 2:119–124

    CAS  Article  Google Scholar 

  • Wu SL, Chen BD, Sun YQ, Ren BH, Zhang X, Wang YS (2014) Chromium resistance of dandelion (Taraxacum platypecidum Diels.) and bermudagrass (Cynodon dactylon [Linn.] Pers.) is enhanced by arbuscular mycorrhiza in Cr (VI)‐contaminated soils. Environ Toxicol Chem 33:2105–2113

    CAS  Article  Google Scholar 

  • Yu Y, Zhang S, Huang H (2010) Behavior of mercury in a soil–plant system as affected by inoculation with the arbuscular mycorrhizal fungus Glomus mosseae. Mycorrhiza 20:407–414

    CAS  Article  Google Scholar 

  • Zhang J, Dai J, Wang R, Li F, Wang W (2009) Adsorption and desorption of divalent mercury (Hg 2+) on humic acids and fulvic acids extracted from typical soils in China. Colloids Surf A 335:194–201

    CAS  Article  Google Scholar 

Download references

Author information

Affiliations

Authors

Corresponding authors

Correspondence to V. Cozzolino or A. De Martino.

Additional information

Responsible editor: Elena Maestri

Rights and permissions

Reprints and Permissions

About this article

Verify currency and authenticity via CrossMark

Cite this article

Cozzolino, V., De Martino, A., Nebbioso, A. et al. Plant tolerance to mercury in a contaminated soil is enhanced by the combined effects of humic matter addition and inoculation with arbuscular mycorrhizal fungi. Environ Sci Pollut Res 23, 11312–11322 (2016). https://doi.org/10.1007/s11356-016-6337-6

Download citation

  • Received:

  • Accepted:

  • Published:

  • Issue Date:

  • DOI: https://doi.org/10.1007/s11356-016-6337-6

Keywords

  • Metal toxicity
  • Humic acid
  • Plant uptake
  • Lettuce
  • Phytostabilization
  • Soil contamination
  • Natural organic matter
  • Mercury